通过对开关变压器伏秒容量的测量,可以知道开关变压器的铁芯是否正好工作于最佳磁感应强度的位置上;以及占空比,或者工作频率,是否取得合理;同时还可以检查开关变压器铁芯气隙长度取得是否合适。
长期以来,人们在设计或使用开关变压器的时候,一般只关心开关变压器的输入、输出电压、电流的大小,以及电感量等参数,而很少关心开关变压器的伏秒容量。其实,开关变压器的伏秒容量也是一个非常重要的参数,不过,目前很多人并不十分清楚伏秒容量到底是个什么东西,或者怎样对伏秒容量进行测试,以及怎样使用伏秒容量这个参数。
因此,这里将详细介绍什么是开关变压器的伏秒容量,然后再分析怎样对开关变压器的伏秒容量进行测量及应用。
什么是开关变压器的伏秒容量
图1是反激式开关电源的工作原理图,所谓反激式开关变压器输出电源,就是当开关变压器的初级线圈正好被直流脉冲电压激励时,开关变压器的次级线圈没有向负载提供能量输出,仅在开关变压器初级线圈的激励电压消失之后,开关变压器铁芯中存储的磁能量才通过次级线圈转化成反电动势向负载提供功率输出,这种开关电源称为反激式开关电源。
在图1中,当输入电压E加于开关变压器初级线圈N1的两端时,由于开关变压器次级线圈产生的电动势与流过二极管的电流方向正好相反,相当于所有次级线圈均开路,此时开关变压器相当于一个电感L1。其等效电路如图2-a) 所示,图2-b) 是开关接通时,电感两端的电压和流过电感L1的电流。


[page]
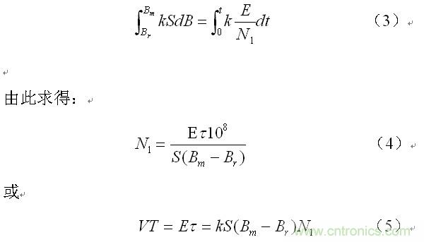
从图2可以看出,流过开关变压器的电流只有励磁电流,即:开关变压器铁心中的磁通量全部都是由励磁电流产生的。如果开关变压器初级线圈的电感量是恒定的,或开关变压器铁芯的导磁率永远保持不变;那么,当控制开关接通以后,流过开关变压器初级线圈的励磁电流就会随时间增加而线性增加,开关变压器铁心中的磁通量也随时间增加而线性增加。根据电磁感应定理:
—— K接通期间 (1)
式中e1为开关变压器初级线圈产生的电动势,L1为开关变压器初级线圈的电感量, 为开关变压器铁心中的磁通量,E为开关变压器初级线圈两端的输入电压。其中磁通量 还可以表示为:
(2)
上式中,k是一个与单位制相关的系数,S为开关变压器铁心的导磁面积,B为磁感应强度,也称磁感应强度,即:单位面积的磁通量。
把(2)式代入(1)式,并进行积分:

(4)式就是计算开关变压器初级线圈N1绕组匝数的公式。式中,N1为开关变压器初级线圈N1绕组的最少匝数,S为开关变压器铁心的导磁面积,单位:平方厘米;Bm为开关变压器铁心的最大磁感应强度,单位:高斯;Br为开关变压器铁心的剩余磁感应强度,单位:高斯),Br一般简称剩磁;τ = Ton,为控制开关的接通时间,简称脉冲宽度,或电源开关管导通时间的宽度,单位:秒;E为工作电压,单位为伏。式中的指数(k = 108)是统一单位用的,选用不同单位制,指数的值也不一样,这里选用CGS单位制,即:长度为厘米(cm),磁感应强度为高斯(Gs),磁通单位为麦克斯韦(Mx)。
(5)式中, 就是开关变压器的伏秒容量,即:伏秒容量等于输入脉冲电压幅度与脉冲宽度的乘积,这里我们把伏秒容量用VT来表示。
伏秒容量VT表示:一个开关变压器能够承受多高的输入电压和多长时间的冲击。
在开关变压器伏秒容量一定的条件下,输入电压越高,开关变压器能够承受冲击的时间就越短,反之,输入电压越低,开关变压器能够承受冲击的时间就越长;而在一定的工作电压条件下,开关变压器的伏秒容量越大,开关变压器的铁芯中的磁感应强度就越低,开关变压器铁芯就不容易饱和。
当开关变压器的铁芯面积固定以后,开关变压器的伏秒容量主要就是由磁通增量 (
)的大小以及开关变压器初级线圈的匝数N1来决定。
另外,我们知道,磁感应强度是由磁场强度来决定的,即磁通增量,也是由磁场强度来决定的。如图3所示。
图3中,虚线B为开关变压器铁芯的初始磁化曲线,所谓的初始磁化曲线就是开关变压器铁芯还没有带磁,第一次使用时的磁化曲线,一旦开关变压器铁芯带上磁后,初始磁化曲线就不复存在了。因此,在开关变压器中,开关变压器铁芯的磁化一般都不是按初始磁化曲线来进行工作的,而是按照一条所谓的“磁滞回线”进行的。
例如,当磁场强度增加时,磁感应强度将沿着磁化曲线ab或cd跟随磁场强度的增加而增加;而当磁场强度减小时,磁感应强度将沿着另一条磁化曲线ba或dc跟随磁场强度的减小而减小。因此,我们把磁化曲线ab、ba或cd、dc称为磁滞回线。至于磁滞回线是沿着ab、ba进行,还是沿着另一条磁滞回线cd、dc进行,主要取决于磁场强度的变化幅度。
当磁场强度增加时,相当于磁场强度对开关变压器铁芯进行充磁;当磁场强度减少时,相当于磁场强度对开关变压器铁芯进行退磁。磁场强度变化幅度越大,对应的磁感应强度增量也增加,与此同时剩磁也会增加。
[page]
磁场强度由0增加到H1,对应的磁感应强度由Br1沿着磁化曲线ab增加到Bm1;而当磁场强度由H1下降到0时,对应的磁感应强度将由Bm1沿着磁化曲线ba下降到Br1 。如果不考虑磁通的方向,磁通的变化增量就是,即磁通增量
。如果磁场强度进一步增大,由0增加到H2,则磁滞回线将沿着曲线cd、dc进行,对应产生的磁通增量
。

由图3中可以看出,对应不同的磁场强度变化量,即不同的励磁电流变化量,磁感应强度变化量或磁通变化量也是不一样的;因为,磁感应强度变化量或磁通变化量与磁场强度变化量并不是线性关系。
图4是磁感应强度与磁场强度对应变化的函数曲线图。图4中,曲线B是磁感应强度与磁场强度对应变化的曲线;曲线 为导磁率与磁场强度对应变化的曲线。其中:
(6)
由图4中可以看出,与导磁率最大的地方对应的并不是磁感应强度或磁场强度最小或最大的地方,而是位于磁感应强度或磁场强度变曲线某个中间值的地方。当导磁率达到最大值之后,导磁率将随着磁感应强度或磁场强度增大,而迅速下降;当导磁率下降到将要接近0的时候,我们就认为开关变压器铁芯已经开始饱和,如图中Bs和Hs.

[page]
由于导磁率的变化范围太大,且容易饱和,因此,一般开关电源使用的开关变压器都要在开关变压器铁芯中间留气隙。
图5是分析及计算开关变压器铁芯最佳气隙长度的原理图,图5-a) 是中间留有气隙开关变压器铁芯的示意图,图5-b) 是中间留有气隙的开关变压器铁芯的磁化曲线图,及计算开关变压器铁芯最佳气隙长度的原理图。

在图5-b) 中,虚线是没留有气隙开关变压器铁芯的磁化曲线,实线是留有气隙开关变压器铁芯的磁化曲线;曲线b是留有气隙开关变压器铁芯的等效磁化曲线,其等效导磁率,即曲线的斜率为 ; 是留有气隙开关变压器铁芯的平均导磁率; 是没留有气隙时开关变压器铁芯的导磁率。
由图5可以看出,开关变压器铁芯的气隙长度留得越大,其平均导磁率就越小,而开关变压器铁芯就不容易饱和;但开关变压器铁芯的平均导磁率越小,开关变压器初、次级线圈之间的漏感就越大。因此,开关变压器铁芯气隙长度的设计是一个比较复杂的计算过程,并且还要根据开关电源的输出功率,以及电压变化范围(占空比变化范围)等因素来综合考虑。不过我们可以通过对开关变压器伏秒容量的测量,同时检查开关变压器铁芯气隙长度留得是否合适。
关于开关变压器铁芯气隙长度的设计,请参考《2-1-14.开关变压器铁芯气隙的选取》有关章节。
顺便说明,图4中表示导磁率的 的曲线也不是一成不变的,它受温度的影响非常大。由于开关变压器磁芯也是一种半导体材料(金属氧化物),很多半导体器件就是用金属氧化物来制造的,如热敏电阻、场效应管等。半导体材料的特性就是受温度的影响很灵敏,当温度上升到一定范围以后,开关变压器磁芯的电阻率就会变小,并开始导电。
因此,当温度升高到一定范围以后,在开关变压器磁芯内部就会产生很大的涡流损耗,并使铁芯有效导磁率急速下降。这个使开关变压器磁芯有效导磁率急速下降的温度点,我们把它称为居里温度点。在实际应用中,我们可以把开关变压器磁芯有效导磁率下降到最大值的70%时的温度,定义为居里温度点。
图6是日本TDK公司高导磁率材料H5C4系列磁芯初始导磁率 随温度变化的曲线图,其居里温度大约为105℃。

由图6可以看出,开关变压器磁芯的使用环境温度,对开关变压器的性能影响是非常大的。但我们在使用开关变压器的时候,就很少有人去考虑或检测开关变压器磁芯的居里温度。目前,一般开关变压器还都大量选用铁氧体磁芯,这种铁氧体磁芯的居里温度一般都在120℃左右,因此,我们对开关变压器进行设计时工作温度最好不要超过110℃。






