单激式变压器开关电源
变压器开关电源的最大优点是,变压器可以同时输出多组不同数值的电压,改变输出电压和输出电流很容易,只需改变变压器的匝数比和漆包线截面积的大小即可;另外,变压器初、次级互相隔离,不需共用同一个地。因此,变压器开关电源也有人把它称为离线式开关电源。这里的离线并不是不需要输入电源,而是输入电源与输出电源之间没有导线连接,完全是通过磁场偶合传输能量。
变压器开关电源采用变压器把输入输出进行电器隔离的最大好处是,提高设备的绝缘强度,降低安全风险,同时还可以减轻EMI干扰,并且还容易进行功率匹配。
变压器开关电源有单激式变压器开关电源和双激式变压器开关电源之分,单激式变压器开关电源普遍应用于小功率电子设备之中,因此,单激式变压器开关电源应用非常广泛。而双激式变压器开关电源一般用于功率较大的电子设备之中,并且电路一般也要复杂一些。
单激式变压器开关电源的缺点是变压器的体积比双激式变压器开关电源的激式变压器的体积大,因为单激式开关电源的变压器的磁芯只工作在磁回路曲线的单端,磁回路曲线变化的面积很小。
单激式变压器开关电源的工作原理

图1-16-a是单激式变压器开关电源的最简单工作原理图。图1-16-a中,Ui是开关电源的输入电压,T是开关变压器,K是控制开关,R是负载电阻。
当控制开关K接通的时候,直流输入电压Ui首先对变压器T的初级线圈N1绕组供电,电流在变压器初级线圈N1绕组的两端会产生自感电动势e1;同时,通过互感M的作用,在变压器次级线圈N2绕组的两端也会产生感应电动势e2;当控制开关K由接通状态突然转为关断状态的时候,电流在变压器初级线圈N1绕组中存储的能量(磁能)也会产生反电动势e1;同时,通过互感M的作用,在变压器次级线圈N2绕组中也会产生感应电动势e2。
所谓单激式变压器开关电源,是指开关电源在一个工作周期之内,变压器的初级线圈只被直流电压激励一次。一般单激式变压器开关电源在一个工作周期之内,只有半个周期向负载提供功率(或电压)输出。当变压器的初级线圈正好被直流电压激励时,变压器的次级线圈也正好向负载提供功率输出,这种变压器开关电源称为正激式开关电源;当变压器的初级线圈正好被直流电压激励时,变压器的次级线圈没有向负载提供功率输出,而仅在变压器初级线圈的激励电压被关断后才向负载提供功率输出,这种变压器开关电源称为反激式开关电源。
[page]
图1-16-b是单激式变压器开关电源输出电压的波形,由于输出电压是由变压器的次级输出,因此,在输出电压uo中完全没有直流成份。输出电压正半波的面积与负半波的面积完全相等,这是单激式变压器开关电源输出电压波形的特点。在图1-16-b中,当只输出正半波电压时,为正激式开关电源;反之,当只输出负半波电压时,为反激式开关电源。
这里需要特别指出:图1-16-b中变压器输出电压波形极性的正负,是可以通过调整变压器线圈的饶线方向(相位)来改变的。严格地说,只有当控制开关的占空比等于0.5时,开关电源的输出电压才能称为正、负半周电压,但由于人们已习惯了正、负半周的叫法,所以,只要是有正、负电压输出的交流电源,我们还是习惯地把交流输出电压称为正、负半周。但为了与占空比不等于0.5时的电压波形相区别,我们有时特别把占空比不等于0.5时的交流电压波形称为正、负半波。因此,有些场合在不影响对正、负半波电压的理解时,或占空比不确定时,我们也习惯地把正、负半波称为正、负半周。
图1-16-a中,在Ton期间,控制开关K接通,输入电源Ui开始对变压器初级线圈N1绕组加电,电流从变压器初级线圈N1绕组的两端经过,通过电磁感应会在变压器的铁芯中产生磁场,并产生磁力线;同时,在初级线圈N1绕组的两端要产生自感电动势e1,在次级线圈N2绕组的两端也会产生感应电动势e2;感应电动势e2作用于负载R的两端,在负载中就有电流流过。因此,在初、次级电流的共同作用下,在变压器的铁芯中会产生一个由流过变压器初、次级线圈电流共同产生的合成磁场,这个磁场的大小可用磁力线通量(简称磁通量),即磁力线的数目 来表示。
如果用
1来表示变压器初级线圈电流产生的磁通量,用
2来表示变压器次级线圈电流产生的磁通量,由于变压器初、次级线圈电流产生的磁场方向总是相反,则在控制开关K接通期间,流过变压器初、次级线圈电流在变压器铁芯中产生的合成磁场的总磁通量
为:

其中,变压器初级线圈电流产生的磁通
1还可以分成两个部分,一部分用来抵消变压器次级线圈电流产生的磁通
2,记为
10,另一部分是由励磁电流产生的磁通,记为Δ
1。显然
10 =-
2,Δ
1 =
。即:在变压器铁芯中产生的磁通量
,只与流过变压器初级线圈中的励磁电流有关,而与流过变压器次级线圈中的电流无关;流过变压器次级线圈中的电流产生的磁通,完全被流过变压器初级线圈中的另一部分电流产生的磁通抵消。
根据电磁感应定律可以对变压器初级线圈N1绕组回路列出方程:

同样,可以对变压器次级线圈N2绕组回路列出方程:

根据(1-62)和(1-63)可以求得单激式变压器开关电源正激输出电压为:

(1-64)式是单激式变压器开关电源正激输出电压的表达式。式中,uo为单激式变压器开关电源的输出电压,
为单激式变压器开关电源输出电压uo的正激输出电压,小括弧右上角的“+”号表示小括弧中的内容为正激电压。
为单激式变压器开关电源正激输出电压的幅值,其值等于UP(图1-16-b中正半周的峰值);Ui为正激式开关变压器初级线圈N1绕组的输入电压;n为变压比,即:开关变压器次级线圈输出电压与初级线圈输入电压之比;当变压器的初、次级线圈耦合系数等于1时,n也可以看成是开关变压器次级线圈N2绕组与初级线圈N1绕组的匝数比N,即:n =N= N2/N1。
由此可知,在控制开关K接通期间,正激式开关变压器次级输出电压的幅值只与输入电压和变压器的次/初级变压比有关。
[page]
我们再来分析控制开关K关断期间的情况。
在控制开关K关断的Toff期间,变压器铁芯中的磁通 主要由变压器次级线圈回路中的电流i2来决定,即:

式中负号表示反电动势e2的极性与(1-63)式中的符号相反,即:K接通与关断前后,变压器次级线圈N2产生感应电动势的极性正好相反。对(1-65)式阶微分方程求解得:

式中,C为待定常数,把初始条件代入上式,就很容易求出C。由于控制开关K由接通状态突然转为关断瞬间,变压器初级线圈回路中的电流突然为0,而变压器铁心中的磁通量 不能突变,因此,必须要求流过变压器次级线圈回路的电流也跟着突变,以抵消变压器初级线圈电流突变的影响,要么,在变压器初、次级线圈回路中将出现无限高的反电动势电压,并在次级线圈回路中产生无限大的电流,这是不可能的。
由此可知,在控制开关K关断后的瞬间,变压器次级线圈回路中的电流i2一定正好等于控制开关K关断前瞬间的电流i2(Toff-),与变压器初级线圈回路中的电流i1(Toff-)被折算到变压器次级线圈回路电流之和。
在控制开关K关断前的瞬间,流过变压器初级线圈回路中的电流i1(Toff-)可分成两个部分:一个部分为与变压器次级线圈回路电流i2大小有关的电流i10(Toff-);另一部分为励磁电流Δi1(Toff-) ,这个电流与变压器次级线圈回路的电流i2大小无关 。
在控制开关K关断前的瞬间,由于i10(Toff-)产生的磁通与i2(Toff-)产生的磁通可以互相抵消,因此,在控制开关K关断后的瞬间,在变压器次级线圈回路中对磁通起作用的,仅有初级线圈励磁电流Δi1(Toff-)被折算到变压器次级线圈回路电流Δi12(Toff-)。
根据上面分析以及励磁电流的计算公式(1-45),(1-66)式可以写为:

(1-67)式中,负号表示K关断后流过变压器次级线圈的电流方向正好相反。
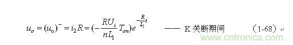
根据(2-67)式,图1-16-a单激式变压器开关电源反激输出电压为:

(1-68)式是单激式变压器开关电源反激输出电压的表达式。式中, 为单激式变压器开关电源输出电压uo的反激输出电压,小括弧右上角的“-”号表示小括弧中的内容为反激电压。
由(1-68)式可以看出,当t = 0时,即:K关断瞬间,单激式变压器开关电源输出电压uo有最大值:

(1-69)式中的
为反激式输出电压的峰值,其值等于UP-(图1-16-b中负半周的峰值)。在理论上,需要时间t等于无限大时,变压器次级线圈回路输出电压才为0,但这种情况一般不会发生,因为控制开关K的关断时间等不了那么长。
[page]
由(1-69)式可知,在控制开关K关断瞬间,当变压器次级线圈回路负载开路时、或变压器初、次级线圈的漏感很大时,变压器次级线圈回路会产生非常高的反电动势,如果此电动势直接加到开关器件两端,将很容易把开关器件击穿。为了防止开关器件击穿,一般都必须要在变压器初级线圈回路中加尖峰电压吸收电路(RCD吸收电路)。关于RCD吸收电路的工作原理与设计,请参考后面《开关电源RCD吸收电路参数的选择与计算》等内容。
从(1-64)和(1-68)式可以看出,开关变压器的工作原理与普通变压器的工作原理是不一样的。当开关电源工作于正激时,开关变压器的工作原理与普通变压器的工作原理基本相同;但当开关电源工作于反激式输出电压时,开关变压器的工作原理相当于一个储能电感。
如果我们把输出电压uo的正、负半波分别用半波平均值Upa、Upa-来表示,则有:

根据电磁感应定律可以对变压器次级线圈N2绕组回路列出方程:

根据能量守恒定理,单激式变压器开关电源输出电压正半波的面积与负半波的面积应该完全相等,即:

(1-76)式就是计算单激式变压器开关电源输出电压的表达式。式中,Upa和Upa-分别称为单激式变压器开关电源输出电压的正半波平均值和负半波平均值。
在上面(1-70)、(1-71)、(1-72)、(1-73)、(1-74)、(1-75)、(1-76)式中,我们分别把Upa和Upa-定义为正半波平均值和负半波平均值,简称半波平均值;而把Ua和Ua-分别称为输出电压的正向平均值和负向平均值,统称单向平均值。从图1-16-b可以看出,Upa正好等于Up(或等于
),但Upa-并不等于Up- ,Upa-小于Up- 。
从上面计算可以看出,引进半波平均值的概念后,利用半波平均值计算非正弦波电压,可使电路分析与计算变得非常简单。半波平均值的概念很重要,后面章节会经常用到,如计算开关电源输出电压及占空比以及变压器线圈匝数比,都涉及到半波平均值的概念。
[page]
我们知道,对复杂电路进行分析一般都有两种基本方法,一种是傅立叶变换分析方法,另一种是拉普拉斯变换分析方法。傅氏变换属于频域范畴,而拉氏变换属于时域范畴,两种分析方法得出的结果形式是不一样的。
傅氏变换是把一个非正弦波看成是由非常多个不同频率(变化率)的正弦波迭加组成,然后让不同频率的正弦波,一个一个地通过网络,并对其输出结果一个一个地进行分析;而拉氏变换则是让一个单位方波(幅度趋于无限高,宽度趋于0,幅度与宽度的乘积等于1)通过网络,然后对其输出结果进行分析。
例如,用一个正弦波作用于一个电感,流过电感的电流也是正弦波,电感在电路中的作用相当于一个阻抗器;如果用一个方波作用于一个电感,则流过电感的电流是个锯齿波,这里就不能简单地把电感看成是一个阻抗器,它要比一个阻抗器复杂得多,它既有阻抗的功能(阻抗随着时间变化),也有储能的功能。这两种分析方法得出的结果不可能完全一样,但这两种分析结果都很容易令人理解的。
更简单地说,采用时域的分析方法,就等于用示波器来观看电压波形,而采用频域的分析方法,就等于用频谱仪来观看非正弦波的频谱。显然,用示波器来观看电压波形要比用频谱仪来观看非正弦波的频谱直观很多。
引进半波平均值的概念从理论上来说,就是基于拉氏变换的时域分析方法。在开关电源电路中,采用时域分析方法要比采用频域分析方法方便很多,并且也直观很多。因此,正确理解它们的数学意义和物理意义,对于我们分析开关电源的工作原理非常重要。半波平均值的定义还可以理解为数学中的几何平均值,即:先对某函数曲线f(t)在t0~t1的区间进行积分,然后把积分结果除以τ,τ为脉冲宽度(τ = t1-t0)。显然,半波平均值的定义,就是把一个不规则的脉冲波形等效成一个矩形波,等效矩形波的幅度就是半波平均值。
在开关电源中,正激电压和反激电压是同时存在的,但大多数单激式开关电源中一般只能有一种脉冲电压用于功率输出。这是因为单激式开关电源一般都要求输出电压可调,即:通过改变控制开关的占空比来调整开关电源输出电压的大小。如:在正激式开关电源中,只有(1-76)式等号左边的半波平均值Upa电压向负载提供功率输出,通过改变控制开关的占空比D,就可以改变其输出脉冲电压的平均值Ua的大??;在反激式开关电源中,只有(1-76)式等号右边的半波平均值Upa-电压向负载提供功率输出,通过改变控制开关的占空比D,就可以改变其输出电压的负半波平均值Upa-的大小。
在(1-76)式中,如果把等号左边的Upa看成是正激电压,则等号右边的Upa-就可以看成是反激电压,反之则反。在正激式开关电源中,由于只有正激电压Upa向负载提供功率输出,所以反激电压Upa-就相当于一个附属产品需要另外进行回收;在反激式开关电源中,由于只有反激电压Upa-向负载提供功率输出,所以正激电压Upa就相当于用来对能量进行存储,以便于给反激电压Upa-提供能量输出。
如果(1-76)式中正激电压没有电流输出,就不能把正激电压看成是正激式输出电压,我们应该把它看成是反激式输出电压的一个过程,就是为反激式输出电压存储能量。这样定义虽然有点勉强,但主要目的还是为了让我们增强对开关电源工作原理的理解。
这是因为,(1-76)式中无论是正激电压Upa或是反激电压Upa-,都是由流过变压器初级线圈的励磁电流产生的磁通,通过互感的作用所产生的。但励磁电流产生的磁通并不直接向正激电压Upa提供能量输出,因为(1-72)、(1-73)、(1-74)、(1-75)等式中的磁通
并不是由正激电流产生的,而是由流过变压器初级线圈的励磁电流产生的。励磁电流产生的磁通
虽然通过电磁感应会产生正激电压,但它不产生正激电流输出,即:励磁电流对正激式输出电压不提供功率输出。不管正激式输出功率或电流多大,变压器初级线圈中的励磁电流或变压器铁芯中磁通
的变化只与输入电压和变压器的初级电感量有关,而与正激式输出功率或电流大小无关。
这是因为我们把变压器铁芯中的磁通
分成了两个部分来进行分析的缘故,即:在变压器铁芯中产生的磁通,可分成由流过初级线圈电流产生的磁通和由流过次级线圈电流产生的磁通。正激输出电流产生的磁通与流过变压器初级线圈电流产生的磁通,方向相反,但不能完全抵消,而互相抵消剩下来的磁通正好就是励磁电流产生的磁通。因此,励磁电流产生的磁通是不会跟随正激输出电流的大小而改变的,只有反激输出电流产生的磁通才会改变励磁电流在变压器铁芯中储存的磁通,这种现象称为退磁。
[page]
正激式输出脉冲电压的幅度只与变压器的输入电压和变压器的初、次级线圈的匝数比有关,而与占空比D的大小无关;反激式输出电压的幅度,不但与输入电压Ui和变压器初、次级线圈的匝数比N有关,还与占空比D的大小,以及变压器初级线圈励磁电流?i1变化率的大小有关,因此,两种开关电源输出电压的机理是不一样的。
在变压器开关电源中,正激式输出电压的计算相对比较简单,而反激式输出电压的计算相对比较复杂。因此,如果没有十分必要,最好采用半波平均值的概念来计算,通过用(1-76)式计算正激电压的半波平均值,来推算反激式输出电压的半波平均值。因此,利用半波平均值的概念,再根据(1-76)式,就很方便计算出开关电源的正、反激式输出电压。
根据(1-64)式与半波平均值的定义,可以求得正激式开关电源输出电压为:

根据(1-71)式和(1-76)式,可以求得反激式开关电源输出电压为:

由(1-77)、(1-78)和(1-79)、(1-80)式看出:
正激电压的幅值Up或半波平均值Upa是不会跟随控制开关的接通时间Ton或占空比D的改变而改变的;而反激电压的幅值Up-或半波平均值Upa-则要跟随控制开关的接通时间Ton或占空比D的改变而改变,占空比D越大,反激电压的幅值Up-或半波平均值Upa-就越大。正激式开关电源与反激式开关电源的区别不只是输出电压极性的不同,更重要的是变压器的参数要求不一样;在正激式开关电源中,反激输出电压的能量与正激输出电压的能量相比,一般都比较小,有时甚至可以忽略。因为,一般正激式变压器初级线圈的电感量比反激式变压器初级线圈的电感量大很多。
当开关电源工作于正激式输出状态的时候,改变控制开关K的占空比D,只能改变输出脉冲电压的平均值Ua,而输出电压的幅值Up不变(对于图2-16);当开关电源工作于反激式输出状态的时候,改变控制开关K的占空比D,不但可以改变输出电压uo的幅值Up-(对于图2-16),而且也可以改变输出电压的平均值Ua- 。
特别指出:上面(1-77)、(1-78)和(1-79)、(1-80)是根据图1-16中变压器线圈设定的极性(同名端)求得的,如果变压器线圈的极性与图1-16中变压器线圈的极性相反,则(1-77)、(1-78)和(1-79)、(1-80)中的Upa、Upa-和Ua、Ua-也要互相调换。
另外,在决定反激式开关电源输出电压的(1-79)式中,并没有使用反激输出电压最大值或峰值Up-的概念,而(1-79)式使用的Up正好是正击式输出电压的峰值,这是因为反激输出电压的最大值或峰值Up-计算比较复杂((1-69)式),并且峰值Up-的幅度不稳定,它会随着输出负载大小的变化而变化;而正击式输出电压的峰值Up则不会随着输出负载大小的变化而变化。但在实际应用中,当需要考虑电子器件的最高工作电压时,反激输出电压的最大值一定要考虑到。
相关阅读:
专题:陶显芳老师30年经验大分享,开关电源设计那些事儿
http://www.5r3h.cn/special/181
【连载7】陶显芳老师谈开关电源原理与设计
http://www.5r3h.cn/power-art/80021940
【连载8】全桥式变压器开关电源工作原理
http://www.5r3h.cn/power-art/80022082




