【导读】有些应用需要宽松的输出调节功能以及不到20mA的电流。对这样的应用来说,采用分立组件打造的线性稳压器是一种低成本高效益的解决方案(图1)。而对于具有严格的输出调节功能并需要更大电流的应用,则可使用高性能的低压差线性稳压器(LDO)。

图1:简单的串联稳压器。
有两个与图1所示电路相关的设计挑战。第一个挑战是要调节输出电压,第二个挑战是要在短路事件中安然无恙。在这篇文章中,笔者将讨论如何用分立组件设计稳健的线性稳压器。
下面是一个用来给微控制器供电的示例:
·输入范围:8.4V至12.6V。
·输出范围:1.71V至3.7V。
·最大负载电流:Io_max = 20mA。
双极型NPN晶体管的选择
NPN双极型晶体管Q1是最重要的组件。笔者首先选择了这种器件。该晶体管应符合下列要求:
·集电极至发射极和基极至发射极的击穿电压应超过最高输入电压Vin_max。
·集电极最大允许电流应超过最大负载电流Io_max。
除了这两项基本要求之外,使用具有备选封装的组件也是一个好主意。当涉及到功耗时,拥有这种灵活性将会简化以后的设计过程。笔者为这种应用选择了具有备选封装和不同额定功率的NPN晶体管。
下面是笔者所用NPN晶体管的关键特性。
当IC = 50mA时:
直流(DC)电流增益hFE = 60;
集电极-发射极最高饱和电压VCEsat = 300mV;
基极-发射极最高饱和电压VBEsat = 950mV。
齐纳二极管Dz的选择
输出电压等于反向齐纳电压VZ减去该晶体管基极至发射极电压VBE。因此,最低反向齐纳电压应符合下述要求(方程式1):
(1)对于这种应用,笔者选用的一个测试条件是IZT = 1mA,并选择了一个具有以下特性的齐纳二极管:
当Vo_min = 1.71V且VBE_max= 0.95V时,Vz_min应大于2.65V。
当反向电流IZT = 1mA时,最低反向电压VZ_min = 2.7V。
当反向电流IZT = 5mA时,最高反向电压VZ_max = 3.8V。
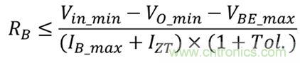
基极上拉电阻器RB
电阻器RB可为齐纳二极管和晶体管基极提供电流。在运行条件下,它应提供足够的电流。齐纳二极管反向电流IZ应大于1mA,正如笔者在“齐纳二极管Dz的选择”部分所讨论的。方程式2可估算出运行所需的最大基极电流:
(2)其中Hfe_min = 60。因此,IB_max ≈ 0.333mA。
方程式3可计算出RB的值。笔者使用了一个具有1%容差的电阻器。
(3)故此,RB应小于4.26kΩ。笔者使用了一个具有4.22kΩ标准值的电阻器。
添加一个用于输出调节的虚拟负载电阻器
当负载电流为零时,输出电压达到最大值。当1mA ≤ IZT ≤ 5mA时,VZ最大值为3.8。VBE(on)应大于0.1V,这样该稳压器的输出就能符合要求。此外,笔者还添加了一个虚拟负载电阻器,以便在无负载条件下汲取集电极电流。
图2显示,VBE(on)可作为集电极电流IC的函数。当IC = 0.1mA时,VBE(on) 大于0.3V。

图2:基极-发射极导通电压与集电极电流
方程式4可计算出该虚拟电阻:
(4)笔者将一个36kΩ的电阻器添加到了该电路,如图3所示。

图3:具有虚拟负载电阻器的串联稳压器
为短路事件进行的电流限制
图3所示电路的输出对地短路将产生较大的集电极电流。一项PSPICE仿真结果表明,集电极电流可高达190mA,见图4。

图4:短路仿真结果
晶体管Q1的功耗是2.4W。没有能应对该功耗的封装。
为了限制短路电流,笔者添加了一个电阻器RC(从VIN到晶体管Q1的集电极),如图5所示。

图5:具有限流电阻器的串联稳压器
电阻器RC将会满足输出调节要求,并能在短路事件中耗散功率。笔者可计算出RC的值:
(5)VCE_Test是图1中所用的集电极-发射极电压。笔者为RC选择了一个5%容差的电阻器。采用方程式5,RC应小于271Ω。使用这个估计值,在短路事件中方程式6可计算出最坏情况下的RC功耗:
(6)该功耗约为0.56W。笔者选择了一个1W、270Ω的功率电阻器。对于RC短路功耗更高的应用,您可把多个电阻器串联以分担功耗。
组件应力分析
就电阻器RC而言,在具有最大输入的短路事件中会发生最坏情况下的功耗。采用方程式6,可计算出最大功耗为0.59W。
就晶体管Q1而言,因为有限流电阻器RC,所以在短路事件中不会发生最坏情况下的功耗。在正常运行期间Q1的功耗是集电极电流的函数,如方程式7所示:
(7)当满足下列条件时,会发生最坏的情况:
VIN = VIN_max
VO = VO_min
IC = (VIN_max – VO_min)/(2×RC)
因此,Q1的最大功耗为(VIN_max – VO_min)2/(4×RC)。在本示例中,它是110mW。笔者选择了一种额定功率为350mW、采用SOT23封装的小外形晶体管。
至于RB的最大功耗,在具有最大输入的短路事件中会发生最坏的情况。跨RB的电压等于输入电压减去VBE(sat)。最大功耗估计为38mW。
在这篇文章中,笔者描述了具有分立组件的稳健低成本线性稳压器的设计准则。
【推荐阅读】




