【导读】运算放大器(op amp)的高精度和高速度直接影响着功耗的量级。电流消耗降低则增益带宽减少;相反,偏移电压降低则电流消耗增大。
运算放大器的许多电子特性相互作用,相互影响。由于市场对低功耗应用的需求逐渐增大,如无线感应节点、 物联网 (IoT) 和楼宇自动化,因此为确保同时满足终端设备性能优化及功耗尽可能低,了解各电子特性间的平衡至关重要。此系列博文包含三部分,在第一部分中,我将介绍在毫微功率精密运算放大器中关于直流增益的功率与性能表现的平衡。
直流增益
你也许还记得,在学校中学到的运算放大器的典型反相(如图1)和非反向(如图2)增益配置。

图1:反相运算放大器

图2:非反相运算放大器
根据这些配置可分别得出反相和非反相运算放大器闭环增益等式,等式1和等式2:
等式中A_CL是闭环增益,R_F 是反馈电阻值,而R_2 是从负输入端到信号(反相)或接地(非反相)的电阻值。
这些等式说明直流增益与电阻比有关,与电阻值无关。另外,“功率”定律和欧姆定律显示了电阻值和消耗功率两者之间的关系(等式3):
P是电阻消耗的功率,V是电阻的压降,I是流经电阻的电流。
对毫微功耗增益和分压器配置而言,Equation 3显示,流经电阻的电流消耗最小,则消耗功率最小。Equation 4有助于你了解该原理:
R是电阻值。
根据这些等式,可以看出你必须选择既可以提供增益又可以使消耗功率(也称功耗)最小化的大电阻值。如果不能使流经反馈通道的电流最小化,那么使用毫微功耗运算放大器就没有任何优势可言。
一旦选定可以满足增益和功耗需求的电阻值后,你还需要考虑其它影响运算放大器信号调节精度的电子特性。统计非理想运算放大器固有的几个系统性小错误,你将会得出总偏移电压。电子特性——V_OS被定义为运算放大器输入端之间的有限偏移电压,并且描述了特定偏置点的错误。请注意,并未记录所有运算情况下的错误。为此,必须考虑增益误差、偏置电流、电压噪声、共模抑制比(CMRR)、电源抑制比(PSRR) 和漂移。本博文无法全面讨论涉及的所有参数,我们将详细讨论一下 V_OS 和漂移,以及这两者对毫微功率应用的影响。
实际上,运算放大器通过输入端展示V_OS,但有时在低频(近似直流)精密信号调节应用中则可能是一个问题。 在电压增益环节,随着信号被调节,偏移电压将上升,产生测量误差。此外,V_OS的大小随着时间和温度(漂移)而变化。因此,低频应用需要相当高分辨率的测量方式,选择一款配备最低漂移的精密 (V_OS ≤ 1mV)运算放大器非常重要。
等式5计算了与温度相关的最大V_OS:
我已经介绍了理论部分,如:为低频应用选择可以提高增益比和运算放大器精度的大电阻值,现在我将用两引线电化电池来做出实例解释。两引线电化电池常发出低频的小信号,用在各种便携式感应设备上,如气体检测仪、血糖监测仪等,选择一款低频(<10kHz) 毫微功耗运算放大器。
用氧气传感(见图 3) 作为具体的应用实例,假设感应器的最大输出电压为10mV(通过制造商指定的负载电阻将电流转换成电压R_L) ,则运算放大器的满量程输出电压为1V。通过Equation 2,可以看出 A_CL 的值需要为100,或者R_F是R_2的100倍。分别选择100MΩ电阻和1MΩ电阻,得出增益值为101,且电阻值足够大到可以限制电流并最小化功耗。

图3:氧气传感器
为最小化偏移误差,LPV821零漂移毫微功耗运算放大器是一款理想器件。 使用Equation 5并假设操作温度范围为0°C—100°C,该器件产生的最大偏移误差为:

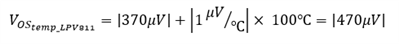
另一款理想的器件是LPV811精密毫微功耗运算放大器。从其数据表收集必要数值插入等式5可以得出:
(请注意,LPV811数据表未指明偏移电压偏移的最大上限,因此在此处使用典型值)。
如果使用通用的毫微功耗运算放大器取代,如TLV8541 ,相关值变化会得出:
(TLV8541数据表未指明偏移电压偏移的最大上限,因此在此处仍使用典型值)。
如你所见,LPV821运算放大器是这个应用的理想选择。电流消耗为650nA的LPV821可以感应到氧气传感器输出电压低至18µV或更低的变化,并只有2.3mV的最大偏移增益误差。如果需要同时满足极高精密性和毫微功耗,零偏移毫微功耗运算放大器将是你的最佳选择。
感谢你阅读“如何通过毫微功耗运算放大器实现精密测量”系列的第一部分。在第二部分中,我将讨论超精密微功耗运算放大器如何助力电流感应应用。
免责声明:本文为转载文章,转载此文目的在于传递更多信息,版权归原作者所有。本文所用视频、图片、文字如涉及作品版权问题,请联系小编进行处理。
推荐阅读:



