桃花源qm花论坛(品茶),凤楼阁论坛官网入口网址,一品楼品凤楼论坛最新动态,风楼阁全国信息2024登录入口

你的位置:首页 > 电源管理 > 正文

一步到位,半导体激光管LD的电源设计

发布时间:2014-01-24 责任编辑:sherryyu

【导读】半导体激光管(LD)和普通二极管采用不同工艺,但电压和电流特性基本相同。在工作点时,小电压变化会导致激光管电流变化较大。此外电流纹波过大也会使得激光器输出不稳定。具体情况如何,请看本文分析。

二极管激光器对它的驱动电源有十分严格的要求;输出的直流电流要高、电流稳定及低纹波系数、高功率因数等。随着激光器的输出功率不断加大,需要高性能大电流的稳流电源来驱动。为了保证半导体激光器正常工作,需要对其驱动电源进行合理设计。并且随着高频、低开关阻抗的MOSFET技术的发展,采用以MOSFET为核心的开关电源出现,开关电源在输出大电流时,纹波过大的问题得到了解决。

1 系统构成

装置输入电压为24V,输出最大电流为20A,根据串联激光管的数量输出不同电压。如果采用交流供电,前端应该采用AC/DC作相应的变换。该装置主要部分为同步DC/DC变换器,其原理图如图1所示。

一步到位,半导体激光管LD的电源设计

Vin为输入电压,VM1、VM2为MOSFET,VM1导通宽度决定输出电压大小,快恢复二极管和VM2共同续流电路,整流管的导通损耗占据最主要的部分,因此它的选择至关重要,试验中选用通态电阻很低的M0SFET。电感、电容组成滤波电路。测量电阻两端电压与给定值比较后,通过脉冲发生器产生相应的脉宽,保持负载电流稳定。VM1关断,快恢复二极管工作,快恢复二极管通态损耗大,VM2接着开通续流,减少系统损耗。

2 工作原理 

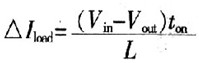
VM1导通ton时,可得:

一步到位,半导体激光管LD的电源设计

电流纹波为:

一步到位,半导体激光管LD的电源设计
 
VM1关断,电流通过VD续流,接着VN2导通。由于VM2的阻抗远小于二极管阻抗,因此通过VM2续流。VMl、VN2触发脉冲如图2所示。图2中td为续流二极管导通时间。

一步到位,半导体激光管LD的电源设计

二极管消耗的功率为P=VtdI0。一般快恢复二极管压降0.4V,当电流20A时,二极管消耗功率为0.8W。如采用MOSFET,则消耗的功率将小很多。本实验采用威世半导体公司的60A的MOSFET,其导通等效电阻为0.0022Ω。当电流为20A时,消耗功率约为0.088W?!?br /> [page]

由电流纹波公式可知,增大电感、减小ton都可以减小纹波。为了不提高电感容量,实验中采用200kHz的工作频率,其中电感选用4.8-μH,根据公式可得激光管压降2V时纹波电流约为1000mA。系统采用了电流负反馈电路,以适应激光二极管的要求。当负载变化,电流略大于给定电流时,减小ton宽度,电压降低。电流略小于给定电流时,增加ton宽度,这样可以维持电流稳定。图3所示为脉冲发生器结构。

一步到位,半导体激光管LD的电源设计

图3中,R1,R2为电压测量电阻,Rc为电流测量电阻。调节R1可以设定最大输出电压。Rc限制最大输出电流。当最大电压或电流其中一个达到给定值,则脉冲宽度最大。这样可以保证负载正常工作。

其仿真结果如图4所示。

一步到位,半导体激光管LD的电源设计

3 实验结果  

实验曲线如图5所示,实验数据为输入电压12V,输出电压2V左右,测量电阻0.0025Ω,最大输出电流20A。
实验中用50A的2个二极管串联作为负载,输入电压12V时,不同电流下输出及效率如表1所示。

一步到位,半导体激光管LD的电源设计

相关阅读:

激光二极管,什么是激光二极管
第一讲:LED驱动电源设计的考虑要素及通用要求
第二讲:基于IGBT的高能效电源设计

要采购开关么,点这里了解一下价格!
特别推荐
技术文章更多>>
技术白皮书下载更多>>
热门搜索
?

关闭

?

关闭