中心议题:
- 电流型电火花加工电源的工作过程分析
- 电流型电火花加工电源的谐波电感和工作频率确定
本文分析了电流型电火花加工电源工作频率和所带电子负载开关频率的配合问题,详细推导了在满足精度加工条件下,滤波电感和电源工作频率要满足的约束关系。最后具体确定了开关频率和电感值。
1 引言
电流型电火花加工电源后级为一电子负载,它在工作时对前级变换器的输出电流进行连续不断的斩波,在整个负载范围内(即对应不同的消电离时间和脉冲宽度组合),可以看作是频率可以调节的电子负载,后级的斩波频率为250kHz(对应消电离时间和脉冲宽度均为2μs)至1.56kHz(对应于消电离时间480μs和脉冲宽度160μs),负载工作频段极宽,而前级交错并联双管正激变换器的频率是固定不变的,针对这一情况,自然要提出几点质疑:
1)前后级工作频率配合上是否合理;
2)前级变换器能否即时对后级电子负载进行能量补充,即前级是否具有足够快的响应速度;
3)针对前级变换器所带的这种电子负载,应该如何对其主要参数进行设计。
为了解决这些问题,有必要从前后级的工作原理特点入手深入研究。
2 工作过程分析
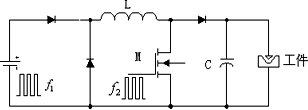
图1为前、后级变换器的主电路图。其中电容C的值很小,它的作用是高压引弧放电。具体工作过程是这样的:当开关S关断时,由于工件还处于开路状态,所以电感L中的大电流给C充电,致使工件两端电压线性急剧上升,直至高压击穿正常放电,此后,电流流经工件进行加工,一直延续到S开通时结束。假设前级变换器的开关频率为f1,后级电子负载开关S的开关频率为f2,那么f1和f2有以下4种情况。

图1 前后级等效电路
1)f1》f2,即前级的工作频率远高于后级,这种情况对应于后级大脉宽切割。其前后级的主要工作波形如图2所示。

图2 f1》f2时的主要工作波形
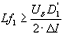
在t0时刻以前,S管开通,前级输出短路,理想情况下,变压器副边输出极窄的方波(Uo),当t0时刻S关断时,电流iL经S换流至二极管D,给负载输出电流。由于t0之前,前级变换器的占空比极小,突加负载后,由储能电感给负载提供部分电流,随着时间的延长,iL减小,受电流环的控制,前级变换器占空比增加,使iL回升至原值,故iL有一个波动过程。另外,如果电流环设计没有达到最优时,那么电流在调节过程中的超调量将很大,调节时间很长,致使加工电流不稳定,影响加工效率和精度。但从S的一个开关周期看来,由于f1》f2,S的一个周期中,前级变换器将要经历多个周期,即当S关断时,前级变换器有足够多的周期可以调节iL,使得iL稳定。假设iL的允许波动范围为ILmin~ILmax,并假设f1在S关断后经过n个周期,进入稳定状态,从能量的角度来看,即要保证在这n个周期中,当前级变换器无输出时,电感的储能要满足负载能量需求,这可用式(1)表示。

则上式可以简化为
![]()
从式(2)可以看出,要满足稳定加工,Lf1乘积必须满足一定的约束条件。
[page]
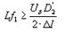
2)f1《f2,即前级工作频率远低于后级工作频率,对应于后级小脉宽切割。这一情况恰好与前一种情况相反,即前级变换器在一个周期内,后级变换器已经经历了f2/f1个周期,如图3所示,在0时刻,前级变换器输出能量,电感储能,假设负载也在此时同时放电切割,由于变压器输出能量大于负载吸收能量,故电感电流上升,在t1时刻开通S,前级输出短路,零功率输出,电感电流继续上升储能,到t2时刻关断S,负载又开始放电,重复上述过程,直到tn时刻,变压器无输出,电感开始释放能量向负载供电,在前级变换器开始下一周期之前,负载吸收的能量全部来自储能电感。通过分析可以看到,当后级负载经历f2/f1个周期时,前级变换器仅为一个周期,在这个过程中,前级变换器对负载的突变是无法调整的,这种情况下,前级占空比的大小由负载的平均功率决定,不受负载突变的影响,换句话说,只要负载特性不变,则前级占空比恒定。为保证前级有足够能量供给负载,必须在一个周期(T1=1/f1)内都能满足式(3)要求。
![]()
式中:D′2=1-D2,D2为S的占空比。
则有:
![]()

图3 f1《f2时的主要工作波形
若不满足式(4),则输出电流iL的波动将变大,影响加工效率和精度。从式(4)中可以看出,Lf1的取值与D′2也有关系。
3)f1=f2,适当的消电离宽度和脉宽组合能够使得前后级变换器的频率相等。由于前后级工作时钟的任意性,考虑到最恶劣情况,假设在前级续流时,后级S关断,放电加工。波形如图4所示。和以上分析方法相同,保证后级在一个周期内所需的能量全部由电感储能提供,如果电感储能过少,将导致前级输出电流下降较大,使之在下一工作周期中调节占空比,直至占空比增加到一个适当值,这样,输出电流波动大,对加工精度不利,因此,要求储能电感要满足式(5)能量约束关系。
![]()
即:
![]()
图4 f1=f2时的主要工作波形
4)f2与f1接近
(1)f1>f2 类似于f1》f2,不同之处在于前级占空比频繁调节,电流波动大,加工效率和精度差。
(2)f1<f2 类似于f1《f2,加工情况同(1)。
对于f2与f1接近,但f1≠f2的情况,在能量关系上也必须满足以上分析结果。
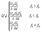
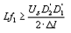
综上所述,为使得级变换器输出电流平稳,并且能够及时对负载进行能量补充,则对Lf1乘积有一定要求,即Lf1要满足不等式(7)。

为求出Lf1的确切值,必须对上述约束关系中的各个参数进行代换。这里取平均值Uδ=25V;D′1=1-D1,在0~1之间变化,故取D′1max≈1;,取ΔI=0.02IL=0.02×20=0.4A;D′2=1-D2,由于在实际应用中,一般要求消电离时间≥脉冲宽度,故取0.5≤D2<1,即0<D′2≤0.5,这里取D′2max=0.5。将上述各参数代入约束关系可得式(8)
(Lf2)min≥31.25(8)
理论上,Lf1的值取无穷大最好。在满足式(8)的条件下,f1减小,则L增大,即当降低前级变换器的工作频率时,就要求加大滤波电感的电感量,这会导致电源体积变大;相反,f1越高,L可以越小,即可以通过提高电源工作频率来减小储能电感的电感量,达到减小电源体积的目的。但是,在实际应用中,f1不可能无限制增大,因为当f1很大时,电源寄生参数的影响明显增大,开关损耗也加大。因此,这就要求对L和f1的选取进行折衷,取一最优值,并且当f1足够大时,应采用软开关技术。这里不妨取f1=200kHz,对应于交错并联双管正激变换器各路频率为100kHz,此时可以计算出滤波电感L=156μH,取L=160μH。
3 结语
通过以上分析可知,在电流型电火花加工电源中,由于其负载是一个开关型负载,所以滤波电感和电源开关工作频率的设计不同于以往阻性或感性负载的情况,其电感量和开关频率的乘积必须满足一定的约束条件。在满足约束条件的情况下,适当提高电源工作频率,可以减小滤波电感,从而达到减小电源整机重量和体积的目的。同时,当电源频率较高时,从提高电源效率角度考虑,建议采用软开关技术。





