【导读】POL调节器上的输入滤波器可发挥两项重要的作用,一个作用是防止开关电源产生的电磁干扰到达电力线和影响其它设备,第二个作用是?;ぷ黄骷捌涓涸匾员苊馐淙氲缪怪谐鱿值乃脖?,从而提高系统可靠性。因此,输入电容器对于调节器的正确运作及最大限度地减少来自开关调节器的噪声排放至关重要。
爱立信POL调节器通过使用如图1所示的非隔离型同步降压拓扑来实现。在降压功率级的正常运作期间,QH和QL交替开关,开关次数由具有固定频率PWM方案的控制电路来管理。由于输出端的电感器/电容器组合作用,用于降压功率级的输出电流变得平滑。但是,由于在每个开关周期中功率开关QH电流从零至全负载进行脉动,使得用于降压功率级的输入电流是脉动或形成斩波。对于调节器的正确运作及最大限度地减少来自开关调节器的噪声排放,输入电容器显然是至关重要的。


图1 降压转换器的简化原理图和输入波形
许多应用使用了相当传统的中间总线架构(IBA),如图2所示。在IBA中,电路板级中间总线转换器(IBC)为多个POL调节器馈送电力,这些调节器的位置接近负载电路,并且提供最终运作电压。所有这些开关转换器在公用DC输入总线产生纹波和噪声,应当加以抑制。如果未有滤波,调节器的输入纹波和噪声可以达到足够高的水平,干扰使用同一电源供电的其它设备。除了POL转换器产生的输入纹波和噪声之外,IBC也具有自己的输出电压纹波和噪声。

图 2 在IBA中电路板级IBC为多个POL调节器馈送电力
因此,POL调节器上的输入滤波器可发挥两项重要的作用,一个作用是防止开关电源产生的电磁干扰到达电力线和影响其它设备,第二个作用是?;ぷ黄骷捌涓涸匾员苊馐淙氲缪怪谐鱿值乃脖?,从而提高系统可靠性。
因此,POL调节器中的输入纹波和噪声的来源是什么?如何更好地设计输入滤波器来缓减其发生?
稳定性
在输入端增添一个具有衰减特性足够良好能够满足噪声和纹波规范要求的滤波器,如果输入滤波器仅由电容器(C)构成,稳定性不是问题。如果输入滤波器还包括电感器(LC),则必需检查稳定性:因为输入滤波器改变了调节器的动态参数。输出阻抗在某些频率范围可能变大,可能表现出共振,使得音频的敏感性可能会降低。问题在于LC输入滤波器可能影响转换器的动态参数,通?;峒醯偷鹘谄鞯男阅堋?/div>

从公式(9)可看出,相位展开可以大幅减小输入电容需求。
输入滤波器设计中一个重要但常常被忽视的方面,就是要满足Middlebrook规范。根据这项规范,如果输入滤波器的输出阻抗曲线远远低于输入阻抗曲线,那么输入滤波器便不会显著改动转换器环路增益,如公式1所示:

换句话说,为了避免振荡,关键在于确保滤波器的峰值输出阻抗Zo,Filter保持低于其输入阻抗 Zi,POL。如图3所示,POL调节器经设计为负载提供恒定电压,(几乎)与负载电流无关。因此,调节器在控制器带宽范围内的最小输入阻抗Zi,POL,min如公式2计算所得:

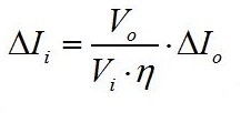
此处:Vi是输入电压,Vo是输出电压,Io是稳态输出负载电流,而η是调节器的效率。

图 3 输入滤波器的输出阻抗和调节器的输入阻抗示例
输入纹波和噪声源
对于POL调节器,输入纹波和噪声具有三个分量,首个出现在通常称作纹波的基础开关频率上。
第二个分量是输入总线上的AC电压偏移,这是由于POL??槭涑錾系母涸厮蔡浠斐傻?,这通常是一种持续时间为数百微秒等级的、具有数十kHZ等效频率的低频现象。
第三个噪声分量与发生在开关转换期间的高频振铃相关,POL以不连续脉冲电流的形式从输入源中吸取功率过程中,它的开关动作产生了这类噪声。这个分量的频率等同于POL的开关频率,它具有数个可扩展到MHz频率范围的谐波。
另一个在DC总线上的高频噪声源是IBC。反射的纹波和来自源转换器的噪声通常比POL??橐鸬奈撇ê驮肷『芏?,这是由于典型IBC在输出上具有LC滤波器,可以显著减小纹波和噪声。
因而,在输入总线上生成的大多数纹波和噪声的主要原因在于POL调节器,请留意所有爱立信POL调节器在模块上都放置了陶瓷滤波电容器,可显著减小纹波和噪声。然而,通过在POL??榈氖淙胱芟呱戏胖酶郊拥牡缛萜鳎梢越徊浇档驼庑┪撇ê驮肷?。
基础开关频率输入纹波
对于降压转换器,在开关周期的导通部分,将输出电感连接至输入,在关断期间则断开。对于输入端的恒定DC电压,在QH导通期间的输入电容器电荷数必需等于QH关断期间的电容器电荷数,且两者极性相反。图1所示为输入电容器波形,公式3则详细说明降低纹波电压幅度至可接受水平所需的陶瓷电容容量。纹波幅度随着输入电压而变化,在50%占空比下为最大值。下面是公式3:

其中:Ci,min是最小所需陶瓷输入电容;?Vi,pp 是最大允许峰-峰输入纹波电压;fsw是开关频率,而D是上述定义的占空比。
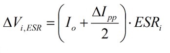
输入电压纹波来源于等效串联电阻ESR,可以按照如下公式4估算:

其中:?Vi,ESR是输入电容器ESR引起的输入电压纹波,ESRi 是输入电容器的ESR,?Ipp 是最大输出电流纹波。
根据这些公式,为了降低输入纹波,可以增加电容或减小输入电容器的ESR。陶瓷电容器通常具有很低的ESR,并且对于输入电压纹波几乎没有影响。
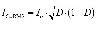
输入滤波电容器承载电流的AC组成部分,大多数纹波电流都会流经已经放置在??橹械奶沾傻缛萜?,然而,AC纹波电流的一部分也来自于输入总线,而输入总线大多数是由外部输入电容器提供的。因而,注意RMS额定电流不要超出所选择的外部电容器。
总体RMS电流ICi,RMS分布在外部和内部输入电容器之间,计算如下公式5:

请留意RMS电流可以通过爱立信电源设计人员(EPD)工具中的同步/相位展开功能来计算。
输出瞬变带来的低频率噪声
当设计使用共享的大容量输入电容器组,并且包括单一或多个POL??榈南低呈保谝徊绞羌扑闶淙胨蔡缌鞯姆?,这是通过计算每个POL模块的输出瞬变的反射输入瞬变电流得到的。在计算每个??榈母霰鹗淙胨脖渲螅窍嗉右缘玫阶芴逅脖涞缌?。在计算时,必需确定所有??榈淖畈钋樾嗡脖渥楹?,并且相应地处理。通过以下公式6计算输入电流瞬变幅度?Ii:

此处:?Ii是输入瞬变电流,?Io 是输出瞬变电流。
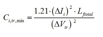
接下来,确定在输入电容器上的最大允许电压偏差?Vtr。
这是步骤一计算的峰值瞬变期间的最大允许下降,下述公式7计算最小所需输入电容Ci,tr,min。

此处:Lftotal 是串行滤波器电感加上杂散电感,如果没有使用滤波器电感电感滤波器,便必需把杂散电感 Lsrc,计算在内。
请留意这个公式是计算近似值,它生成的数值应当被认为是绝对最小值。选择电容器数值以满足所需总体电容时,应当考虑温度和DC偏压和纹波电流降额等其它因素的影响,这些因素可能会降低实际的数值。
高频噪声
DC-DC转换器中的高频输入噪声是在高频振铃过程中产生,或者与转换器功率级的寄生元件有关。存储在寄生元件中的能量在开关转换期间振荡或振铃,这类噪声通常为数百MHz。
铝电解和钽电容器具有高等效串联电阻(ESR)值,因此,通常并不适合解耦POL??榈脑肷臀撇?。然而,它们能够配合陶瓷电容器组合,用于抑制负载瞬变引起的较低频率纹波等其它用途。 对于高频衰减,必需选择针对纹波电流能力并具有低ESL和低ESR的电容器。为了降低??槭淙攵说母咂档缪辜夥?,在??榈氖淙攵擞Φ狈胖眯》庾疤沾傻缛萜?。
在处理高频开关纹波和噪声方面,布局也是很重要的。陶瓷电容器应当尽可能靠近POL调节器,如图4所示,如果需要,在其后面应接着低ESR聚合物和铝电解电容器。
应该通过使用较宽的迹线或形状及并行板,最大限度地减小杂散电感。
由于RMS电流将由多个输入电容器分享,建议挑选在开关频率下,阻抗相比钽电容和/或铝电解电容器低很多的陶瓷电容器。这将确保大部分RMS纹波电流将会流经陶瓷电容器,而不会通过具有高ESR的钽电容器和/或铝电解电容器。
请留意X5R多层陶瓷电容器(MLCC)具有高电容,但是电容会在50%以上的额定电压下显着减小。X7R电容器对比DC电压和温度的典型电容变化如图5和图6所示。可以看到,在-55 °C至 125 °C温度范围,X7R电容器仅仅变化±15%。然后,必需找到在宽温度范围保持稳定性的应用。因此,由于X7R具有良好的温度和电压系数,因而是优选的介电材料。由于碎裂问题,应当避免MLCC大于1210,还必需观察电容器制造商的焊接和处理指令。

图 4. 显示输入电容器的放置的BMR 463模块布局示例
具有超低纹波和噪声的输入DC总线
根据应用,有时设计人员会选择在分布式总线和开关调节器的输入之间插入一个电感器,以防止噪声耦合进入电路板上的其它电路。在这样的情况下,使用一个具有小电感和小电容组合的滤波器,就是最节省成本和空间的最好解耦方法,参见图7。滤波器电路中的电感器增加了输入总线的源电阻,选择电感器的数值时,应当以满足公式1为准则。

图5. X7R电容器对比DC电压的典型电容变化

图6. X7R电容器对比温度的典型电容变化

图7.结合电感器和电容器组合的滤波器的电路图
相位展开
当多个POL调节器共享一个DC输入电源时,最好是调节每个器件的时钟相位偏移,使得各器件的上升边缘并不一致。为了实现相位展开,所有转换器都必需根据相同的开关时钟进行同步。
在相位展开电源中,并行调节器在特定的相位角度开关。这些角度均匀地分布,因而可最大限度地消除纹波电流,针对输入电容器RMS电流ICi,RMS的通用公式近似这样:

在上述公式(8)中:m=floor(ND),floor函数传回低于或等于输入数值ND的最大整数,N是有效相位的数目。

图8. 常规化RMS输入纹波电流对比占空比
图8显示在负载电流上的正?;淙胛撇ǖ缌鱎MS数值对比具有不同有效相位数目的占空比。
从公式7和公式8看出,输入纹波电流的消除与相位和占空比的数目相关,增加更多相位通常可实现更大的纹波削减。电容器ESR使得大纹波电流将会在输入电容器中引起很高的功耗,也会缩短电容器的使用寿命。除了减小输入RMS电流,交错也会减小峰-峰电流。
输入电容器的开关电流通常是高频噪声的主要来源,通过降低开关电流幅度可以降低电流转换速率,同时可为高边MOSFET提供AC电流,从而减小噪声。输入纹波的频率也高于单相运作的频率。较高的频率可以减小输入滤波器的体积和成本。
公式8定义了通过相位展开将纹波电压幅度降低至可接受水平所需的输入电容。
在下面公式(9)中,ΔVi,pp 是输入电容所贡献的可接受输入电压纹波,这是滤除大部分脉冲电流的输入电容。

从公式(9)可看出,相位展开可以大幅减小输入电容需求。
根据下面公式(10)可以估算出输入电容器件ESRi 的 ESR所引起的输入电压纹波。

文章来源于电子技术设计。



