反激式开关变压器的漏感一般都比较大,漏感与初级线圈电感之比,大多数都在2~5%之间。漏感的大小主要与变压器初、次级线圈的绕法、铁芯和骨架的结构,以及气隙大小等参数有关,还与磁通密度取值的大小有关,因为磁通密度取得越大,导磁率就会越小,漏感相对也要增大。漏感小于2%或大于15%的开关变压器,其结构一般都比较特殊。
开关变压器初级线圈电感量的大小,主要与开关电源的工作频率有关,还与工作电压和输出功率的大小有关。一般输出功率越大,工作频率就越低,电感量相应也要增大;而工作电压越高,电感量也越大。一般工作频率为30~50kHz,工作电压为AC110V~220V的开关变压器,其初级线圈的电感量大约为:300~1000微亨,漏感大约为:10~100微亨;计算时,可按3~6%的比例来取值进行估算。例如:L=1000uH,则可取 Ls = 30~60uH。
开关变压器初级线圈的电感L和漏感Ls的大小可以用仪表直接测量。测量开关变压器初级线圈漏感的最简单方法是把开关变压器次级线圈两端短路,然后再测量开关变压器初级线圈的电感,即漏感。不过测量时不要选择测试频率太高,因为开关变压器初级线圈的分布电容对测量结果影响很大。
[member]
尖峰脉冲吸收电容器容量的计算
要计算尖峰脉冲吸收电容器容量,首先要计算流过变压器初级线圈电流的最大值。计算流过变压器初级线圈的最大电流Im可根据开关电源的最大输入功率Pm来估算。电流Im可根据开关电源的最大输入功率Pm来估算。根据(26)式,当输出功率一定时,输入电压在一定的范围内,流过变压器初级线圈的最大电流Im和输出电压Uo基本是稳定的;变压器初、次级线圈反激输出电压的半波平均值也基本是稳定的,与输入电压的大小无关,但对应不同的输入电压必须对应不同的占空比,参看(41)、(42)式。
当流过开关变压器初级线圈的最大电流确定之后,尖峰脉冲吸收电容器容量以及电容充电时电压增量的数值就可以按(33)~(36)式进行计算。
在实际应用中,电容器C吸收尖峰脉冲电压增量的数值,与开关管的耐压BVm的参数大小有关。假设电源开关管的耐压BVm为650V,如果预留20%的余量,那么,正常工作时,加到开关管D-S极之间的最高脉冲电压
只能达到520Vp。而在520Vp的
电压之中,电容器C吸收尖峰脉冲电压增量
(等于
)这一项是要首先考虑的。假设
等于
电压的20%,即:
=104V,当最高输入电压为360V时(对应交流输入电压为AC253V),根据(39)式可求得:
![]()
假设漏感
与开关变压器初级线圈的电感L的比值K为5%,根据(42)式可求励磁电感产生的反击输出电压
的半波平均值
为:
![]()
大多数反激式开关电源的最大输出功率都在100W一下,因为用于反激式开关电源功率损耗大于10W的电源开关管种类很少,如需要较大的输出功率,一般都选用半桥式或全桥式双激式开关电源。
假设开关电源的最大输出功率为50W,当占空比D = 0.5时,变压器初级线圈的反激输出电压的半波平均值
与输入电压U相等,即,
=U=108V,
=102.6V,而流过变压器初级线圈的最大电流Im等于平均电流的4倍,由此可求得最大输入电流Im = 1.95A ;假设开关变压器初级线圈的电感量L=1000uH,漏感Ls = 50uH。把这些参数代入(34)式,可求得:
![]()
当考虑电阻R对电容器C充电的分流作用,以及开关管由导通到完全关断期间,漏极电流对电容器C充电的分流作用时,根据(36)式,假设分流系数r = 0.5 ,则(52)式还可改写为:

上面(52)和(53)式的计算结果,可作为对RCD尖峰脉冲吸收电路进行试验时,选择电容器容量的上限和下限,最终结果需要通过电路试验来决定。
试验时,以输入电压和输出功率的最大值为条件,然后,由大到小,选择不同容量的电容器做试验,用示波器观测电源开关管D-S两端的电压,直到Uds与最高耐压BVm两者之差能满足余量要求时,为最佳结果。
这里顺便说明一下,为什么(53)式中的分流系数取值为0.5,而不是其它数值。因为,分流系数r的取值范围是0~1,它是一个动态系数,它的大小,除了与输入电压和输出功率和RCD电路中电容、电阻的大小有关外,还与开关管的关断时间,以及电流大小有关系。
尖峰脉冲吸收电阻阻值的计算
纹波电压
的大小与释放电阻R的大小还有关。一旦电容器的容量确定之后,释放电阻R的大小就可以根据(45)~(49)来计算。根据(38)式,电容器两端最高电压为:

根据(46)式,电容器两端最低电压为:
![]()
把(54)和(55)式的结果代入(49)式,即可求出RC的值:

[page]
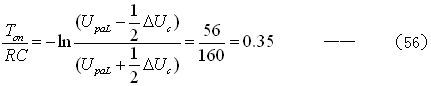
当RC的值与开关管导通时间Ton完全相等时,(46)式的值正好等于0.37,与(56)式的结果非常接近?;蛘叩蔽撇ǖ缪?img alt="" width="29" height="20" src="/editorfiles/20121214153302_3330.jpg" />=100V时,由(56)式计算得到的结果正好等于0.37,两者误差小于4%,因此,可以认为RC的值与开关管导通时间Ton完全相等,以此为条件来计算RC的值。即:
![]()
把由(52)和(53)式求出电容器C的结果,以及根据(25)式求出的Ton值,代入(57)式后即可求出电阻R的值。
由于,当占空比D小于0.5时,流过电感线圈的电流出现断流(平均值),这也会对分流系数产生很大的影响,使计算非常复杂;为了简单,我们在计算开关管的导通时间Ton时,还是以占空比等于0.5为例。
当占空比等于0.5时,对应的输入电压U为108V,对应的最大电流Im为1.95A,假设开关变压器初级线圈的电感量L=1000uH,根据(25)式,可求得Ton的值为:

把(53)、(58)式的计算结果:C = 4395P,Ton = 18uS ,代入(57)式:
![]()
即:计算结果为:C = 4395P ; R = 4096 欧姆。
试验结果表明,(53)和(59)式的计算结果是合理的。当开关变压器初级线圈的漏感为5%时,其反激输出电压的平均功率也为5%(Pa = 2.5W);由于电容器C两端电压的半波平均值为108V,当漏感输出的功率完全被电阻R吸收时,电阻R的最佳值为4.7K,而根据(59)式计算的结果为4096 ?(2.85W),与精确值2.5瓦相差0.35W。这正是把(36)式设为电容器取值范围下限,对应(53)和(59)所求得的结果,即由(59)所求得的结果还是一个保守的结果,但其离精确值已经非常近。由此可知,要提高开关电源工作效率,必须要降低开关变压器的漏感。
当输入电压为最大值(AC260V)的时候,其占空比大约只有0.3左右,因此,电容器充电的时间要比放电的时间长很多;但在电容器还充电期间变压器初级线圈会出现断流,这相当于电容器会提前放电,其结果与占空比等于0.5时的结果基本相同。但做试验时,最好还是以输入电压为最大值时为准。如电阻R的值取得小些,相当于分流系数r降低,这对降低开关管的关断损耗是有好处的,因为,开关变压器漏感储存的磁能量,一部分是通过开关管关断时产生的损耗来释放的,另一部分则是通过RCD回路中的电容充电和电阻分流来进行释放;但电阻的阻值取得太小,又会从励磁电感线圈吸收能量,降低开关电源的工作效率。
在反激式开关电源中,很多人用一个稳压二极管来代替RCD电路中的电阻和电容,用以对开关管进行过压?;ぃ缤?所示。从原理上来说,这种方法对开关管的过压?;な怯行У?,但实践证明,这种?;し椒煽啃院懿?。因为,当开关管关断时,1.95A(以上面计算结果为例)的电流流过150~200V的稳压二极管,其产生的瞬时功率高达290~390W,这么大的瞬时功率很容易使稳压二极管局部损伤,当损伤程度达到某个临界点后,就会产生热击穿,造成稳压二极管永久失效。

图8
另外,当稳压二极管还没击穿之前,它不会对开关管分流,从而大大增大开关管的关断损耗;并且,流过稳压二极管的电流还产生很大的电流突跳,很容易产生高频电磁辐射。因此,对开关管进行过压?;?,在安全及EMC技术性能方面,选用RC要远远优于选用稳压二极管。




