中心议题:
- MOSFET的设计方法
- 顶部MOSFET损耗
- 同步整流器设计
随着个人计算机行业向着工作电流为200A的1V核心电压推进,为了满足那些需求,并为该市场提供量身定制新型器件所需要的方法,半导体行业正遭受着巨大的压力。过去,MOSFET设计工程师只要逐渐完善其性能就能满足市场的需求并通?;竦寐獾慕峁?。
现在,他们面临的要求根本背离被动响应或主动前摄的设计方法,这种方法本来应该让他们能够提供更大的电流、更高的效率和更小的占位面积以满足日益增长的需求,从而应对分配给DC-DC转换器越来越小的体积资源所带来的挑战。为此,本文在此提出一种具有外科手术式精度的设计方法,来针对该市场的需求设计MOSFET。这种根本的变革被证明是正当的,因为市场之大,足以证明所需要的花费是正当的,并且能够提供非常满足市场需求的解决方案。
MOSFET设计方法
同步升压转换器是个人电脑行业为DC-DC转换器所选择的拓扑结构,并且被广泛地用于电信其它市场。我们在本文中将仅仅考虑这种拓扑,但是同一方法也可能适用于其它的拓扑。我们将尝试根据两个因素推导计算最优化MOSFET裸片面积的方程。

图1:升压转换器。
1. 它在电路中的作用是功率开关MOSFET或同步整流器;
2. 与这种特殊的MOSFET相关的总的损耗。
选择总损耗作为确定因素的直接原因是业界需要更高的效率和更低的损耗。裸片面积经过最优化的MOSFET,当被用于其目标应用—即开关MOSFET或同步整流器—时,可以提供最少的损耗。显然,这样的方程取决于用于制造器件的特殊工艺及利用该工艺进行的特殊器件设计。
通过把器件面积与物理应用参数联系起来,我们可以考察这些参数对器件的不同影响,并且在最佳情况下,我们能够根据应用需求精密设计一种器件,或换言之,一种针对特殊应用的MOSFET。这种方法使功率半导体行业能够每一次都生产满足要求的功率器件,并消除设计过程中的推测工作,从而使开发周期更短且费用更低。
为了简化导出的方程,我们把损耗的计算限制为两种起支配作用的损耗源:
1. 传导损耗;
2. 动态或开关损耗。
一直以来,人们忽略了门极到源极之间以及漏极到源极之间电容的充放电。在给定的300KHz开关频率和12V输入电压的条件下,这两种损耗源在整个器件的损耗中占很小的百分比。另一方面,通过引入这两种损耗源,确实使利用Maple软件的数学推导过程更为复杂,它使所导出的方程过于复杂,难以利用它来研究应用参数对器件面积的影响。
顶部MOSFET损耗
让我们考虑开关MOSFET中的这两种来源的损耗:第一种是传导损耗或欧姆损耗,第二种是动态损耗。传导损耗是简单的I2R x 占空周期损耗,而动态损耗或开关损耗是由MOSFET打开或关闭过程中因漏极到源极之间的电压及流过它的电流有限所致。损耗可能由下式计算:
(1)
其中:tr和tf =上升和下降时间;Vin =输入电压;ILoad =负载电流;Fs =开关频率;RDS(ON) = MOSFET导通电阻;ΔPWM = 占空周期;Rpackage =封装阻抗;
[page]
为了计算tr和tf,我们需要作出下列假设:
tr ≈ tf
对于开关,仅仅考虑门极到漏极的电荷成分Qgd,因为门极电荷Qg在开关中不发挥任何作用。

其中:Qgd = 门或漏极电荷;Kd = 常数;Id = 在门阀值上的门驱动电流;A = 裸片面积;
替换(1),我们得到:
(2)
取(2)—裸片面积A—的一阶导数,我们得到:
(3)
取二阶导数,我们得到:
(4)
方程(4)为正,表示为A求解(3)将产生一个函数的最小值。求解A,我们得到函数Pdissipation的最小值:
(5)
而最优化裸片面积可能由下式计算:
(6)
用Vout/Vin替换ΔPWM,而VDrive/Rg替换ID,我们得到:
(7)
因为VoutILoad = 输出功率 = Pout
(8)
注意:Aoptimum直接正比于√Pout而反比于Vin
同步整流器
利用相同的处理,我们可以导出针对同步整流器的方程:
(9)
类似地,做优化裸片面积可由下式表示:
(10)
[page]
我们以顶部MOSFET为例,下图2所示为在不同输入电压时最优化裸片面积和负载电流之间的关系。仔细地考察发现,当输入电压从19V变到5V时,裸片面积增加。

图2:最优化裸片面积是顶部MOSFET在不同输入电压条件下负载电流的函数。
这是因为在5V电压时占空比会增加,而我们需要较小的RDSON,因此,获得较大的裸片面积以减小传导损耗。因为开关电压越小,开关损耗也成比例地越小,因此,我们我们能够容忍存在某种程度上较大的Qgd和较大的裸片面积。
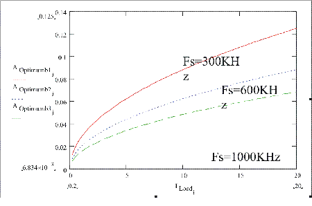
如下图3所示,是在不同输入电压的情况下最优化裸片面积和开关频率之间的关系。显然,在动态损耗和传导损耗之间我们需要采取不同的混合,并且在高开关频率下动态或开关损耗其支配作用,因此,迫使把裸片面积做得非常小。

图3:最优化裸片面积是顶部MOSFET在不同输入电压条件下开关频率的函数。
这些依赖性在某种程度上不同于我们考虑同步整流器的时候,因为跨越它的电压是单只二极管的压降,无论是体二极管或是肖特基二极管,在此,动态损耗比顶部MOSFET要小得多。
这意味着传导损耗在这种情况下占支配地位,在此,即使以较大的Qgd为代价,也需要较大的裸片面积和相关的小RDSON值。如图4所示,最优化裸片面积是顶部MOSFET在不同输入电压条件下负载电流的函数。尽管开关损耗在整个损耗图中发挥的作用较小,在此,仍然要以牺牲RDSON指标为代价,进一步减小裸片面积来实现更低的Qgd。

图4:在同步整流器MOSFET不同开关频率上的最优化裸片面积是负载电流的函数。
[page]
如图5所示,功耗是裸片面积的函数,周围是针对输入电压为5到12V的顶部MOSFET的最合适值。这清楚地表面,损耗高度依赖于裸片面积以及如果裸片面积增加或减少时这些损耗所增加或减小的剧烈程度。

图5:功耗是顶部MOSFET裸片面积的函数。
显然,我的观点是:这些方程从为任务指定最优化MOSFET的任务中获得推断,并让我们把工作重心放在开发满足未来几年需求的新的制造工艺的任务之上。
本文小结
我们在此已经介绍了专门针对给定应用而设计的MOSFET的概念。为了让MOSFET设计工程师把精力集中在需求快速增长的个人电脑市场,有必要针对特定的器件给出范例。尽管对RDSON和Qgd两个前沿课题有待做进一步完善,但是,仍然需要针对特定应用来设计MOSFET器件。
在MOSFET参数和应用之间的闭环链路要根据需要来使用。我们在上面已经示出:这样的一个链路可以由损耗方程中导出,因为它们由MOSFET的参数来修正。
在顶部和同步整流器MOSFET之间,前者是对设计更为重要的器件。这是因为要对RDSON和Qgd两者进行优化,以获得最优化的性能;而同步整流器则居于其次。
上述方程根据一组特定的固定参数清楚地确定了最优化的裸片面积。实际上,有必要被扩展到包含一定范围内的工作条件,如频率、负载电流、输入电压和门驱动条件。幸运的是,在个人电脑市场,输入电压和每相的电流被保持在相当窄的范围内。这就使开关频率和门驱动器成为唯一的两个真实变量。






