【导读】工程师接触电子产品设计必须掌握电容感测等相关知识。电容感测在很多应用中都发挥着重要作用。接近度检测、手势识别、液面感测,这些都是电容感测的某一个方面因素,但是它们的决定性都是相同的。都是根据特定的基准来感测出纳干起电容值的变化。本文我们就来介绍电容感测架构的选择。
在今天的文章中,我们将介绍2个特定的架构类型,分别是开关电容器电路和电感器-电容器LC谐振槽路,这也是当前一种比较常见的用于电容感测的电路。下面我们就分别来看一下这两种电容感测架构的特点和不同吧。
开关电容器电路
首先我们来看一下,电容感测过程中非常常见的一种电路架构,即开关电容器电路。下图中,图1所显示的是针对电容感测的经简化电路,该电路以电荷转移为基础。这一电路系统中的开关执行采样保持运行。在采样之间,传感器电感器上的电荷的变化会导致输出电压的变化,然后,通过测量电压的变化量可以确定电容值的变化。

图1支持采样保持的经简化开关电容器电路的电路原理图
在这种支持采样保持的开关电容器电路系统中,如果我们需要对传感器上的电荷进行采样,则需要通过闭合开关S1,并且打开开关S2和S3,使传感器电容器CS充满电。一旦传感器电容器CS被充满,此时S1和S3将打开,而S2将闭合。这就使得传感器电容器上累积的电荷被直接传输到保持电容器,CH中。一旦CH被充满,S1和S2将打开,而S3将闭合。这就强制地将传感器电容器的放电,为下一次采样做准备。同时,它还会与输出电压电势的缓冲(由CH保持稳定)隔离开来。
通过上文中的介绍我们可以看出,这种开关电容器电路是一款广泛用于电容感测的架构,其大受欢迎的原因在于这个架构由开关操作,所以其采样状态和保持状态全都是去耦合的。然而,这个技术也存在一些缺点,那就是它更容易受到噪声的影响。由于这个传感器具有宽频带特点,来自于外部干扰源的噪声—即使这个干扰源的运行频率不同于工作频率—仍然会出现问题。你也许需要用于滤波的外部电路,而这将会增加系统的复杂程度,并且在滤波器引入明显的寄生电容时,这有可能降低灵敏度。然而,如果系统并未暴露在宽频带噪声中,这个架构也许就足够用了。
LC谐振槽路
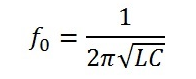
在了解了开关电容器电路的电容感测原理和优缺点之后,接下来我们再来看一下另一种常见的架构类型,即LC谐振槽路。下图中,图2所显示的LC谐振器是电容感测中使用的另外一个传感器架构。而方程式1确定了LC谐振槽路的振荡频率。

图2简单LC谐振槽路的电路原理图

方程式(1)
这里我们需要着重看一下方程式1。从方程式1所提供的计算公式中能够很明显的看出,在这种电容感测架构中,振荡频率只取决于谐振槽路的总电感和总电容值。因此,如果电容感测的目的在于测量电容值的变化,那么谐振槽路的总电感是固定的,而谐振器的电容组件形成了传感器。由于电容值会随着传感器对目标的响应而发生变化,所以振荡频率将会改变。然后,谐振回路频率的变化成为你的测量值,以确定测得的电容值变化。
相比较上文中我们所介绍的开关电容器电路系统,LC谐振槽路的电路原理就显得简单很多了,不过虽然这种LC谐振槽路的架构非常简单,但这种电路所具有的几个主要优势使其成为电容感测领域内的一个相对新型的方法。

图3LC谐振器特性曲线
与开关电容器架构相比,我们所提到的这种LC谐振槽路架构,其优势在于,由于其内在的窄带特点(如上图图3所示),因此一个LC谐振器就能够提供出色的电磁干扰(EMI)抗扰性。此外,如果在任何已知的频率上的确存在噪声源,有可能在不使用外部滤波器的情况下,通过移动传感器的运行频率来过滤掉这些噪声源。这将有助于增加系统的灵敏度,并且减少其复杂程度。TI在其最新推出的产品组合中,均包含有上文所提及的这两种电容感测的架构类型。其中,最新一代的产品FDC1004是TI的开关电容器架构版本,而FDC221x是TI的LC谐振槽路架构版本。
相关阅读:
感测的内容是什么? 用于电容感测的有源屏蔽有何作用
有了MEMS惯性传感器,飞机定向障碍都不是事儿!
图解TX61U-IT太阳能温度传感器





