中心议题:
- 开关电源漏极钳位保护电路的设计要点及实例
- 开关电源散热器的设计
本文首先阐述开关电源漏极钳位?;さ缏返纳杓埔慵安街?,并给出一种典型钳位?;さ缏返纳杓剖道?;然后对开关电源散热器的设计做深入分析,并从中得出了结论。
0 引言
开关电源漏极钳位?;さ缏返淖饔檬堑惫β士毓埽∕OSFET)关断时,对由高频变压器漏感所形成的尖峰电压进行钳位和吸收,以防止MOSFET因过电压而损坏。散热器的作用则是将单片开关电源内部产生的热量及时散发掉,避免因散热不良导致管芯温度超过最高结温,使开关电源无法正常工作,甚至损坏芯片。
下面分别阐述漏极钳位保护电路和散热器的设计要点、设计方法及注意事项。
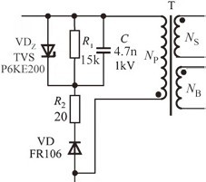
1 设计开关电源漏极钳位?;さ缏返囊慵笆道?br />
下面以最典型的一种漏极钳位?;さ缏肺?,详细阐述其设计要点及设计实例。
1)设计实例
采用由瞬态电压抑制器TVS(P6KE200,亦称钳位二极管)、阻容吸收元件(钳位电容C和钳位电阻R 1)、阻尼电阻(R 2)和阻塞二极管(快恢复二极管FR106)构成的VDZ、R、C、VD型漏极钳位保护电路,如图1所示。选择TOPswitch-HX系列TOP258P芯片,开关频率f=132kHz,u=85~265V,两路输出分别为UO1(+12V、2A)、UO2(+5V、2.2A)。P O=35W,漏极峰值电流I P=I LIMIT=1.65A.实测高频变压器的一次侧漏感L 0=20μH。

图1 最典型的一种漏极钳位保护电路
2)设计要点及步骤
(1)选择钳位二极管。
采用P6KE200型瞬态电压抑制器(TVS),钳位电压UB=200V。
(2)确定钳位电压的最大值UQ(max)。
令一次侧感应电压(亦称二次侧反射电压)为UOR ,要求:
1.5U OR≤U Q(max)≤200V
实际可取U Q(max)=U B=200V.
(3)计算最大允许漏极电压U D(max)
为安全起见,U D ( max)至少应比漏-源极击穿电压7 00V留出5 0V的余量。这其中还考虑到P6KE200具有0.108%/℃的温度系数,当环境温度T A=25℃时,U B=200V;当T A=100℃时,UB=200V×[(1+0.108)%/℃]×100℃=221.6V,可升高21.6V。
![]()
(4)计算钳位电路的纹波电压。
URI=0.1U Q(max)=0.1U B=0.1×200V=20V
[page]
(5)确定钳位电压的最小值U Q(min)
UQ(min) =UQ(max) -URI=U B-0.1U B=90%U B=180V
(6)计算钳位电路的平均电压。

(7)计算在一次侧漏感上存储的能量E L0

(8)计算被钳位电路吸收的能量EQ
当1.5W≤P O≤50W时,E Q=0.8E L0=0.8×27.2μJ=21.8μJ
注意:当P O>50W时,E Q=E L0=27.2μJ.当P O<1.5W时,不要求使用钳位电路。
(9)计算钳位电阻R1

式中,U Q的量纲为[L]2[M][T]-3[I] -1 ,f的量纲为[T] -1 ,R 1的量纲为[L]2[M] [T]-3[I]-2
(10)计算钳位电容C

式中,E Q的量纲为[L]2[M][T] -2 ,U Q的量纲为[L]2[M][T] -3 [I] -1 ,C 的量纲为[L][M]2[T] -3[I] -2
(11)选择钳位电容和钳位电阻。
令由R1、C确定的时间常数为τ:

将U Q(max) =U B、U Q(min) =90%U B、
=0.95UB和f=132kHz一并代入上式,化简后得到:
τ=R1C =9.47/f=9.47T (μs)
这表明R 1、C 的时间常数与开关周期有关,在数值上它就等于开关周期的9.47倍。当f=132kHz时,开关周期T =7.5μs,τ=9.47×7.5μs=71.0μs.
实取钳位电阻R1=1 5 kΩ,钳位电容C =4.7nF.此时τ=70.5μs.
当钳位?;さ缏饭ぷ魇?,R 1上的功耗为:

考虑到钳位保护电路仅在功率开关管关断所对应的半个周期内工作,R 1的实际功耗大约为1.2W(假定占空比为50%),因此可选用额定功率为2W的电阻。
令一次侧直流高压为U I(max)。钳位电容的耐压值U C>1.5U Q(max) +U I(max)=1.5×200V+265V×=674V.实际耐压值取1kV.
[page]
(12)选择阻塞二极管VD
要求反向耐压U BR≥1.5U Q(max) =300V
采用快恢复二极管FR106(1A/800V,正向峰值电流可达30A)。要求其正向峰值电流远大于IP(这里为30A>1.65A)。
说明:这里采用快恢复二极管而不使用超快恢复二极管,目的是配合阻尼电阻R 2,将部分漏感能量传输到二次侧,以提高电源效率。
(13)计算阻尼电阻R 2.
有时为了提高开关电源的效率,还在阻塞二极管上面串联一只低阻值的阻尼电阻R 2.在R 2与漏极分布电容的共同作用下,可使漏感所产生尖峰电压的起始部分保留下来并产生衰减振荡,而不被RC电路吸收掉。通常将这种衰减振荡的电压称作振铃电压,由于振铃电压就叠加在感应电压U OR上,因此可被高频变压器传输到二次侧。
阻尼电阻应满足以下条件:

即:

实取20Ω/2W的电阻。
2 开关电源散热器的设计要点
下面对开关电源散热器的设计要点作进一步分析。以TOPSwitch-GX(TOP242~TOP250)系列单片开关电源为例,当MOSFET导通时漏-源极导通电流(I DS(ON) )与漏-源极导通电压(U DS(ON) )的归一化曲线如图2所示。

图2 当MOSFET导通时漏-源极导通电流I DS(ON)与漏-源极导通电压U DS(ON)的归一化曲线
说明:
(1)定义R DS(ON) =U D(ON) /I DS(ON) 。
(2)图2是以TOP249Y为参考,此时k=1.00.
(3)求漏-源极导通电流时应乘以k,求漏-源极通态电阻时应除以k.
[page]
(4)k值所代表的就是TOPSwitch-GX系列中不同型号芯片的通态电阻比值,它也是极限电流比值。例如TOP249Y的R DS(ON) =2.15Ω(典型值),TOP250Y的R DS(ON) =1.85Ω(典型值),2.15Ω/1.85Ω=1.162,而对TOP250Y而言,比例系数k=1.17,二者基本相符。TOP249Y、TOP250Y的I LIMIT分别为5.40A、6.30A(典型值),6.30A/5.40A=1.167≈1.17.
(5)在相同的输出功率下I DS(ON)可视为恒定值,而芯片的功耗随所选TOPSwitch-GX型号的增大而减小,随型号的减小而增大。因此选择较大的型号TOP250Y,其功耗要比TOP249Y更低。
当MOSFET关断时漏极功耗P D与漏-源极关断电压U DS(OFF)的归一化曲线如图3所示。

图3 当MOSFET关断时漏极功耗PD与漏-源极关断电压UDS(OFF)的归一化曲线
说明:因MOSFET在关断损耗时的很?。ㄖ挥屑赴俸镣撸室话憧珊雎圆患?。
设计要求:选择TO-220-7C封装的TOP249Y型单片开关电源集成电路,设计70W(19V、3.6A)通用开关电源。已知TOP249Y的极限结温为150℃,最高工作结温T JM=125℃,最高环境温度T AM=40℃。试确定铝散热器的参数。
设计方法:考虑到最不利的情况,芯片结温T J可按100℃计算。从TOP249Y的数据手册中查到它在T J=100℃时的R DS(ON) =2.15Ω(典型值),极限电流I LIMIT=5.40A(典型值)。由于芯片总是降额使用的,实际可取I DS(ON) =0.8I LIMIT=4.32A.考虑到I DS(ON)在一个开关周期内是近似按照线性规律从零增加到最大值的(参见图2),因此应对其取平均值,即:

分析与结论:
(1)选用TOP250Y可输出更大的功率。若与TOP249Y输出同样的70W功率,因
不变,仅RDS (ON )减小了,故:
![]()
这表明,在同样的输出功率下,TOP250Y的损耗更小。
(2)利用特性曲线可验证设计结果。从图2中的虚线(TJ=100℃)上查出
=2.16A时所对应的UDS(ON)=4.5V.若根据U DS(ON)值计算,则:
![]()
比前面算出的10.0W略低一点。这是由于该特性曲线呈非线性的缘故,致使后者的数值偏低些。
(3)若考虑到还有关断损耗,从图3中可查出PD=510mW=0.51W(UDS(OFF)=600V)。假定占空比为50%,在计算平均功耗时应将关断损耗除以2。因此PD=9.72W+0.51W/2=9.975W,该结果就与10.0W非常接近。
3 结束语
设计漏极钳位?;さ缏返闹饕挝癜ǖ缏费≡?、元器件选择和参数计算。其关键技术是首先根据一次侧漏感上存储的能量E L0,来推算出钳位电路所吸收的能量E Q,进而计算出钳位电容和钳位电阻的参数值。本文所介绍的散热器设计方法是根据开关电源芯片厂家提供的数据手册及原始图表,通过计算芯片的平均功耗来完成设计的。但需注意,在相同的输出功率下(即I DS(ON)不变),选择输出功率较大的开关电源芯片可降低功耗,提高电源效率。





