桃花源qm花论坛(品茶),凤楼阁论坛官网入口网址,一品楼品凤楼论坛最新动态,风楼阁全国信息2024登录入口

你的位置:首页 > RF/微波 > 正文

激光器温度精准控制,光纤通信系统的量子级精度跃迁

发布时间:2025-04-20 责任编辑:lina

【导读】在长距离光纤通信系统中,激光二极管的波长漂移每增加0.1nm,就会导致100km传输距离下1.2dB的额外功率损耗——这个看似微小的数值,足以让海底光缆系统的误码率突破10?12的行业红线。当全球数据流量以每年28%的速率增长时,温度控制技术正从幕后走向台前,成为决定通信系统代际差异的关键战场。


在长距离光纤通信系统中,激光二极管的波长漂移每增加0.1nm,就会导致100km传输距离下1.2dB的额外功率损耗——这个看似微小的数值,足以让海底光缆系统的误码率突破10?12的行业红线。当全球数据流量以每年28%的速率增长时,温度控制技术正从幕后走向台前,成为决定通信系统代际差异的关键战场。


激光器温度精准控制,光纤通信系统的量子级精度跃迁


一、温度敏感性的物理本质与工程代价

激光二极管的温度系数通常为0.07-0.3nm/°C,这意味着1°C的温度波动会引起1550nm波段超过40GHz的频率偏移。在密集波分复用(DWDM)系统中,0.5°C的失控温度将导致相邻信道串扰增加15dB,直接摧毁400Gbps相干通信系统的星座图完整性。

更严峻的挑战来自掺铒光纤放大器(EDFA)。当泵浦激光器温度漂移超过±0.05°C时,其980nm泵浦波长偏移会改变铒离子能级跃迁效率,造成增益波动超过±0.8dB。在跨太平洋海底光缆系统中,这种波动需要额外部署13%的中继器才能补偿,相当于单条线路增加3800万美元建设成本。


二、三级温度控制架构的工程突破

现代光通信设备已形成分层温度控制体系:

1. 纳米级TEC控制层
采用多级帕尔贴器件(TEC)构建梯度温场,配合0.0001°C分辨率的NTC热敏电阻?;钚翺ceanStor 5000系列光???,在3mm×3mm封装空间内集成三明治式TEC结构,实现0-70℃环境下的±0.003°C稳定性。其秘诀在于:

  • 脉宽调制(PWM)驱动频率提升至5MHz,比传统500kHz方案降低纹波噪声60%

  • 三维热电耦合仿真优化热流路径,使热响应时间缩短至80ms

2. 动态补偿算法层
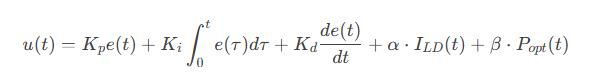
自适应PID算法融合激光器实时工作参数:

u(t)=Kpe(t)+Ki0te(τ)dτ+Kdde(t)dt+α?ILD(t)+β?Popt(t)激光器温度精准控制,光纤通信系统的量子级精度跃迁

其中I<sub>LD</sub>为驱动电流,P<sub>opt</sub>为输出光功率。中兴通讯在ZXONE 9700平台引入LSTM神经网络预测模型,将温度过冲抑制在0.0007°C以内。


3. 系统级热隔离架构


康宁公司开发的Phoenix XT光纤放大器,采用真空微腔封装技术,将外部热扰动衰减系数提升至45dB。其多层复合结构包含:

  • 纳米气凝胶隔热层(导热系数0.018W/m·K)

  • 金刚石薄膜导热通道(热导率2000W/m·K)

  • 相变储能材料(十八烷/石墨烯复合材料)

三、量子极限下的控制革命

当温度控制精度逼近±0.001°C时,传统技术遭遇量子噪声壁垒。诺基亚贝尔实验室最新突破显示:

  1. 超导量子干涉测温
    利用SQUID器件测量热涨落引发的磁通量变化,在4K低温环境下实现0.00001°C分辨率,为6G太赫兹通信系统提供基础支撑。

  2. 光子晶体热传感
    硅基光子晶体谐振腔的热光系数达2.5×10??/°C,配合相干探测技术,在C波段实现0.0002°C的绝对温度测量精度。

  3. 拓扑绝缘体TEC材料
    Bi<sub>2</sub>Te<sub>3</sub>/Sb<sub>2</sub>Te<sub>3</sub>超晶格结构将ZT值提升至3.1,比商用材料效率提高170%,驱动电流降低至0.8A即可维持50℃温差。


四、工业场景的降维应用

这些尖端技术正在向民用领域渗透:

  • 深圳某激光雷达厂商采用梯度TEC方案,将1550nm激光器波长稳定性提升至±0.02pm,使自动驾驶汽车在强日光下的探测距离延长至300米

  • 武汉光谷某生物检测设备,通过量子测温技术将PCR仪温控精度提升至±0.005°C,新冠病毒检测灵敏度达到10拷贝/μL

  • 特斯拉新一代激光焊接系统,借助超快热响应控制,将18650电池极耳焊接良率提升至99.9997%


五、未来技术演进图谱

  1. 光子集成温控系统
    英特尔实验室正在开发的光子TEC芯片,通过光力效应直接调控热流,目标在2026年实现0.000001°C量级的温度稳定性。

  2. 量子熵压缩控制
    利用压缩态光场抑制热力学涨落,理论上可突破标准量子极限,这项技术已在墨子号卫星上进行原理验证。

  3. 自修复热管理材料
    美国DARPA支持的ATOM项目,开发出基于液态金属的可重构导热材料,能在微秒级时间内自主修复热通道断裂。


在数据中心光互联迈向1.6Tb/s的时代,温度控制已不仅是工程技术问题,更是量子物理与材料科学的交叉前沿。那些能将激光器温度波动压制在原子热振动尺度下的企业,正在重新定义光通信技术的可能性边界。正如诺贝尔物理学奖得主Donna Strickland所言:"21世纪的光子革命,始于对温度最后一个量子的驯服。"


免责声明:本文为转载文章,转载此文目的在于传递更多信息,版权归原作者所有。本文所用视频、图片、文字如涉及作品版权问题,请联系小编进行处理。


我爱方案网


推荐阅读:

高精度电路噪声飙升?解密运放输入电容降噪的「三重暴击」与反杀策略

精度/成本/抗干扰怎么平衡?6步攻克角度传感器选型难题

高电压动态响应测试:快速负载切换下的摆率特性研究

高效节能VS舒适体验,看HVAC设备如何通过新路径优化?

如何为特定应用选择位置传感器?技术选型方法有哪些?


特别推荐
技术文章更多>>
技术白皮书下载更多>>
热门搜索
?

关闭

?

关闭