【导读】在非隔离电源方案中,基础拓扑的Buck、Boost、Buck-Boost电路中,前两种已经在前面章节进行了详细描述。很多工程师对Buck和Boost电路都特别熟悉,只是对Buck-Boost不熟悉。
在非隔离电源方案中,基础拓扑的Buck、Boost、Buck-Boost电路中,前两种已经在前面章节进行了详细描述。很多工程师对Buck和Boost电路都特别熟悉,只是对Buck-Boost不熟悉。
Buck表示降压,Boost表示升压,那么顾名思义,Buck-Boost表示升降压。作为基本拓扑结构的Buck-Boost电路虽然可以升降压,但是输出跟输入比确实一个极性相反的电压,即:产生一个负压。
Buck-Boost电路是一种常用的DC/DC变换电路,其输出电压既可低于也可高于输入电压,但输出电压的极性与输入电压相反。下面我们详细讨论理想条件下,Buck-Boost 的原理、元器件选择、设计实例以及实际应用中的注意事项。
电路原理
Buck-Boost电路简图如图1。
当功率管Q1闭合时,电流的流向见图2左侧图。
输入端,电感L1直接接到电源两端,此时电感电流逐渐上升。导通瞬态时di/dt很大,故此过程中主要由输入电容CIN供电。输出端,COUT依靠自身的放电为RL提供能量。当功率管Q1关断时,电流的流向见图2右侧图。输入端VIN给输入电容充电。输出端,由于电感的电流不能突变,电感通过续流管D1给输出电容COUT及负载RL供电。
系统稳定工作后,电感伏秒守恒。Q1 导通时,电感电压等于输入端电压VIN;Q1关断时,电感电压等于输出端电压VOUT。设T为周期,TON为导通时间,TOFF为关断时间,D为占空比(D=TON/T),下同。由电感伏秒守恒有:
由此可得:
占空比小于0.5时,输出降压;占空比大于0.5时,输出升压。以上式子只考虑电压的绝对值,未考虑输出电压的方向。
元器件计算及各点波形(电感电流连续模式)
以下均在电感电流连续模式下讨论,即CCM。
首先我们先看一下各点理想情况下的波形:
电感 L1
通常ΔI可以取0.3倍的IIN+IOUT,在导通时,电感的电压等于输入电压,电感感量可由下式计算:
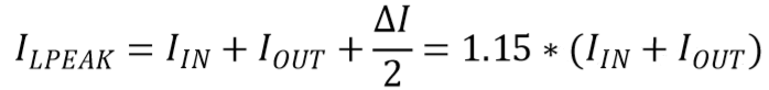
若按上述感量选择电感,则流过电感的峰值电流:
实际应用应留有一定的余量,电感的电流能力通常取1.5*(IIN+IOUT)以上
续流二极管D1
当Q1导通时,续流二极管的阴极SW点电压为VIN,续流二极管的阳极电压为-VOUT,故D1承受的电压为:
当Q1关断时,续流二极管续流,电流的峰值为ILPEAK,平均电流为IOUT。
由于二极管在高温下漏电容易造成芯片的损坏,故通常要留有一定的余量,其中电压建议1.5倍的余量。
功率管Q1
当Q1关断时,SW点电压被钳位到-VOUT,故功率MOS承受的最大电压:
当Q1导通时,Q1的电流峰值为ILPEAK,平均电流为IIN。
输入电容
输入电容纹波电流有效值可用下式计算:
如果设CIN电容在MOS导通时,电压跌落不超过ΔV1,则可用下式计算最小容量:
设计实例
要求
输入电压10~14V,输出电压-5V,输出电流1A,选取合适的芯片,并计算主要元器件参数。
解决步骤
1.计算输入电流:输出功率约5W,输入最大电流,假设80%的效率,则输入电流为 5W/0.8/10V=0.625A;:
2.计算输入峰值电流:1.15*(1A+0.625A)=1.87A;
3.计算功率管、续流肖特基管峰值电压:|-5V|+|14V|=29V;
4.选择合适的芯片,可选耐压为40V左右,电流能力大于2A以上的BUCK降压芯片,此处选择XL4201;
5.计算10V时的占空比:D=5V/(5V+10V)=0.33;
6.计算电感量:L=0.33*10V/(0.3*150KHz*(1A+0.625A))=45uH;
7.计算最小电流能力IL=1.5*(1A+0.625A)=2.44A,选用47uh/3 电感;
8.肖特基二极管耐压要大于29V,平均电流1A,峰值电流约1.87A,可选SS36;
9.输入电容纹波电流有效值:ICINRMS=0.625A*sqrt((1-0.33)/0.33)=0.89A,“sqrt”代表根号;
10.假设输入电压最大跌落0.05V,则CIN=(1-0.33)*0.625A/(0.05V*150KHz)=56uF,选用47uF电解电容;
11.输出电容纹波电流有效值:ICOUTRMS=1A*sqrt(0.33/(1-0.33))=0.70A;
12.假设输出放电电压最大跌落0.05V,则COUT=0.33*1A/(0.05V*150KHz)=44uF,选用100uF电解电容。
实际电路可参考下图:
注意事项
1. 芯片与肖特基二极管D1的耐压均要大于输入电压与输出电压绝对值之和;
2. CINB与C1为芯片提供纯净电源,CINB可以选用10uF以上电容即可;
3. 芯片的GND引脚与输入、输出功率地不是同一属性,注意区分;
4. BUCK-BOOST电路的效率要低于单纯的BUCK或BOOST电路,实际使用时要注意多留余量。
(来源:硬件十万个为什么微信公众号)
免责声明:本文为转载文章,转载此文目的在于传递更多信息,版权归原作者所有。本文所用视频、图片、文字如涉及作品版权问题,请联系小编进行处理。
推荐阅读:



