- 学习高温微型的压力传感器的应用
- 器件的基本组成及制作工艺
- 用具有补偿功能的测量电路对输出电容进行非线性补偿
- 应用模型识别的方法确定压力传感器的电容值
0 引言
压力传感器是使用最为广泛的一种传感器。传统的压力传感器以机械结构型的器件为主,以弹性元件的形变指示压力,但这种结构尺寸大、质量轻,不能提供电学输出。随着半导体技术的发展,半导体压力传感器也应运而生。其特点是体积小、质量轻、准确度高、温度特性好。特别是随着MEMS技术的发展,半导体传感器向着微型化发展,而且其功耗小、可靠性高。
高温压力传感器是为了解决在高温环境下对各种气体、液体的压力进行测量。主要用于测量锅炉、管道、高温反应容器内的压力、井下压力和各种发动机腔体内的压力、高温油品液位与检测、油井测压等领域。目前,研究比较多的高温压力传感器主要有SOS,SOI,SiO2,Poly2Si等半导体传感器,还有溅射合金薄膜高温压力传感器、高温光纤压力传感器和高温电容式压力传感器等。半导体电容式压力传感器相比压阻式压力传感器其灵敏度高、温度稳定性好、功耗小,且只对压力敏感,对应力不敏感,因此,电容式压力传感器在许多领域得到广泛应用。
1 器件的基本组成及制作工艺
硅电容式压力传感器的敏感元件是半导体薄膜,它可以由单晶硅、多晶硅等利用半导体工艺制作而成。典型的电容式传感器由上下电极、绝缘体和衬底构成。当薄膜受压力作用时,薄膜会发生一定的变形,因此,上下电极之间的距离发生一定的变化,从而使电容发生变化。但电容式压力传感器的电容与上下电极之间的距离的关系是非线性关系,因此,要用具有补偿功能的测量电路对输出电容进行非线性补偿。由于高温压力传感器工作在高温环境下,补偿电路会受到环境温度的影响,从而产生较大的误差?;谀P褪侗鸬母呶卵沽Υ衅?,正是为了避免补偿电路在高温环境下工作产生较大误差而设计的,其设计方案是把传感器件与放大电路分离,通过模型识别来得到所测环境的压力。高温工作区温度可达350℃。传感器件由铂电阻和电容式压力传感器构成。其MEMS工艺如下:
高温压力传感器由硅膜片、衬底、下电极和绝缘层构成。其中下电极位于厚支撑的衬底上。电极上蒸镀一层绝缘层。硅膜片则是利用各向异性腐蚀技术,在一片硅片上从正反面腐蚀形成的。上下电极的间隙由硅片的腐蚀深度决定。硅膜片和衬底利用键合技术键合在一起,形成具有一定稳定性的硅膜片电容压力传感器[2]。由于铂电阻耐高温,且对温度敏感,选用铂电阻,既可以当普通电阻使用,又可以作为温度传感器用以探测被测环境的温度。金属铂电阻和硅膜片的参数为:0℃时铂电阻值为1000Ω;电阻率为1.0526316×10-5Ω·cm;密度为21440kg/m3;比热为132.51J/(kg·K)、熔断温度为1769℃,故铂电阻可加工为宽度为0.02mm;厚度为0.2μm;总长度为3800μm,制作成锯齿状,可在幅值为10V的阶跃信号下正常工作。电容式压力传感器的上下电极的间隙为3μm、圆形平板电容上下电极的半径为73μm、其电容值为50pF。具体工艺流程图如图1所示。

2 基于识别技术的模型及其仿真
对于一个系统,其方程式为
UO(s)=G(s)Ui(s),
其中 UO(s)和Ui(s)分别为输出和输入信号,当输出、输入信号及系统的阶数已知,可以通过计算机按一定的准则来识别G(s)的模型参数,为模型识别。本文主要阐述应用模型识别的方法来确定处于高温环境下的电容式压力传感器的电容值。
[page]
2.1 电路模型
基本电路是由一个金属铂电阻和一个电阻式高温压力传感器构成(如图2)。

金属铂电阻对温度变化敏感,若选用零度时电阻值为1000Ω、温度系数为3851×10-6/℃的铂电阻,其温度变化范围从-50~350℃时,相应的电阻从803.07~2296.73Ω。由电阻的变化可测得环境的温度。压力传感器在不同压力下有不同的电容值,因此,在同一温度下,输入同一交流电压信号时,其输出信号不同。
2.2 系统在时域范围的算法
图2电路所示的一阶系统的传递函数为

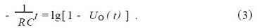
式中UO为输出信号;Ui为输入信号;R为电阻;C为电容;t为时间。
利用MATLAB绘制单位阶跃响应曲线如图3。

从图3中可看出,该系统稳定、无振动。响应曲线的斜率为:

对式(2)进行变换得
从式(3)得,以lg[1-UO(t)]为纵坐标,t为横坐标,可得出通过原点直线,从直线的斜率可求得常数RC的值,已知R则可得出C,从而得出压力。
[page]
2.3 模型识别
基于上述思想,若已知输入、输出信号,可通过曲线拟合及线性回归法得出RC。对式(3)进行拟合,在拟合过程中,加入一定的白噪声。若R=1000Ω,电容C=50pF,则拟合曲线如图4所示。

拟合参数最大时为5.037×10-8,最大相对误差为0.78%。当温度变化时,金属铂电阻值发生变化,在不同的温度下拟合的电容值和温度的关系如表1所示(加入1%的白噪声)。

1可见,拟合的电容误差小于1%。由此可见,在不同的时刻测得UO(t),通过曲线拟合得出参数RC。再给电路加小信号直流电源,测出R值,即求得C,通过C值则可知被测环境的压力。图5为350℃时,不同的压力所对应的电容的理论值和实验值,从实验数据(表2)可得,在测压的过程中,利用模型识别的方法,误差较小,其测压误差小于2%。


3 结束语
基于模型识别技术的高温微型压力传感器电路简单、工艺成本较低、体积小、可批量生产、准确度高。该传感器避免了电阻式高温压力传感器的自补偿电路在高温环境下工作时热灵敏度漂移引起的误差,也避免了其它电容式高温压力传感器非线性补偿电路在高温环境下工作。该传感器适合在各种高温环境下测量气体或液体的压力。





