中心议题:
- 基于HSI模型的全彩LED驱动电路的设计方案
- LED驱动电路硬件和软件设计及仿真
- HSI模型
解决方案:
- PWM控制恒流源驱动
- 基于HSI模型驱动设计
为了改善led模组的照明质量,实现对LED模组色温的调节,通过分析LED模组的驱动电路技术,提出一种基于HSI模型的全彩LED驱动电路的设计方案。该驱动电路利用三色比例调节达到所需要的颜色,并采用PID调节方式,以保证调节的稳定。另外还可以调节输出光的色温和光强,达到了良好的照明效果。
1 总体设计
图1为HIS模型下全彩LED驱动电路的总体设计。硬件部分采用恒流驱动芯片PT4115,采用总一分的方式进行RGB驱动,通过采样电路获取R,G,B三路电流信号反馈,用来调节R,G,B的比例。软件采用STC系列单片机作为主调节???,通过获取A/D转换调节三色颜色比例,采用PID调节方式,以保证调节的稳定。

2 LED驱动电路硬件设计
2.1 恒流驱动原理
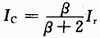
如图2所示,这里由两只特性相同的管子VT0和VT1构成,两管的发射极分别接入电阻Re0和Re1。电阻R中的电流为基准电流,其表达式为:
![]()
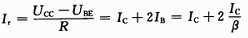
所以集电极电流为:
![]()
由于这里通过改变Ic1和Ir的关系,使工Ic1和Ir呈比例关系,从而克服镜像恒流源电路的缺点。理论推导证明:
![]()
可见,只要改变Re0和Re1的阻值,就可以改变Ic1和Ir的比例关系,其基准电流Ir为:
![]()
通过Re0和Re1电流负反馈电阻,从而使恒流源的输出电流Ic1具有更高的稳定性。

[page]
2.2 PWM控制恒流源驱动
PWM调节是指通过一个周期内脉宽占空比的形式来驱动LED的方式,LED的平均驱动电流取决于脉冲波形的占空比和LED额定驱动电流,在驱动电流固定时,通过改变PWM占空比可以调节驱动电流大小。为了避免闪烁,故PWM调节的频率选择在500 Hz左右。如图3所示。

这里采用LED驱动芯片PT4115。PT4115是一款连续电感电流导通模式的降压恒流源IC,能将直流电压直接转换成稳定的恒流输出。
图4为在PWM调光模式下外加PWM脉冲驱动信号和输出驱动电流的测量结果。PWM占空比从0~100%。从图中可以清楚的看到,通过改变不同的PWM占空比可以调节额定电流,PT4115最大能够输出1.2 A的电流。

输出的额定电流由以下公式得到:

式中:D为PWM的占空比。
3 HSI模型
3.1 HIS模型的转换
RGB模型面向电路,而HSI模型与人的颜色感知一一对应,所以需要通过RGB模型完成到HSI模型的转换:

式中:H分量表示色调;S代表饱和度;I代表亮度。
[page]
3. 2 基于HSI模型驱动设计方案
主要通过HSI模型控制RGB模型,如图5所示,通过I分量作为总线控制,再又驱动电路设定颜色,并让R,G,B三种分量经过加法器之后进行自稳定,传感器获取光线亮度条件,并转换为S分量用来处理。以下是具体的??槭迪郑和ü騂CS12单片机中设置环境亮度以及色温,控制4线共阴的全彩LED,通过采样电阻反馈RGB三种颜色驱动电路中的电流信号,从而通过调节三色比例达到调节色温的目的。再通过光亮度传感器向单片机反馈数据,直接调节总线驱动电路限定额定最大电流,从而控制全彩LED灯光的亮度。当调节为白色灯光时,只需固定好三色比例为1:1:1,从而直接调节总线驱动电路就可调节LED的光亮度。这里需要对每路驱动电路分别使用PT4115作为驱动电路。
4 软件设计及仿真
这里稳定色温采用离散PID调节的方式:

首先进行参数的设定,A/D转换之后通过加法器获取H分量,H分量代表色温,通过PID调节稳定色温达到在调节LED亮度之后,颜色不变。通过调节P,I,D三个参数,让光亮度的变化可以尽量地适应人眼对于光的感受。PID调节与仿真见图6。

5 结语
本文讨论了LED恒流源PWM调节,介绍了PWM调节的电路,并提出了一种基于HSI模型的驱动控制电路,通过HSI模型控制RGB模型,并且可以通过三色驱动电路比例调节达到所需要的颜色。该电路可以克服调节亮度的时候会产生色差,亮度不好调节的问题,根据个人喜好调节LED灯具的光强和色温,通过直接调节总线驱动电路限定额定最大电流,从而控制全彩LED灯光的亮度,从而使此驱动电路达到了良好的照明效果。




