【导读】提出了一种线性化级联组合信号IC的新方法,用于原位校正PCB缺陷和相互加载。这样可以大幅缩短系统设计/原型设计周期,并以可忽略不计的功耗成本最大限度地提高信号链性能。报告了使用高达3GHz的RF信号并使用12b/10GSPS ADC进行的实验结果,验证了该方法的有效性。
提出了一种线性化级联组合信号IC的新方法,用于原位校正PCB缺陷和相互加载。这样可以大幅缩短系统设计/原型设计周期,并以可忽略不计的功耗成本最大限度地提高信号链性能。报告了使用高达3GHz的RF信号并使用12b/10GSPS ADC进行的实验结果,验证了该方法的有效性。
介绍
基础设施通信系统、仪器仪表和防空应用的进步推动了对RF和混合信号IC的更高性能要求,特别是高速/高动态范围数据转换器[1-3]。
然而,在信号链中的IC之间插入的印刷电路板(PCB)和封装会引入寄生效应,并遭受制造缺陷的影响,从而导致网络中的电路不平衡并损害GHz信号的线性度。
模数转换器(ADC)的采样保持放大器(THA)前面通常有一个片内缓冲器,以简化与片外驱动放大器(或可变增益放大器)的耦合。片上缓冲能力有限,耗电大,并且在高频时会减弱。IC之间的相互加载引入了额外的非线性或改变IC最佳工作条件。
接收(Rx)信号链如图1所示。每个功能??椋ɑ炱灯鳌⑶糯笃?、滤波器和ADC;后者包括前端缓冲器和THA)是同一PCB上的独立IC。虽然每个??槎伎梢缘ザ溃ɑ蛟谑笛槭业淖罴讯ㄖ瓢迳希┓⒒幼罴研阅埽坏詈喜⑹艿皆由⒑褪导蔖CB的限制,整个链的净性能可能会受到限制。
数字。1. 经典“接收”(Rx)信号链示例。
IC设计人员努力加强芯片接口的电路,以满足在各种负载条件下所需的性能。通常,使用这些组件的系统设计人员需要定制和迭代设计,以最大程度地减少上述损伤的影响。IC高级模型(通常是简单的电子表格)的局限性和电路板杂散建模不足加剧了这种努力。原型设计工作可能会为高性能系统的开发增加几个月的时间,并且需要IC供应商的应用工程人员的参与[4,5]。
这里介绍的非线性校准(NLC)方法通过在宽输入频率范围内校正动态非线性失真来缓解这些问题。RF/混合信号IC整个信号链的非线性模型的参数是原位确定的,即在系统板上确定。然后推导一个数字逆校正函数,使二阶和三阶失真为零。这是在信号链处理信号之前在前台执行的。然后,逆函数实时应用于ADC输出端的数据流,从而对损伤的影响进行后失真(线性化)。这让人想起数字预失真(DPD)或通信系统中的回声/传输消除[6]。
本文的组织结构如下。第二部分讨论校准系统及其操作。第三部分介绍了非线性、模型参数识别和二次和三次谐波失真的消除所采用的模型。最后,第四部分报告了实验结果,量化了所提出的校准的有效性。
信号链的非线性消除
背景
假设图1中的每个IC(例如驱动放大器、滤波器、ADC)都已经过单独优化。因此,例如,如果ADC需要内部前台校准[3],则需要事先完成。
然后,我们考虑ADC数字输出之间存在的净静态非线性特性,例如,ADC的数字输出之间D外和驱动放大器的模拟输入v在如图 2 所示。图2的下部勾勒出卡通曲线(为了解释而夸大)。这捕获了由各种损伤引起的整体非线性,例如放大器和抗混叠滤波器之间以及滤波器和ADC输入之间携带差分模拟信号的成对走线之间的残余不平衡,加上所有杂散,以及??橹涞南嗷ジ涸氐取?/p>
数字。2. 信号链非线性。
为了理解这一点,我们考虑一下,例如,仅ADC的低频线性度通常优于75dB,即优于5000分之一。无论ADC性能如何,任何电路板设计缺陷或随机制造缺陷,如果不是明显好于此缺陷,都会影响和降低信号链的净线性度。更糟糕的是,在处理GHz范围内的宽带信号的应用中,如基础设施通信系统或高性能仪器[6],这种非线性也具有频率相关分量,因此其行为无法仅使用泰勒级数展开进行精确建模。
算法线性化的操作
假设信号路径非线性是弱单调非线性[6,7]。设 H(.) 是D外和v在如图2所示。所提出的消除方法包括通过应用反函数以数字方式反转其失真Hc(.)到ADC的输出数据流D外,返回线性化数据流D林如图 3 所示:
其中 G 和D0分别是转换增益和失调。Hc(.) 嵌入在 ADC 中,由表示转换器芯片的虚线表示。
数字。3. 非线性度的数字校正。反函数 Hc(.)嵌入在 ADC 中(虚线勾勒出芯片)。
Hc(.)其特征在于由向量C捕获的许多模型参数。下面概述了原位确定C的程序。
为此,H(.) 需要使用施加的信号来执行。这是在信号链工作之前完成的,没有混频器输出。在驱动放大器的输入端生成并注入测试信号u。u由数模转换器(DAC)合成,该转换器也与ADC位于同一芯片上,如图4所示,但集成不是必需的。DAC线性度需要优于目标信号路径线性度。微控制器uC还嵌入在ADC中,以执行多种功能,包括ADC本身的初始校准[3],此处用于控制和执行模型识别算法和反函数创建。
数字。4.注入测试信号。
模数转换器输出D外对应于由H(.)处理的信号U的数字表示存储在片上RAM上。在此之后,u 归零,RAM 的内容由 uC 处理以估计 C,从而确定Hc(.,C) 如图 5 所示,稍后将对此进行详细说明。
数字。5.校正参数的确定。
一旦找到C,信号链就可以以实际v在,现在是混频器的输出,并返回线性化输出D林(因为 Hc(.) 使链失真无效)。从这一点开始,C没有变化。如果工作温度或其他参数漂移重新出现过度失真,则需要重新校准[9]。
所提出的方法是可扩展到功能更多的块。例如,还可以包括驱动放大器前面的混频器。为此,用于注入u的求和节点在图5左侧的混频器信号输入处向上游移动。施加u时,另一个混频器的端口需要用本地振荡器激励,但在此校准阶段,没有其他RF信号施加到混频器的Rx输入。该过程在概念上与前面描述的过程相同。
建模、刺激和校正
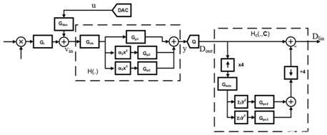
建 模
H(.) 及其逆模型类型所采用的模型类型Hc(.)是一个平行的、时间离散的哈默斯坦模型[8],由平行分支组成,每个分支包含一个静态非线性元素,后跟一个动态线性元素。这种选择是合理的,因为非线性的主要来源的性质是连续时间驱动放大器、滤波器、缓冲器等[6,7]。当其他非线性源(如时间交错失真或采样电荷注入失真)先前可以忽略不计时,这是有效的[1-3,9]。
图 5 链的完整动态模型如图 6 所示。所有具有传递函数 G 的??槎际窍咝月瞬ㄆ鳌@?,理想的DAC输出u可以由传递函数线性频率塑造G发援会,通??赡苡氪莺煌珿我来自混频器的射频输出。H(.) 的模型由线性分量、二次分量和立方分量组成,每个分量都有线性滤波器。理想量化器Q返回数字输出D外频率采样fs.
图6.链的完整模型,包括 H(.) 和 HC(.)。
D外然后由Hc(.,C),它也使用哈默斯坦模型,其中输入信号的二次分量和三次分量被估计、组合并从失真序列中减去D外返回更正的序列D林.Hc(.,C) 中的函数系数构成 C,这些系数可以直接与 H(.) 中的系数代数相关。
而v在假设始终处于第一奈奎斯特波段(输入频率f在假定为f在C 的训练算法中产生了歧义,并且还需要分别估计二次项和三次项的传递函数响应,并分别估计第二和第三奈奎斯特区。校正中的歧义已在 H 中得到解决C通过引入足够高的插值,在我们的例子中为 4x,在二次和三次校正项的求和之前(随后在应用校正之前被抽取 4)。
刺激和模型识别
DAC和ADC均以速率计时fs.宽带伪随机序列以及单音和双音都被用作刺激来训练系数C并导致可比较的结果,尽管这两种方法中的每一种都有自己的优点和缺点。在本文的其余部分,仅讨论了单音调刺激的情况。
在这种情况下,DAC 将 u 合成为形式为 cos(ωt + ?0).产生多个频率ω的音调,确保产生的谐波不会相互叠加混叠(即在采样时,这些谐波不会落在相同的频率箱中)。
使用比图 6 所示更简单的 H(.) 模型,为了简化数学运算,理想采样器/量化器 Q 之前的失真信号 y(t)可以写为 y(t) = [α1v在(t) + α2v在2(t) + α3v在3(t)] *g3(t) 凡α2和α3是失真系数,非线性项与线性时不变(LT I)脉冲响应复杂g3更正D外的训练算法Hc需要估计α2, α3和g3(t)。
y 的傅里叶变换为:
其中 Г(ω) 包含一些其他(交叉)项,而不是ωo, 2ωo或 3ωo.这可以写成:
其中 ?(ω) 包含一些其他不在ωo, 2ωo或 3ωoα和β可以相互关联。因为D外是 Y 的数字表示,因此:
由H(.)产生的基波、二次和第一次谐波,标度和相移G3很容易看到。这些术语映射到Hc取消二次项和三次项。因此,C 可以从 H(.) 计算出来。反过来,H(.)可以从其通过以均匀间隔的频率注入音调u获得的频率响应中识别出来,如第II节所述,避免主谐波落在相同的FFT箱上。然后,如所见,C 是代数找到的。
(4)上的更多代数表明,当二阶和三阶谐波D外别名到第一奈奎斯特带,(4)中的相应项被相位否定,这需要跟踪。此外,而不是提取β2G3(eJωo), β3G3(eJ3Ωo)在(4)中,它们与β的关系1G3(eJωo)实际使用,因此仅在第一奈奎斯特区需要激励,但需要更多计算。如果G发援会是一个一阶系统,它的影响可以通过了解的力量来解释D外的根本。最后,将DAC定时于以下位置引入的另一个实际限制fs如f在接近奈奎斯特,是u将是sinc形的,更重要的是u的(fs–f在) 第一个图像也接近奈奎斯特并产生光谱估计问题。
实验结果
NLC已应用于信号链,如图2所示,并使用图7所示的芯片,嵌入[3]中所述的12b/10GSPS ADC、14b/10GSPS信号注入DAC、10GHz低相位噪声时钟合成器、校准引擎(包括微控制器uC)和本文范围之外的其他功能,例如数字下变频器和滤波器。此处报告的结果是在采样率fs=6GSPS,这是射频信号接近3GHz的通信系统所要求的[6]。
数字。7.芯片的芯片布局和主要功能块。
在对近满量程激励进行线性化之前,已经测量了信号链的单音次级(HD2)和三次谐波(HD3)失真性能、信噪比(SNR)、无杂散动态范围(SFDR)和双音三阶交调失真(IMD3)。结果在图8-11中标记为“标称”的曲线中报告。
数字。8. (a) HD2 和 (b) HD3 与 f 的单音失真性能在线性化之前(标称)和线性化后(校正)的基波输入功率为 -1dBFS 和 fs=6GSPS。
数字。9. (a) 信噪比和 (b) SFDR 与 f在对于 -1dBFS 和 f 的输入s=6GSPS。
数字。10. 双音IMD3 for (a)(2F)一个–Fb) 及 (b)(2楼)b–F一个)与 f在= (F一个+Fb)/2 表示 –7dBFS 和 f 的输入s=6GSPS。
数字。11. (a) HD2 和(b) HD3 与 f在适用于 –10dBFS 和 f 的小输入s= 6GSPS。
然后应用 NLC,再次测量性能指标,并在标记为“NLC 校正”的叠加曲线中以相同的数字报告。在NLC之后,线性度性能在几乎整个奈奎斯特范围内显著改善,最终随着输入接近而达到递减的回报fs/2,如预期的那样。图10a显示噪声性能(SNR)没有像预期的那样受到影响。图10b中SFDR的改进证实了HD2和HD3的主要贡献,验证了对模型选择所做的假设。
虽然这些曲线显示了接近满量程(-1dBFS)激励的系统性能,但重要的是要确认NLC适用于较小的激励。因此,无需重新校准,而只需减少v在的功率,失真已在较低的输入功率电平(即-3dBFS,-6dBFS,-10dBFS)下重新测量。由于空间限制,图11中仅报告了-10 dBFS的更极端情况。虽然由于激励较小,标称性能在前期有所改善,但除了低频时HD2略有下降外,NLC性能优于或与标称性能相当,证实了该方法的鲁棒性。
在实时运行的校准链中,数字逆函数的应用仅增加了约150mW的功耗,而整个信号链消耗的总功耗超过5W,无需校正。
(作者:Nevena Rakuljic, Carroll Speir, Eric Otte, Jeffery Bray, Corey Petersen, and Gabriele Manganaro)
免责声明:本文为转载文章,转载此文目的在于传递更多信息,版权归原作者所有。本文所用视频、图片、文字如涉及作品版权问题,请联系小编进行处理。
推荐阅读:
全志的芯片为什么能覆盖到各行各业?专访全志科技集团副总裁胡东明





