【导读】众所周知,纳米结构对于提高纳米材料的电化学性能起着至关重要的作用。然而,由于实验过程繁杂,规?;铣删哂刑厥饽擅捉峁沟哪擅撞牧?,一直以来严重制约着纳米材料的实用化。
引言
为弥补锂离子电池在储能方向应用的局限性,钠离子电池以其钠资源丰富、分布广泛和成本低廉等特点受到了人们的普遍关注,并有望在大规模储能领域得到应用。开发高性能负极材料对实现钠离子电池的商业化至关重要。在备受关注的钠离子电池负极材料中,硫化铁具有理论容量高、高度可逆的氧化还原特性、自然资源丰富以及环境友好等特点,是极具潜力的新型负极材料之一。众所周知,纳米结构对于提高纳米材料的电化学性能起着至关重要的作用。然而,由于实验过程繁杂,规?;铣删哂刑厥饽擅捉峁沟哪擅撞牧?,一直以来严重制约着纳米材料的实用化。
成果简介
近日,南京航空航天大学彭生杰教授课题组通过一步硫化的方法设计制备出适合规?;男蚊簿坏腇e1-xS纳米材料。作为钠离子电池负极材料,该材料展现了优异的倍率性能和良好的循环稳定性(经过2000周循环,在10 A g-1的电流密度下,可逆容量保持率仍旧可以达到大约100%)。动力学分析表明,赝电容的决定性作用,是该材料具有良好倍率性能的关键。同时,通过原位XRD表征,研究了Fe1-xS纳米材料的储钠机理。此外,利用Na0.6Co0.1Mn0.9O2与Fe1-xS匹配构成钠离子电池全电池,表现出较高的比容量和循环稳定性(在电流密度20 mA g-1时,经过100周循环,容量保持在约380 mAh g-1)。该项工作以“Large-scale synthesis of highly uniform Fe1-xS nanostructures as a high-rate anode for sodium ion batteries”为题在线发表在期刊Nano Energy上(2017, 37, 81-89)。
图文导读

图1. Fe1-xS纳米材料的物理表征
(a,b)Fe1-xS纳米材料在不同放大倍率下的扫描电子显微镜(SEM)图像;(c,d)Fe1-xS纳米材料的投射电子显微镜(TEM)图像,插图:电子衍射图像;(e-g)Fe1-xS纳米材料各元素的EDX面扫描图。

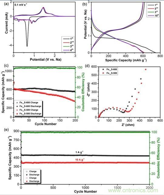
图2. Fe1-xS纳米材料的电化学性能
Fe1-xS纳米材料的(a)CV图;(b)充放电曲线图;(c)循环稳定曲线;(d)交流阻抗图;(e)不同充放电倍率下循环稳定性曲线。

图3. Fe1-xS纳米材料的动力学性能
Fe1-xS纳米材料的(a)倍率性能曲线;(b)相应倍率下充放电曲线;(c)不同扫速下的CV曲线;(d)相应氧化还原峰下的log i vs. log v曲线;(e)不同扫速下的赝电容贡献;(f)扫速为0.5 mV s-1时,CV曲线及相应赝电容所占比例。

图4. Fe1-xS纳米材料的储钠机理研究
(a)第一周充放电原位XRD图;(b)第三周充放电原位XRD图;(c)一定充放电电位下XRD图。

图5. Fe1-xS纳米材料的钠离子全电池性能
(a)Na0.6Co0.1Mn0.9O2正极和Fe1-xS负极充放电曲线对比;Na0.6Co0.1Mn0.9O2/Fe1-xS全电池在电流密度20 mA g-1时的电化学性能(b,c)充放电曲线;(d)循环稳定性曲线。
小结
该研究通过简单一步硫化的方法成功制备了均一Fe1-xS纳米结构。作为钠离子电池电极材料,表现出良好的倍率性能和超长的循环稳定性。值得注意的是,其优异的储钠性能也在钠离子全电池中得以充分展现,进一步表明了其潜在的商业化应用价值。





