桃花源qm花论坛(品茶),凤楼阁论坛官网入口网址,一品楼品凤楼论坛最新动态,风楼阁全国信息2024登录入口

你的位置:首页 > 电源管理 > 正文

选择正确的旁路电容,电源测量错误不再有

发布时间:2015-03-10 责任编辑:sherryyu

【导读】在本文中,我们探讨了当电源位于被测器件数英尺远时,它向动态负载提供稳定电压时会遇到的难题。尽管负载引线阻抗可能会严重降低高性能电源的瞬时响应性能,您仍能能够通过合理的配置,为被测件提供符合测试指标要求的、稳定的供电。通过在被测件端,并联一个合适大小和特性的旁路电容,即便被测件的消耗电流出现快速瞬时的现象,也能极大改进输入负载的电压稳定性。
 
如今,很多的IC运行速度要比以往快很多,但伴随而来的就是更高的工作电流。由于IC工作的动态负载特性,对电源在大范围功率动态变化工作条件下的稳定性提出了更高的需求。工程师如果利用普通的程控电源为被测件供电并进行测试时,往往会遇到巨大的挑战。IC电路高速变化的电流耗电波形会导致输入电压出现瞬态压降。如果压降过高,将会导致微处理器工作出现异常,或出现重复启动的现象。本文将详细介绍这种瞬态压降产生的原因,以及如何有效减轻瞬态压降的方法。
 
优化负载接线和旁路电容
 
在多数情况下,由于测试环境、布线及物理尺寸等因素的限制,电源往往放置在距离被测IC电路1至几米的地方,使用长达数米的导线连接电源和被测件。导线本身的阻抗会降低被测件IC端的实际电压。因此,几乎所有的高性能程控电源均具备远端回读功能,通过接在电源远端感应端和被测件端的感应线,测得负载端的实际电压,并在电源的输出端做出相应的调整和补偿。在实际应用中,感应线的连接点要尽可能接近IC。然而,电源的电压调整环路只能在可控的带宽范围内,抑制感应点上的电压瞬变。当电源输出和负载之间的导线呈现出过高阻抗时,IC的本地旁路电容能够在这些频率上降低这些阻抗。 
 
以一个具有25A供电,伴有5A瞬变电流的负载应用为例。其中,电源电压设为 2.5V,通过5英尺长的14AWG布线连接至IC测试板。由于是低电压供电,如果电压有超过100mV的跌落,通常是不可接受的。14AWG线每英尺的电阻为2.5mΩ,由此,在电源输出和IC测试板之间的导线回路存在25mΩ电阻。根据欧姆定律,我们可以计算出导向回路上可能出现的压降:
可以看出,负载导线回路电阻足以导致IC电路的电源输入端出现难以接受的压降;还有一点必须考虑的是负载导线上的电感。在这种情况下大约每英尺170nH, 这只会让情况变得更糟。旁路电容(如图1所示)可以在一定程度上显著改善这一状况。
负载引线网络与旁路电容器
图 1. 负载引线网络与旁路电容器
 
电源电压控制回路、负载导线网络和旁路电容之间的交互较为复杂。一些近似值能够帮助您了解如何选择旁路电容的大?。?/div>
 
具体过程如下:
 
1.  网络阻抗峰值的计算
 
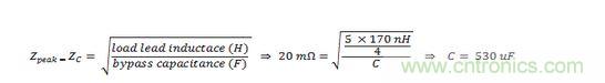
根据下面的表达式,确定负载导线网络的指定峰值阻抗和旁路电容:
2.  计算旁路电容值
 
将指定峰值阻抗设为等同于由负载引线电感和旁路电容组成LC电路的特性阻抗。在本例中,假设有4条并联双绞线电缆运行,电感降低为原来的1/4。根据下面的公式,得出电容值。
[page]

3.  计算谐振电路的谐振频率
 
如果电源输出阻抗在LC电路谐振频率上高于 Zpeak,必须提高电容,以降低储能电路谐振频率,直至满足上述条件。
4.  选择指定的电容等效串联电阻(ESR),以适当衰减 LC电路的谐振
 
衰减不当的LC电路会出现振铃现象,也会破坏电源控制环路的稳定性,因此,必须适当衰减LC谐振。负载引线电阻、电容的ESR都会衰减LC电路的谐振。将LC电路中的电阻设为等同于LC电路的特性阻抗,可以得到0.5的阻尼系数,以实现更快的响应和更低的峰值电压。
如果需要的话,可以并联不同的电容组合,以达到期望的ESR值。
 
结果
 
图 2 显示了在使用 Agilent N7950A APS 动态直流电源时,负载上的电压瞬态响应。电源在设计中,专为低电压和高电流的工作特性进行了而优化,具有极低的输出阻抗,非常适合本应用。
 
图中显示利用N7950A APS电源给被测件供电,电压是2.5V。电流偏置是25A,电流的瞬态变化时5A。它们使用一对5英尺长、并行的14-AWG 双绞线电缆供电,还有另外一对相同的远端感应线。在这里,我们可以明显看到三种情景:
2. 5A瞬时电流变化时,电压的瞬态响应
图2. 5A瞬时电流变化时,电压的瞬态响应
 
第一种情景(绛红色的迹线):在负载端并联了一个2000uF/10mOhm ESR的电容,可以看到负载端电压瞬态跌落是大约为2%,50mV。
 
第二种情景(深蓝色的迹线):在负载端并联了一个539uF/15mOhm ESR的电容,可以看到负载端电压瞬态跌落是大约为4%,90mV。
 
第三种情景(淡蓝色的迹线):没有并联电容,可以看到负载端电压瞬态跌落是大约为6.5%,130mV。
因此,当负载端并联的旁路电容高出4倍后,可使LC电路阻抗下降为原来的1/2左右,很大程度上改善了电压的瞬态压降。
要采购导线么,点这里了解一下价格!
特别推荐
技术文章更多>>
技术白皮书下载更多>>
热门搜索

关闭

?

关闭