中心议题:
- 手机无线充电的方案及硬件组成
- 手机无线充电的工作原理及其参数
解决方案:
- 车载无线充电器的感应电动势处理
- 车载无线充电器的整流滤波设计
随着科技的进步以及电子元件成本的降低,手机已成为我们日常生活中必备的通讯工具,与此同时,汽车也在走近我们的生活,呈现平民化的趋势。人们在长途旅行或出差时,万一手机电池耗尽,将对人们的正常工作生活产生很大的影响。现在部分汽车中已经出现了车载的手机充电器,但是由于不同品牌的手机充电接口有很大的区别,所以如果想在汽车上完成充电则必须携带与自己手机相匹配的充电器,并不是十分方便。而且由于车载电源有限,并不能实现多部手机同时充电。根据以上情况,本文提出了车载无线充电器的设想,将电磁感应技术引入手机充电领域,通过电一磁,磁一电转换,实现了手机的无接点充电,其核心技术类似于变压器的无芯化处理。
1 无线充电的思想
1.1 总体方案框图
本文提出了一种车载的用于手机充电的全新方案,??橥技跋低秤布挤直鹞?和图2所示。


1.2 硬件组成
汽车点烟器提供12V Dc-550 rrA电源,利用逆变器将其逆变为市电,将内置感应线圈的基座接逆变器的输出端。因为方形螺旋线罔邻接边的连接部分成90。,存在电流突变。故内置感应线圈采用半径为5∞l的圆形螺旋线圈。
手机接收端由接收器??楹驮只涞绲缏饭钩伞=邮崭杏ο呷?,整流,滤波电路通过PCB技术集成于足够小的???,内置于手机电池中,接收??槭涑鑫?V DC一1A。为手机电池提供电源,从而完成无线充电功能。
2 无线充电工作原理及其参数
2.1 工作原理
无线充电由于充电器和接收器问电流没有直接的联系,线圈电流,电压是通过磁耦合而产生的,其实质是一对互感耦合线圈,线圈中无磁铁物质,其等效电路图如图3所示:

[page]
2.2 感应电动势
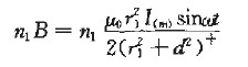
如图4所示,线圈1和线圈2分别位于基座和手机接收模块内,假设给线圈1(匝数为”。)通以I—I……sirl出的电流,则线罔2(匝数为堍)处的磁感应强度可以近似为:

则线圈2的磁通量为:

得出线圈2的感应电动势为:

所以,只需调节两线圈的匝数比便可以在无线传输的同时起到变压作用,得到所需要的手机充电电压。

2.3 整流滤波
由于接收器??橹懈杏ο呷Ω杏Φ降氖墙涣鞯?,为了符合手机充电器的要求,必需还要在接收器??橹屑尤胝骱吐瞬ǖ缏贰?br />
结论
本文利用电磁感应技术进行了手机充电器的无线化研究。使得充电器可以在无电流直接联系的情况下为电池充电。并且可以在汽车内同时为多部手机提供充电服务,既方便又经济,如果应用于浴室等潮湿环境,其安全性能更是显露无遗。所以,无线充电器将拥有广泛的研究和实用价值。




