1-4.并联式开关电源
并联式开关电源的工作原理比较简单,工作效率很高,因此应用很广泛,特别是在一些小电子产品中,并联式开关电源作为DC/DC升压电源应用最广。例如,很多使用干电池的手提式电器,由于干电池的电压一般只有1.5V或3V,为了提高工作电压,都是使用并联式开关电源把工作电压提高一倍。并联式开关电源的缺点是输入与输出共用一个地,因此,容易产生EMI干扰。
1-4-1.并联式开关电源的工作原理

图1-11-a是并联式开关电源的最简单工作原理图,图1-11-b是并联式开关电源输出电压的波形。图1-11-a中Ui是开关电源的工作电压,L是储能电感,K是控制开关,R是负载。图1-11-b中uo是开关电源输出电压,Up是开关电源输出电压的峰值,Upa是开关电源输出电压的半波平均值。关于半波平均值的概念,后面章节还将陆续详细解释。
当控制开关K接通时,输入电源Ui开始对储能电感L加电,流过储能电感L的电流按线性规律增加,电流被转换化成磁能,并存储在储能电感中;当控制开关K由接通转为关断的时候,储能电感会产生反电动势,反电动势产生电流的方向与原来电流的方向相同,因此,在负载上会产生很高的电压。
在Ton期间,控制开关K接通,储能电感L两端的电压eL正好与输入电压Ui相等,即:

式中iL为流过储能电感L电流的瞬时值,t为时间变量,i(0)为开关K接通前瞬间流过储能电感的电流,i(0)大小与D有关,当占空比D小于或等于0.5时, ;而当D大于0.5时, ,(参考图13、14、15 ),为了简单我们先只考虑D≤0.5时的情况,即,i(0)=Ui/R 的情况。
当t = Ton时,流过储能电感L的电流达到最大值iLm :

式中Ton为控制开关K接通的时间。当图1-11-a中的控制开关K由接通状态突然转为关断时,储能电感L会把其存储的能量(磁能)通过反电动势进行释放,储能电感L产生的反电动势为:
![]()
式中的负号表示反电动势eL的极性与(1-35)式中的符号相反,即: K关断期间电感L产生电动势的方向与K接通期间电感L产生电动势的方向正好相反。
对(1-38)式阶微分方程进行求解得:

式中C为待定常数,把初始条件(令t = 0)代入上式,很容易就可求出C。由于控制开关K由接通状态突然转为关断时,流过储能电感L中的电流iL不能突变,即i(Ton+) = i(Toff—),并且正好等于流过储能电感L的最大电流ILm ,因此(1-39)式可以写为:

从(1-42)式可以看出,当并联式开关电源的负载R很大或开路时,输出脉冲电压的幅度将非常高,随后,随着时间的增长,幅度按指数下降,最后下降到与输入电压Ui基本相同,这种情况有时是需要避免的,因为高压脉冲很容易通过静电感应,使电路中的其它器件过压击穿,或产生EMI干扰。并联式开关电源输出电压经滤波之后,可得到一个高于输入电压的输出电压,因此并联式开关电源经常作为倍压或升压电源使用。
[page]
1-4-2.并联式开关电源输出电压滤波电路
上面已经知道,当并联式开关电源不带输出电压滤波电路时,输出脉冲电压的幅度将非常高。但在实际应用中,大多数并联式开关电源输出电压还是经过整流滤波后的直流电压,由于整流滤波电路对尖峰脉冲有平滑滤波、整形的作用,因此,在带有平滑滤波电路的并联式开关电源中,其输出电压基本不含尖峰脉冲波形。

图1-12-a是带有整流滤波功能的并联式开关电源工作原理图。图中,Ui是开关电源的工作电压、L是储能电感、eL为储能电感L两端产生的反电动势、K是控制开关、D为整流二极管、C为储能滤波电容、R是负载、Uo为滤波输出电压、Io为流过负载的电流。
图1-12-b表示并联式开关电源输出电压中各种成份之间的关系。其中,Ui为输入电压、 uo为并联开关K两端的输出电压、Up为输出电压uo的峰值,Upa是输出电压uo的半波平均值,Ua是输出电压uo的平均值,Uo为直流输出电压。
带整流滤波电路的并联式开关电源,由于滤波电容两端的电压不能突变,当开关K两端输出的脉冲电压uo通过整流二极管整流之后,就会被滤波电容进行限幅或嵌位,使输出脉冲电压uo的幅度被嵌制在滤波电容器两端的电压Uo之上,如果忽略整流二极管的整流压降,则输出脉冲电压uo的幅度Up和滤波电容器两端的电压Uo基本相等,此时,被限了幅的输出脉冲电压uo的幅度Up,就是被称为脉冲电压uo的半波平均值Upa。图2-12-b中,带颜色的矩形脉冲,其幅度就等于半波平均值Upa。
图1-13、图1-14、图1-15分别是并联式开关电源控制开关K工作于占空比D为0.5、< 0.5、> 0.5三种情况时,图1-12-a电路中各点的电压、电流波形。实线表示带整流滤波电路时,控制开关K两端的输出电压波形,虚线表示无整流滤波电路时,控制开关K两端的输出电压波形。图中Ui是开关电源的输入电压,uo是控制开关K两端的输出电压,Up是开关K两端输出的峰值电压,Upa是控制开关K两端输出电压uo的半波平均值,uc是滤波电容两端的输出电压,Uo是开关电源的直流输出电压,Ua是开关K两端输出电压的平均值,iL是流过储能电感L的电流,iLm是流过储能电感L电流的最大值,Io是流过负载R的电流(平均值)。

图2-13-a、图2-14-a、图2-15-a分别为开关电源工作于临界电流连续、电流不连续、电流连续状态时,图2-12-a电路中各点的电压、电流波形。图2-13-b、图2-14-b、图2-15-b分别为3种状态之下,滤波电容两端的纹波电压波形。图2-13-c、图2-14-c、图2-15-c分别为3种状态之下,流过储能电感的电流波形。不过,图中这些波形相对来说还是比较粗略和简单的,如需要对它们更严密的表达和分析,请参考后面图1-24和图1-25相关的内容。


在图1-12-a中,当控制开关K接通时,输入电源Ui开始对储能电感L加电,流过储能电感L的电流iL开始增加,同时电流在储能电感L中也要产生反电动势eL;当控制开关K由接通转为关断的时候,在储能电感L两端就会产生反电动势eL。eL反电动势的方向与开关K关断前的方向相反,但与电流的方向相同,因此,在控制开关K两端的输出电压uo等于输入电压Ui与反电动势eL之和。
[page]
因此,在Ton期间:

(1-44)式中iL为流过储能电感L的电流(瞬时值),t为时间变量;i(0)为的初始电流,即:控制开关K接通前的瞬间流过储能电感L中的电流。当开关电源工作于电流临界连续状态,或不连续电流状态时(即D≤0.5),i(0) = 0 ,由此可以求得流过储能电感L的最大电流为:

带滤波电路的并联式开关电源,由于滤波电容两端的电压不能突变,当开关K两端输出的脉冲电压uo通过整流二极管整流之后,就会被滤波电容进行限幅,使输出脉冲电压uo的幅度被嵌制在滤波电容器两端的电压uc之上,如果忽略整流二极管的整流压降,则输出脉冲电压uo的幅度Up和滤波电容器两端的电压uc在数值上基本相等(忽视纹波电压),并等于输出电压Uo。此时,被限了幅的输出脉冲电压uo的幅度Up,就称为脉冲电压uo的半波平均值Upa,即:Up = Upa 。图2-12-b中,脉冲电压uo中带颜色的部分就等于其半波平均值Upa 。关于半波平均值的概念,后面章节还会有更详细的说明。
因此,在控制开关K关断的Toff期间,储能电感L产生的电动势将与输入电压Ui串联迭加,通过整流二极管D继续向负载R提供能量,在此期间储能电感L两端的电压eL为:

式中i(Ton+) 为控制开关K从Ton转换到Toff的瞬间之前流过电感的电流,i(Ton+)也可以写为i(Toff-),即:控制开关K关断或接通瞬间,之前和之后流过电感L的电流相等。实际上(1-47)式中的i(Ton+) 就是(1-45)式中的iLm,因此,(1-47)式可以改写为:

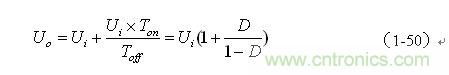
当并联式开关电源工作于电流临界连续状态时,流过储能电感的初始电流i(0)等于0(参看图1-13),即:(1-49)式中流过储能电感电流的最小值iLX等于0。因此,由(1-45)和(1-49)式,可求得并联式开关电源输出电压Uo为:

(1-50)式就是并联式开关电源工作于电流临界连续状态时输出电压的表达式。一般,并联式开关电源的输出电压Uo都是取自并联开关K两端输出脉冲电压uo的半波平均值Upa,经整流滤波以后储能滤波电容C两端的输出电压基本就是Upa ,即:

这里特别指出:(1-50)和(1-52)式的结果,虽然是以开关电源工作于电流临界连续状态的条件求得,但对于开关电源工作于连续电流状态或断流状态同样成立,因为,输出电压Uo是取自输出脉冲电压uo的半波平均值Upa,而不是取其平均值Ua。
同图中可以看出,并联式开关电源输出电压中各电压成分Up、Upa、Uo的高低,均与占空比有关,但其输出电压的平均值Ua与占空比D的大小无关,并联式开关电源输出电压uo的平均值Ua与输入电压Ui的大小相等,即:

另外,当并联式开关电源的占空比D大于0.5时,表示开关电源工作于电流连续状态,即,流过储能电感L的电流不会断流,这种情况相当于在储能电感L中加了一个偏流,当偏流过大时,储能电感L很容易产生磁饱和,因为储能电感L一般都要带磁芯。因此,在进行电路参数设计时,不要把占空比选得过大,并且磁芯还要留一定的气隙,以防止磁芯饱和。
[page]
1-4-3.并联式开关电源储能电感的计算
与前面计算反转式串联开关电源中储能电感的数值方法基本相同,计算并联式开关电源储能电感也是从流过储能电感的电流为电流临界连续状态着手进行分析。并联式开关电源中的储能电感与反转式串联开关电源中的储能电感工作原理基本一样,都是在控制开关K关断期间才产生反电动势向负载提供能量,因此,当D = 0.5时,流过负载的电流只有流过储能电感电流的四分之一。
根据(1-45)式:

式中Io为流过负载的电流,当D = 0.5时,其大小等于最大电流iLm的四分之一;T为开关电源的工作周期,T正好等于2倍Ton。
由此求得:

(1-55)和(1-56)式,就是计算并联式开关电源储能电感的公式。同理,(1-55)和(1-56)式的计算结果,只给出了计算并联式开关电源储能电感L的中间值,或平均值,对于极端情况可以在平均值的计算结果上再乘以一个大于1的系数。
对于储能电感取不同数值和在不同的占空比状态下工作的情况分析,请参考前面关于“反转式串联开关电源储能电感的计算”内容的论述。
[page]
1-4-4.并联式开关电源储能滤波电容的计算
并联式开关电源储能滤波电容的计算,可以参考前面串联式开关电源或反转式串联开关电源中储能滤波电容的计算方法,同时还可以参考图1-6中储能滤波电容C的充、放电过程。
这里要特别注意的是,并联式开关电源与反转式串联开关电源中的储能电感一样,仅在控制开关K关断期间才产生反电动势向负载提供能量,因此,即使是在占空比D等于0.5的情况下,储能滤波电容器充电的时间与放电的时间也不相等,电容器充电的时间小于半个工作周期,而电容器放电的时间则大于半个工作周期,但电容器充、放电的电荷是相等的,即电容器充电时的电流大于放电时的电流。
从图1-13可以看出,并联式开关电源,流过负载的电流比串联式开关电源流过负载的电流小一倍,流过负载的电流Io只有流过储能电感最大电流iLm的四分之一。在占空比D等于0.5的情况下,电容器充电的时间为
,电容充电电流的平均值为
,或
;而电容器放电的时间为
,电容放电电流的平均值为0.9 Io。因此有:

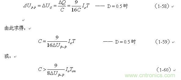
式中ΔQ为电容器充电的电荷,Io为流过负载的平均电流,T为工作周期。电容充电时,电容两端的电压由最小值充到最大值,放电时,电容两端的电压又由最大值下降到最小值,对于电容两端的电压变化量均为ΔUc,此电压变化量正好就是输出电压的纹波。由此可求得输出电压的纹波ΔUP-P为:

(1-59)和(1-60)式,就是计算并联式开关电源储能滤波电容的公式。式中:Io是流过负载电流的平均值,T为开关工作周期,ΔUP-P为滤波输出电压纹波,此纹波电压ΔUP-P实际上就是电容器两端的充放电电压增量,即:ΔUP-P = ΔUc 。
同理,(1-59)和(1-60)式的计算结果,只给出了计算并联式开关电源储能滤波电容C的中间值,或平均值,对于极端情况可以在平均值的计算结果上再乘以一个大于1的系数。
当开关K工作占空比D小于0.5时,由于流过储能电感L的电流会不连续,电容器放电的时间将远远大于电容器充电的时间,因此,开关电源滤波输出电压的纹波将显著增大。另外,开关电源的负载一般也不是固定的,当负载电流增大的时候,开关电源滤波输出电压的纹波也将会增大。因此,设计开关电源的时候要留有充分的余量。实际应用中,最好按(1-59)式计算结果的2倍以上来计算储能滤波电容的参数,因为大多数滤波电容都是选用电解电容,而电解电容的容量很不稳定,其容量受温度影响很大,并且随着使用时间的增长,其容量也会慢慢地变小。
快到年底了,陶老师又为大家带来了开关变压器的工作原理和设计,作为新年的福利,请大家关注,本站将陆续为大家分享出来!
相关阅读:
反转式串联开关电源的工作原理及电路参数的计算
——陶显芳老师谈开关电源原理与设计
http://www.5r3h.cn/power-art/80022150
串联式开关电源工作原理及电路参数的计算
——陶显芳老师谈开关电源原理与设计
http://www.5r3h.cn/power-art/80022144
陶老师谈:单激式变压器开关电源的工作原理
http://www.5r3h.cn/power-art/80022120
陶显芳老师谈开关电源原理与设计
http://www.5r3h.cn/power-art/80021940




