- ASD主电路结构
- ASD原理及控制策略
- 基于EMTDC/PSCAD仿真与实验
- 采用AC-DC-AC模式
- 基于IGBT的三相电压源逆变
- 采用充电电阻R限制SC的充电电流
利用储能系统抵御电能质量扰动是目前最直接、最可靠的途径,可以考虑的储能设备有蓄电池、超导线圈、飞轮及电容器等。不过短时供电中断及电压暂降的持续时间很短,一般不超过几秒数量级,但是出现的频度较高。而在短时大功率应用方面超级电容的非常明显的优越性。
超级电容也称为电化学电容,它具有优良的脉冲充放电和大容量储能性能,单体的容量目前已经做到万法拉级,是一种介于静电电容器与电池之间的新型储能元件。超级电容最大充放电性能由活性物质表面的离子取向和电荷转移速度控制,因此可在短时间内进行电荷转移,得到很高的放电比功率;同时,由于电极上没有发生决定反应速度与限制电极寿命的活性物质的相应变化,因此它具有很好的循环寿命。因而受到日本、美国、欧盟、俄罗斯等国家的高度重视。
目前,超级电容与各类动力电池配合使用组成的复合电池在电动汽车的领域已经进入实用化阶段[1],日本在电气机车驱动电源、短时UPS等应用方向进行了研究,分别开发出了80kVA和50kVA实验样机。
目前国外对ASDride-through的研究开展得很热烈,一些文献介绍了采用不同DC/DC变换拓扑提取储能元件能量的中、小功率(3~5kW)实验样机的研究情况,但很难实现较大容量。随着超级电容设计技术不断提高及单位容量价格的下降,利用超级电容直接支撑直流母线电压构成超大容量ASD装置已经成为可能。
在能源结构必须调整的背景下,我国的ASD市场极大,特别是高压大容量的变频调速装置,而ASD抵御电能质量扰动领域的研究尚未引起国内研究、生产部门足够的重视,在该领域开展研究有重要的理论及应用意义。
本文提出了一种非常实用、易于大容量化的基于超级电容储能的ASD结构,通过仿真及实验研究验证了所提拓扑结构和控制策略消除电能质量扰动对ASD影响的正确性及有效性。
主电路结构
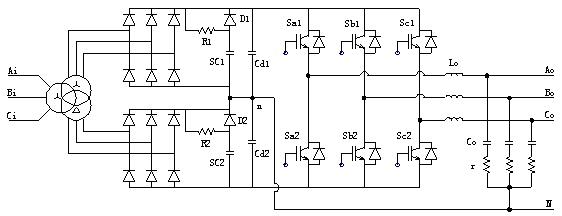
ASD主电路采用如图1所示的AC-DC-AC模式,储能元件直接连接到DC母线上。在系统电压质量低于设定标准时从储能单元汲取电能,再由逆变单元供给电机负荷,以实现ASD逆变部分对电网侧电能质量问题的完全免疫以及对系统故障的零延时响应。

图1.配置超级电容的ASD主电路结构图
图中,SC为超级电容(SuperCapacitor),R为SC充电电阻,D为SC放电二极管,Cd为直流平波电容器,Sa~Sc为IGBT器件,L0及C0为输出滤波器的电感和电容。交流输入侧采用Y/Y/D接线的三绕组输入变压器及两组三相不控整流电路构成12脉波整流系统,注入系统的谐波电流次数为12k±1,数值高,因此在无特殊要求场合,不用考虑设置滤波电路。
另外,两个整流器串联后输出到直流母线,可以提高直流母线电压,使得逆变器可以在较大的电压范围内工作。整流器中点连接到平波电容、超级电容及输出滤波器电路的中点,利用整流电路钳位平波电容,电压可以方便的实现上、下电容均压目的。
由于超级电容容量较大,一般为直流平波电容的几百倍以上(根据储能要求配置),因此若不采取措施,上电时会导致极大涌流,对输入变压器和整流电路安全运行造成威胁。
图1中采用充电电阻R限制SC的充电电流,而平波电容Cd的上电充电电流由输入变压器的漏抗限制。综合考虑短时供电中断及电压暂降发生的频度、充电电阻容量等因素,SC充电回路时间常数一般取十几分钟数量级。充电的SC相当于在直流母线上增加一个负载,而充满电的SC使得直流母线电压非常平稳,设计上可以大大减小平波电容Cd的容量。
原理及控制策略
图1所示的ASD是基于IGBT的三相电压源逆变器,超级电容通过放电二极管连接到直流母线上??仄骷a~Sc构成ASD逆变器,由于设置了储能系统,可以在系统发生供电中断及电压暂降时,短时间内向负荷提供有功功率。
由于不需要检测、计算电能质量扰动、电网电压同步等信号,因此控制策略上比较简单,即只需采样直流母线电压,判断其是否处于逆变器正常运行允许范围内,确定能否向负载提供电源。由DSP控制器自行产生电压指令,底层采用SPWM控制对逆变器开关器件控制信号进行调制。
[page]
储能配置
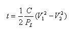
超级电容储存的能量表示为:
式中,C为超级电容的电容值,Vsc为超级电容端电压。其对负荷提供恒定有功功率的持续时间表示为:
(2)式中,PL为超级电容输出的恒定有功功率,V1为超级电容初始端电压,V2为维持正常工作的最低端电压。由式(2)可知,当超级电容释放储能的50%时,其端电压下降到初始电压的70%。因此根据特定负荷(PL)、断电后需要ASD维持供电时间(t)、故障初始时刻直流母线电压(V1)、逆变器正常工作需要的最小直流母线电压(V2)可以唯一确定超级电容的的容量值C。
仿真与实验
我们研制了15kVA如图1所示的配置了超级电容储能的ASD装置,并进行了大量数字仿真及物理实验。仿真基于EMTDC/PSCAD。为了清楚地观察效果,超级电容容量取得较小,为5000mF。图2、图3分别为系统发生短时供电中断ASD运行的仿真、实验结果。

图2.系统发生短时供电中断时,ASD运行的仿真结果
上:系统A相电压(kV);中:负荷A相电压(kV);下:直流母线电压(kV)

图3.系统发生短时供电中断时,ASD运行的实验结果
上:负荷A相电压;下:系统A相电压
可见在系统发生短时断电情况下,ASD仍然能够通过利用超级电容的储能维持逆变器的正常工作,消除了短时供电中断对逆变器的影响,极大提高了供电可靠性。当然,对电压暂降等其他电能质量问题效果是一样的。图4为系统发生电压暂降时ASD运行的实验波形。

图4.系统发生电压暂降时,ASD运行的实验结果
上:负荷A相电压;下:系统A相电压
本文提出了基于超级电容储能的ASD装置抵御电网电能质量扰动的实用方案。ASD采用AC-DC-AC模式,输入侧采用12脉动不控整流结构,一方面减小输入谐波电流,同时可以方便地提高直流母线电压,另一方面,多相整流的双整流器中点直接将上下直流电容电压钳位在整流输出电压,大大简化了中点电位的控制。
超级电容??榻釉谥绷髂赶呱?在系统发生短时供电中断或电压暂降时,由超级电容储能供给负载有功支持。数字仿真及物理实验验证了所提拓扑结构和控制策略消除电能质量扰动对ASD影响的正确性及有效性。





