【导读】反激式变换器会用到较多的电感元器件,因此在讨论设计之前先简单地介绍一下磁性元器件的基本知识,接着将讨论离线式反激变换器的电路元件参数选取和变压器设计,由于内容较多,变压器的设计下期将为大家详细讲解。
在学习了前两章作者独创的反激式开关电源设计方法及参数计算以后,不知道对大家有没有帮助呢?下面我们就继续跟着作者学习吧!
4.磁芯电感器的基本知识
反激式变换器会用到较多的电感元器件,因此在讨论设计之前我们简单地介绍一下磁性元器件的基本知识。选择电感器时,我们经常提到电感的饱和电流,首先我们看一下什么是电感饱和电流。

图十:环形线圈示意图
如图十所示的环形线圈,假设线圈匝数为N匝,流入电流I,那么根据安培环路定律,以图中r为半径对磁场强度进行积分可得:

不难看出,磁场强度正比于电感电流,反比于磁路长度。又因为磁场强度与磁感应强度B(也可以叫做磁通密度)存在如下关系:

往期回顾:
大牛独创:反激式开关电源设计方法及参数计算
http://www.5r3h.cn/power-art/80021928
大牛独创(二):反激式开关电源设计方法及参数计算
http://www.5r3h.cn/power-art/80021936
[page]
其中μ0和μr分别为空气磁导率和介质磁导率。所以当电流增大时,电感内部的磁场强度增大,如果想对磁导率保持不变的话,磁感应强度也会随之增大。对于开关电源中的电感器件,一般都是带有磁芯材料的,对于一般的磁芯材料,对磁感应强度(磁通密度)的大小有一定的限制,当材料中的磁感应强度随磁场强度增大到一定值后,磁感应强度不再随磁场强度增加而增加,可以看做相对磁导率μr不为常量,我们把此时的情况叫做磁芯饱和。
为了防止磁芯进入饱和,我们必须将磁芯中才磁感应强度限定在一定的范围内,另外,考虑到磁芯的损耗也与磁感应强度的大小成正相关关系,所以又进一步减小了磁感应强度的选取范围。对于通常的铁氧体磁芯,我们一般选择工作的磁感应强度为1600G(即0.16T)。
根据磁通量、磁链的定义以及相关关系,我们有如下公式:

其中φ表示截面积为A的磁芯中的磁通量,ψ表示磁链,N表示线圈匝数。从上面的关系式可以得出:

不难看出,当要求的电感量一定时,减小磁芯中磁感应强度的方法有两种:增加线圈匝数或增大磁芯截面积(即选用更大尺寸的磁芯)。在实际的工程应用中,增加线圈的匝数一方面可能导致磁芯无法容纳所有绕组,另一方面会导致电感的内阻增加,线圈损耗增加,从而不得不增加线径,使得磁芯容纳绕组更加困难。所以在选择磁芯时,需要同时考虑磁芯截面积Ae和磁芯的窗口面积Aw。常见的经验公式中,一般选取Ae和Aw的乘积Ap作为选择磁芯的标准。
5.离线式反激式变换器的系统设计
本节将讨论离线式反激变换器的电路元件参数选取和变压器设计,重点介绍变压器的设计。
5.1保险丝和负温度系数热敏电阻
反激式变换器的输入端通常串联保险丝盒一个标称阻值几欧到几十欧的负温度系数热敏电阻(NTC),保险丝的作用显而易见,在电路出现短路或者过流时,为整个电路提供最后一道保护屏障。负温度系数热敏电阻则在电路启动时起到了减小浪涌电流的作用。当输入端接通电源时,对于没有PFC功能的电路,输入滤波大电容将造成输入端出现大的浪涌电流,接入NTC后,由于启动瞬间NTC温度较低,阻值较大,有效抑制了浪涌电流。随着电源的工作,NTC流过电流发热,阻值减小,NTC造成的线电压损耗也随之降低。
[page]
由于保险丝和热敏电阻都属于阻性元件所以选取时根据有效值电流计算。例如图七所示的电路中,输出5V/2A,预估效率75%,我们首先计算出电源输入端的最大有效值电流:

那么,我们选择保险丝的时候,要求额定电流大于这个值,考虑到浪涌电流对保险丝寿命的影响,我们通常选择额定电流比这个值大数倍的保险丝。另外需要注意的是保险丝的额定电压,如果选择的保险丝额定电压低于电源最高输入电压,可能造成保险丝的两极之间出现拉弧现象。例如图六中选择了1A/250V的保险丝。
对于热敏电阻,我们首先需要了解稳定情况下的阻值,然后根据阻值和最大有效值电流得出电阻上的功耗,最后选取额定功率大于计算值的电阻。对于小功率的开关电源,通常省去了热敏电阻。
5.2共模电感和安规X电容的选取
共模电感和安规X电容一起组成了共模滤波器。在开关电源中,这两者的参数相对变化较小。对于共模滤波器电感,电感量在几mH到几十mH,一般情况下,功率越大时,共模电感的电感量越小。安规X电容恰恰相反,功率越大时,该电容的容量通常越大。安规Y电容的容量一般在100nF到几百nF。
共模电感和安规X电容的具体参数很难通过公式计算,通常应用中,依据经验值大概确定电感量和电容量的大小,然后在测试者对参数调整。共模电感选取的另一个要点是保证输入电流不会导致磁芯的饱和。对于成品化的共模电感,可以提供输入功率等参数进行选购。
5.3输入整流二极管的选择
市电输入一般为50Hz或60Hz的工频信号,输入整流二极管一般为高压PiN二极管,因此二极管的功耗主要是导通损耗。导通损耗等于二极管的正向压降与正向平均电流的乘积,对于交流正弦输入和全桥整流的应用,平均二极管电流等于有效值电流乘以正弦因子,计算公式如下:

所以理论上计算得到所需的二极管最大整流电流只需大于75mA。但是考虑到额定电流更大的二极管发热更低,并且在大的输入滤波电容作用下,流过整流二极管的电流波形为尖脉冲,为了增加二极管的寿命和可靠性,通常选择额定电流远大于计算所得到的最大平均电流。整流二极管的另一个重要参数是最大反向工作电压,桥式整流中,二极管承受的最大反向电压即市电输入最高电压。在实际应用中,为了安全起见,一般选择最大方向工作电压为市电最高输入电压2倍的二极管。图七所示的电路中选取了1A/600V的整流桥。
[page]
5.4输入滤波电容的选取
输入滤波电容使整流后的半正弦信号变为相对平坦的直流电,电容量的大小决定了直流的平坦度。假设充放电阶段电容上的电压都是线性变化的,我们可以得到图九所示的波形。一个周期内,在AB段,市电通过整流二极管向电容充电,电容上的电压上升,在BC段,电容向后级负载放电,电容上的电压下降。电容上的电压周期性地波动,周期为工频周期的一半。

图九:电容上的直流电压波形
输入滤波电容上的电压即变换器的输入电压,为了较为准确地得到变换器输入直流电压的范围,我们需要计算电容上电压的波动值。我们假设一个周期内电容的充电时间为Tch,并且规定充电时间占周期时长的百分比Dch,根据经验,Dch一般取0.2到0.3,我们得到如下的计算过程:
其中,I表示电容后接负载的平均电流,在电容上电压波动不大的情况下,我们通过下式估算:

其中Pin为反激变换器的输入功率,等于输出功率与系统效率的比值。最后我们得到电容上电压波动范围计算式如下:

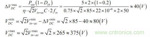
其中fin表示工频频率,50或60Hz,η为系统的效率。从上面的计算可以看出,变换器输入直流电压的波动正比于输入功率,反比于输入电容容量。对于离线式反激式变换器,一般按照每W输出功率2—3μF选取输入滤波电容。在确定输入滤波电容容量后,就可以得到变换器的输入直流电压范围。例如,对于图七所示电路,输入85V—265V交流市电,预估效率为0.75,取Dch=0.2,得到如下计算结果:

变压器是开关电源设计中的难点和重点,因此讲述的内容较多,下期将为大家详细讲解。
相关阅读:
陶显芳老师30年设计经验大分享
——开关电源设计那些事儿
http://www.5r3h.cn/special/181
低EMI、高效的零电压开关反激式开关电源设计
http://www.5r3h.cn/power-art/80021603
经验分享:开关电源的常见故障及维修技巧
http://www.5r3h.cn/power-art/80021622



