由于变压器铁芯存在磁矫顽力,当磁场反复对变压器铁芯进行磁化时,总需要额外地有一部分磁场能量被用来克服磁矫顽力和消除剩余磁通,这一部分用来克服磁矫顽力和消除剩余磁通的磁场能量,对于变压器铁芯来说,是不起增强磁通密度作用的,它属于一种损耗;本文用回路曲线模型来分析计量这种损耗。
由于变压器铁芯存在磁矫顽力,当励磁电流产生的磁场对变压器铁芯进行磁化结束以后,磁通密度不能跟随着磁场强度下降到零;即:励磁电流或磁场强度从最大值下降到零,但磁通密度却不是跟随磁场强度下降到零,而是停留在一个被称为“剩磁”的剩余磁通密度Br位置上。
因此,当交流磁场反复对变压器铁芯进行磁化时,总需要额外地有一部分磁场能量被用来克服磁矫顽力和消除剩余磁通,这一部分用来克服磁矫顽力和消除剩余磁通的磁场能量,对于变压器铁芯来说,是不起增强磁通密度作用的,它属于一种损耗;因为磁感应强度的变化总是要落后于磁场强度一个相位,因此把这种损耗称为磁滞损耗。
为了简单,我们用变压器铁芯的理想磁化曲线和等效磁化曲线的概念来对变压器铁芯的磁滞损耗进行分析。
在图2-11中,直线d-o-a是变压器铁芯的理想磁化曲线;当输入电压为交流的时候,磁通密度是从负的最大值- Bm到正的最大值Bm之间来回变化。
当输入第一个交流脉冲的正半周电压的时候,磁通密度将沿着o-a理想磁化曲线上升,并到达a点,对应的磁场强度为Hm,磁通密度为Bm ;当第一个交流脉冲电压输入结束的时候,磁场强度为0,但磁通密度不是沿着原来的理想磁化曲线o-a返回到0,而是沿着另一条新的磁化曲线a-b下降到b点,即剩余磁通密度Br处。
显然磁化曲线a-b是一条新的等效磁化曲线,因为,最大磁通密度增量为Bm,最大磁场强度增量为-Hc与Hm的代数和,等效磁化曲线的斜率等于最大磁通密度增量与最大磁场强度增量之比。

当第一个交流脉冲的正半周电压结束,负半周电压开始的时候,磁通密度将沿着b-c等效磁化曲线继续下降,并到达c点,对应的磁场强度为-Hc,磁通密度为0 ;而后,负半周电压的幅度保持不变,但磁场强度在-Hc的基础上继续向负的方向增大,最后达到负的最大值-Hm,对应的磁通密度则沿着等效磁化曲线c-d从0增大到-Bm。
[page]
当第一个交流脉冲的负半周电压结束的时候,磁场强度为0,但磁通密度并不等于0,而是沿着另一条新的等效磁化曲线d-e下降到e点,即剩余磁通密度-Br处。待输入脉冲的正半周电压到来时,磁通密度再由-Br沿着等效磁化曲线e-f上升到0,然后继续沿着等效磁化曲线f-a上升到达a点,对应的磁场强度为Hm,磁通密度为Bm。
由图2-11可以看出,由多条等效磁化曲线组成的磁滞回路曲线a-b-c-d-e-f-a(虚线)与理想的磁化曲线d-o-a(实线)相比,是走了很多弯路的。显然由虚线a-b-c-d-e-f-a圈起来的磁滞回路曲线的面积越大,等效磁化曲线所走的弯路就越多。而这些弯路是要损耗电磁能量的,这种损耗就是磁滞损耗。
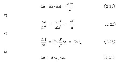
现在我们进一步分析由虚线a-b-c-d-e-f-a圈起来的面积到底代表什么东西。首先,我们从a-b-c-d-e-f-a封闭曲线中取一小块面积ΔA进行分析,如图2-12所示。

在图2-12中,ΔA是在变压器铁芯磁滞回线中任意取出来进行分析的面积,ΔA面积的取值可以任意的小,以保证在此面积中变压器铁芯的导磁率可以看成是一个常数。与ΔA面积对应的有磁感应强度增量ΔB和磁场强度增量ΔH以及时间增量Δt。根据磁场强度、磁通密度的定义,以及电磁感应的定理,可以列出下面关系试关系式:

[page]
在实际电路中,磁场强度是由励磁电流通过变压器初级线圈产生的,所谓的励磁电流,就是让变压器铁芯进行充磁和消磁的电流。
由(2-24)式很容易看出,虚线a-b-c-d-e-f-a圈起来的面积所对应的就是磁滞损耗的能量;即:磁滞损耗能量的大小与磁滞回线的面积成正比。
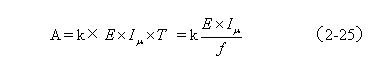
由于输入交流脉冲在一个周期内,变压器铁芯中的磁通密度正好沿着磁滞回线跑了一圈,因此,我们可以在一个周期的时间范围内对(2-24)进行积分,即可求得变压器铁芯在一个周期内的磁滞损耗为:

(2-25)式中,A为一个周期内变压器铁芯的磁滞损耗,单位是焦耳;E为单位长度导线所产生的感应电动势,单位为伏; 为励磁电流的平均值,单位为安培;T为输入交流电压的周期,单位为秒,f为脉冲频率,或开关电源的工作频率,单位为赫芝;k为比例系数,它是一个与选用单位制和变压器铁芯面积、体积以及初级线圈匝数等参数相关的常量。在(2-21)、(2-22)、(2-23)、(2-24)式中,没有比例系数k,是为了使问题简单,便于分析。
这里顺便指出,(2-25)式中,我们直接把A用来表示磁滞损耗能量,是因为磁滞损耗能量的大小与磁滞回线的面积成正比,但不是表示磁滞损耗的能量就等于面积A,两者是有本质区别的。因此,比例系数k在这里非常重要,通过它,可以把互相对应的关系用等号连接起来。
把(2-25)式两边乘以频率f,即可得到磁滞损耗的功率表达式:

由(2-21)、(2-22)、(2-23)、(2-24)、(2-25)式我们又可以看出:磁滞损耗的大小与磁通密度增量的平方成正比,与导磁率成反比。由于磁滞损耗的大小与磁通密度增量的平方成正比,这也意味着磁滞损耗的大小与输入电压的平方成正比;因为,输入电压正比于磁通密度变化速率ΔB/Δt。另外从(2-26)式还可以看出,磁滞损耗与频率成正比。
从(2-23)、(2-24)、(2-25)、(2-26)式可以看出,开关变压器的磁滞损耗主要是由励磁电流产生的,但并不是所有流过变压器初级线圈的电流都是属于励磁电流,或所有的励磁电流都会转化为磁滞损耗;这一点后面还会进一步说明。
由(2-21)、(2-22)、(2-23)、(2-24)、(2-25)、(2-26)式可知,如要计算变压器铁芯的磁滞损耗,只需要计算变压器铁芯磁滞回线面积的大小,然后通过它们的对应关系,就可以求出变压器铁芯的磁滞损耗。
由于各种变压器铁芯磁滞回线的形状各不相同,并且磁滞回线的面积与磁通密度增量以及导磁率和工作频率或脉冲宽度均相关,要精确计算各种变压器铁芯磁滞回线的面积是比较困难的;因此,在实际应用中我们可以采用比较简单的平均值估算方法。
[page]
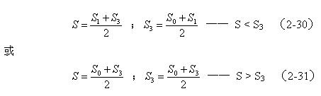
为此,我们把图2-6改画成图2-13,以便用来估算变压器铁芯的磁滞回线面积。在图2-13中,如果我们把磁滞回线面积定义为面积S,把面积:Br×Hc×4定义为面积S0(图2-13中阴影部分),Bm×Hm×2定义为面积S1,那么就有:


上式中A为一个周期内变压器铁芯的磁滞损耗,S为变压器铁芯的磁滞回线面积,k为比例系数,T为输入交流电压的周期。
由图2-13我们可以看出,当Hm或Bm很小时,磁滞回线面积S的值将往面积S0方面靠拢;反之,当Hm或Bm增大时,磁滞回线面积S的值将往面积S1方面靠拢。通过磁滞回线测试,如果知道S是向S0或S1方面靠拢,则还可以采用(2-28)式的估值方法,对磁滞回线面积S再估算一次。
例如,已知磁滞回线面积S的值将往面积S1方面靠拢,即最大磁通密度Bm以及磁通密度增量ΔB均取得比较大;那么我们可以用(2-28)式先对磁滞回线面积S的值估算一次,结果记为S3 ;显然的值小于磁滞回线面积S的值,即磁滞回线面积S的值必然会落在S3与S1的值之间;因此,我们可以取S3与S1的中间值来作为磁滞回线面积S的值。

(2-30)式主要用于磁滞回线面积S的值小于第一次估算结果的情况;(2-31)式主要用于磁滞回线面积S的值大于第一次估算结果的情况。显然用(2-30)和(2-31)估算出来的结果要比用(2-28)估算出来的结果更精确。
从图2-13可以看出,利用(2-28)或(2-30)和(2-31)式来计算变压器铁芯的磁滞损耗,是完全可以满足工程计算要求的。不过在实际应用中,我们还需要对磁滞回线以及变压器铁芯很多参数进行测试后,才能确定比例系数k,并且对应不同的磁通密度增量,比例系数k的值也不一样;关于着一点,请参考下一节《开关电源变压器铁芯磁滞回线测量》的内容。因此,上面分析结果只供对变压器进行设计时参考。
通过上面分析可知,变压器铁芯的磁滞损耗,实际上就是流过变压器初级线圈的励磁电流在铁芯中产生的磁场对铁芯进行充磁和消磁时所产生的能耗;但并不是所有流过变压器初级线圈的电流都是属于励磁电流,或所有的励磁电流都会转化为磁滞损耗;因为,磁感应强度(或输入电压)与磁场强度(或励磁电流)之间存在一个相位角(参看图2-7),另外,还有一部分励磁电流的能量要转化为反电动势输出;例如,反激式输出就是这样。
磁滞损耗和后面介绍的涡流损耗是变压器铁芯的主要损耗,这两种损耗是可以通过实验的方法来进行测量的,但要把两种损耗严格分开,在技术上还是有点难度。[page]

顺便指出,上面主要是针对双激式开关变压器铁芯的磁滞损耗进行原理分析,对于单激式开关变压器,由于其磁化曲线只限于磁通密度和磁场强度均为正的一侧,磁通密度变化的范围基本上都在Br和Bm之间,相对来说比较??;当输入直流脉冲电压的幅度和宽度不变时,Br和Bm的相对位置是基本不变的,其磁化曲线与等效磁化曲线(励磁电流的负载曲线)基本重合,因此,磁滞回线的面积接近等于0,变压器铁芯的磁滞损耗也接近等于0,如图2-14所示。
只有当输入直流脉冲电压的幅度和宽度不断地改变时,Br和Bm的相对位置才会跟随输入电压不断地变化,此时,其磁化曲线与等效磁化曲线(励磁电流的负载曲线)不再重合,磁化曲线会不停地上下跳动,磁滞回线的面积也在不停地改变,因此,变压器铁芯的磁滞损耗不能认为等于0。
在图2-14中,虚线B或0-B-B为变压器铁芯的初始磁化曲线;当输入直流脉冲的幅度比较低,或脉冲宽度比较窄时,磁通密度由Br1沿着磁化曲线a-b上升,到达Bm1后脉冲结束,然后磁通密度由Bm1沿着磁化曲线b-a下降回到Br1,虚线1是其等效磁化曲线。
当输入直流脉冲的幅度比较高,或脉冲宽度比较宽时,磁通密度由Br2沿着磁化曲线c-d上升,到达Bm2后脉冲结束,然后磁通密度由Bm2沿着磁化曲线d-c下降回到Br2,虚线2是另一条等效磁化曲线。
因此,当输入直流脉冲电压的幅度和宽度不断地改变时,变压器铁芯的磁通密度就会在1和2两条等效磁化曲线之间对应的磁化曲线上来回变化。
显然,磁通密度从等效磁化曲线1跳到等效磁化曲线2是需要能量的。如图2-14中,假设磁通密度由Br1上升到Bm2,但磁通密度下降时不会返回到Br1,而只能返回到Br2。因此,磁通密度上升与下降的幅度不一样,产生的这个差值就是磁滞损耗。不过,单激式开关变压器铁芯的磁滞损耗相对于双激式开关变压器铁芯磁滞损耗来说,还是很小的,甚至可以忽略。
单激式开关变压器铁芯的磁滞损耗小的原因,是因为流过变压器初级线圈励磁电流的方向不会来回改变,并且当控制开关断开时,流过变压器初级线圈中的励磁电流也被切断,原来励磁电流存储于变压器铁芯中的磁能量会转换成反电动势向负载提供输出;
而双激式开关变压器则相反,流过变压器初级线圈励磁电流的方向会来回改变,原励磁电流存储于变压器铁芯中的磁场能量将被新励磁电流产生的磁场强制退磁,它不会向负载提供能量输出,而只能转化成热能被损耗在变压器铁芯之中。
磁滞损耗在一般变压器铁芯中会引起磁致伸缩,使变压器铁芯产生机械变形和产生振动,并发出声音;有时这种声音还很令人讨厌,特别是产生调制交流声的时候;解决的办法只能改变开关电源的工作频率和控制信号调制包络的频率;如果磁致伸缩的频率与变压器铁芯机械振动(自由震荡)的频率相同,可能还会产生共振,会对变压器造成损伤,这种情况要严格防止发生。





