- 电路的延时电路
- 电路的振荡器频率
- 电路的补偿网络与反馈
- 电路的驱动与整流
- 电路的过流与过压?;?/strong>
随着电源技术的不断发展和成熟,开关电源作为一种体积小、重量轻、高频、高效率的电力变换装置,被广泛用于各个领域。雷达显示器作为雷达系统的“眼睛”要求起其具有高可靠性,而其电源的可靠性则要求更高。
下面是某型雷达显示器对高压电源的技术要求:
(1)输入电压:400 Hz/220 V±10%
(2)输出电压:+4 500 V?。? 600 V
(3)输出电流:+4 500 V/1 mA-1 600V/1mA
(4)负载稳定度:≤10-3
(5)电压稳定度:≤5×10-3
(6)输出电压纹波:≤1×10-3
(7)MTBF:≥5 000 h
(8)延时时间:≥20 s
1 概 述
为了达到上述要求,本变换器采用了双端输出式脉冲宽度调制器SG1524,他的功能较全、使用灵活、价格便宜。
整个电路由图1所示的几个部分组成,输入电压经过全桥整流滤波后送给VICOR???VI-J63CZ)进行DC/DC 变换,输出为直流24 V电压,再经78LM15稳压到15 V后直接为SG1524供电。SG1524的11脚输出脉冲经V11放大T1隔离后,再经V21功率放大,脉 冲变压器升压后再经整流滤波输出高压。

2 电路设计
(1)延时电路
由于显示器示波管的灯丝需要20 s的预热时间,故需设置一个延时电路,以延缓给示波管阳极上加高压,由于SG1524内部设置了一个完全独立控制关闭的电路,通过控制其10端的电位即可控制整个脉宽调制器的输出。如图2所示。

加电→R32,R33分压→经R2给C2充电→V5导通→SG1524的10脚电位降低→SG1524工作,输出脉冲。
[page]
(2)振荡器频率
SG1524的振荡器频率fosc由外接元件R6,R4决定,即fosc=1/R6C4,式中R6的单位为Ω,C4的单位为μF,电容C4的充电电流I=3.6 V/RT,电容C4的容量大小直接影响振荡器的输出脉冲宽度,故C4不能取得太小,若振荡器的输出脉冲宽度小于0.5μs,则不能保证每一个脉冲都能触发翻转,为了保证触发器工作可靠,C4的容量一般在0.001μF~0.1。
(3)补偿网络
管脚9为补偿端,此处接上P-C补偿网 络给电路引入一个0点来抵消电路输出滤波器中的极点,从而消除掉电路寄生振荡。此处R-C补偿网络采用56 kΩ的电位器和0.001μF电容组成。
(4)反馈
SG1524的基准电源Vref(5 V)通过电阻R7,R5分压,分出。1/2 Vref=25 V加于误差放大器EA的同相输入端脚2。
高压经R30,R31分压滤波送至场效应管V17,经V17电压放大后,再经射随器输出,送至SG1524的1端。假设电源电压降低或负载电阻变小引起输出电压降低时,则反馈到SG1524内的误差放大器反相输入端1的电压将减小,误差放大器输出电压将增加,从而使加到脉宽调制比较器反相输入端电压增大,输出晶体管的导通时间变大,故功率晶体管导通时间也变长,占空比Q变大,从而使输出电压Vo能回到原来的稳定值。反馈电路如图3所示。
(5)驱动与整流
经过T1的隔离,通过调整电阻R13使输入V21的脉冲宽度变化从而达到调压的目的。其中加速电容C5、电阻R13按V21的稳态驱动电流确定。
驱动与整流电路如图4所示。

能量回授线圈(消磁线圈)将变压器多余的能量通过整流二极管V24(2CK29)回授到电源中去可提高效率。由于晶体管V21关断过程是开关管最易损坏的时间,因此采取的措施为在晶体管关断,集电极电压上升的同时,需较快的减少集电极电流。
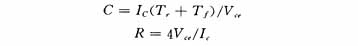
图4中使用RC缓冲器接在晶体管的CE两端时,在关断晶体管时以减少晶体管集电极电流,其工作原理是当晶体管关断时,电容C10通过二极管V22被充电到Vc-1.4,这样集电极电流有了分路,集电极电流能较快地减少。当晶体管V21导通时,C10通过电阻R23和晶体管V21放电。对于参数的选择可按经验公式求得:
其中:Ic为最大的集电极电流(A);Vce为最大的集电极-发射极电压(V);Tf为最大的集电极电压上升时间(μs);Tr为最大的集电极电流下降时间(μs);
注:计算的电阻值,必须限制放电电流Idis(Idis=Ic×1/4)。
(6)过流与过压保护
当负载过流时,经脉冲变压器次级耦合,其初级也过流,流过R24的压降增大,光耦PHT导通,SG1524的10脚电压被抬高,SG1524关闭,无输出电压,从而?;さ缭?。
当负载过压时,反馈到SG1524的1脚电压流经发光二极管V6,使SG1524的10脚电压被抬高,SG1524关闭,无输出电压,从而保护电源。
3 结 语
随着这种电源应用量的不断增加,证明其具有较高的工作效率和良好的可靠性,完全满足雷达系统对各分机设计要求。





