中心议题:
- 非隔离负电压DC/DC开关电源的工作原理分析
- 非隔离负电压DC/DC开关电源的补偿网络设计
针对现有非隔离负电压DC/DC开关电源在带负载能力以及输出纹波上的不足,本文提出采用Boost开关电源控制芯片LT1935及分立元件实现了图2所示原理的基于峰值电流控制的新型非隔离负电压DC/DC开关电源设计方案,使现在连续电流模式(CCM)下输出电容能始终通过输出电感得到充电。进而有效抑制输出纹波的影响,确保了负电源的高效率工作和带负载能力。实验结果验证了本方案的可行性和有效性。
随着电子技术的飞速发展,现代电子测量装置往往需要负电源为其内部的集成电路芯片与传感器供电。如集成运算放大器、电压比较器、霍尔传感器等。负电源的好坏很大程度上影响电子测量装置运行的性能,严重的话会使测量的数据大大偏离预期。目前,电子测量装置的负电源通常采用抗干扰能力强,效率高的开关电源供电方式。以往的隔离开关电源技术通过变压器实现负电压的输出,但这会增大负电源的体积以及电路的复杂性。而随着越来越多专用集成DC/DC控制芯片的出现,使得电路简单、体积小的非隔离负电压开关电源在电子测量装置中得到了越来越广泛的应用。因此,对非隔离负电压开关电源的研究具有很高的实用价值。
传统的非隔离负电压开关电源的电路拓扑有以下两种,如图1、图2所示。图3是其滤波输出电容的充电电流波形。由图3可见,采用图2结构的可获得输出纹波更小的负电压电源,并且在相同电感峰值电流的情况下其带负载能力更强。由于图2的开关器件要接在电源的负极,这会使得其控制电路会比图1来得复杂,因此在市场也没有实现图2电路结构(类似于线性稳压电源调节芯片7915功能)的负电压开关电源控制芯片。

图1 传统的非隔离负电压开关电源电路结构1

图2 传统的非隔离负电压开关电源电路结构2

图3 两种开关电源滤波电容的充电电流波形[page]
1 工作原理分析
本文设计的非隔离负电压DC/DC开关电源如图4所示,负电源工作在连续电流模式。当电源控制器LT1935内部的功率三极管导通时,直流电源给输出电感L1和输出电容C1充电。当电源控制器LT1935内部的功率三极管关断时,输出电感L1中的电流改由通过肖特基二极管VD1提供的低阻抗回路继续给输出电容C1充电直至下一个周期电源控制器LT1935内部的功率三极管再次导通??杉缛軨1在输出电感L1储存能量和释放能量的过程中均获得充电,从而减小了输出纹波电压。同时,在CCM条件下,输出电流在LT1935内部功率三极管的导通和关断期间均通过输出电感L1,这很大程度上抑制了输出电流的波动,降低了输出纹波电流的影响,进而大大增加系统的带负载能力和效率。
反馈控制回路采用了峰值电流控制。相比传统的电压控制,峰值电流控制一方面能很好的改善电源的动态响应,另一方面还能实现快速的过电流保护,很大程度上提高了系统的可靠性。由于采用了电源控制器LT1935,其内部集成了峰值电路控制电路和斜坡补偿电路,非隔离负电压DC/DC开关电源反馈回路设计即转换为补偿网络设计,进而大大简化了反馈回路的设计。
为防止过高的直流电源对电源控制器的危害,这里使用稳压管VD2和VD3实现过电压保护。

图4 非隔离负电压DC/DC开关电源硬件电路图
2 补偿网络
2.1 非隔离负电压开关电源小信号建模
从本质上来讲,本文介绍的非隔离负电压DC/DC开关电源为非隔离负电压Buck开关电源,其等效功率级电路原理图如图5所示,这里考虑了输出滤波电容的等效串联电阻Resr对系统的影响。

图5 非隔离负电压Buck开关电源等效功率级电路原理图
图6给出图5利用平均电路法建立的非隔离负电压Buck开关电源CCM大信号模型。设Vi为输入电压的稳态值,Vo为输出电压的稳态值,Vpc为受控电压源两端电压的稳态值,Ii为输入电流的稳态值,IL为输出电感电流的稳态值,D为占空比的稳态值。

图6 非隔离负电压Buck开关电源CCM大信号模型[page]
引入上述稳态值对应的小信号扰动![]()

根据等式(5)和等式(6),即可得到图7所示的用理想变压器表示非隔离负电压Buck开关电源的CCM小信号模型。

图7 非隔离负电压Buck开关电源CCM小信号模型
2.2 补偿网络设计
图8为电流连续模式下峰值电流控制(CCMCPM)型非隔离负电压Buck开关电源的系统框图??刂苹仿钒说缌髂诨泛偷缪雇饣妨礁霾糠?。补偿网络属于电压外环,因此设计补偿网络需要先建立包含电流控制内环的小信号模型。

图8 CCM-CPM型非隔离负电压Buck开关电源系统框图
假设系统稳定,且忽略输出电感纹波电压及人工斜坡补偿的影响,则输出电感电流等于控制电流,即:

根据图7所示的非隔离负电压Buck开关电源CCM小信号模型,同时将等式(7)带入化简得,CCM-CPM型非隔离负电压Buck开关电源的动态方程为:
[page]
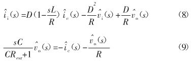
利用等式(8)和等式(9)可以很容易的建立图9所示的CCM-CPM型非隔离负电压Buck开关电源小信号模型。

图9 CCM-PWM型非隔离负电压Buck开关电源小信号模型
考虑到控制电流与控制电压满足:
![]()
式中Rs为电流采样电阻;k为采样电流放大系数。将式(10)带入式(9),得控制电压与输出电压的传递函数Ap(s)为:

分析可知,控制对象Ap (s)为单极点型控制对象,并且受等效串联电阻的影响,其高频特性差,抑制高频噪声的能力弱。
因此根据图10所示的CCM-CPM型电压外环系统框图,所设计的补偿网络不仅要提高系统的稳态特性和响应速度,而且要增强系统的抗干扰能力。

图10 CCM-CPM型电压外环系统框图
图11为实际非隔离负电压DC/DC变换电路补偿网络的硬件电路图。

图11 补偿网络硬件电路图
补偿网络的静态放大倍数与电源控制器反馈引脚相对于其参考地的静态工作电压Vf成正比,这里的静态工作电压Vf满足如下关系式:

注意Vf的值应在适中的范围,当取值太大,会降低系统的信噪比。当取值太小,系统的灵敏度和稳态特性都会下降。
补偿网络的动态特性通过电容C2、C3、C4来补偿。其中电容C2引入超前校正,有效的提高了系统的动态稳定性。电容C3则增大了系统的带宽。而电容C4起到了旁路高频噪声的作用。因此通过合理的选择C2、C4、C4的电容值,可以使系统获得较满意的动态补偿效果。
[page]
3 实验研究
对图4所示的电路进行实验研究,实验电路的主要参数为,输入电压Vi=-24V,输出电压Vo=-15V,输出电感L1=33μH,输出电容C1=10μF,二极管VD1为肖特基二极管1N5819。
由图12所示的输出电压波形可得,利用图4所示的非隔离负电压DC/DC开关电源可以很容易实现负电压的稳定输出。并且反馈回路的静态放大倍数很大,使输出的负电压有很好的稳态特性。

图12 满载时LT1935内部功率三极管集电极电压和输出电压波形示意图
图12给出了满载情况下电源控制器LT1935内部功率三极管集电极输出电压的波形??杉诼厥毕低巢换岵叩姆逯档缌?,电感电流的波动小,即输出纹波电流得到很好的抑制,有利于非隔离负电压DC/DC开关电源的高效率工作和带负载能力。同时系统的开关频率很高,反馈回路的带宽得到了保证。
图13给出了满载情况下输出纹波电压的波形,显然,输出纹波电压的波动小,且无脉动,输出纹波电压得到了很有效的抑制。

图13 满载时输出电压和输出纹波电压波形示意图
4 结论
提出了一种基于峰值电流控制的新型非隔离负电压DC/DC开关电源设计方案。在连续电流模式下,保证输出电容能通过输出电感得到持续充电,使输出纹波得到了有效的抑制,从而达到提高系统带负载能力以及效率的目的。同时结合平均电路法构建该开关电源在CCM条件下的小信号模型,设计了电压外环的补偿网络,增强了系统的整体性能。实验测试表明,本方案简单、合理、可行,具有一定的工程实际意义。




