桃花源qm花论坛(品茶),凤楼阁论坛官网入口网址,一品楼品凤楼论坛最新动态,风楼阁全国信息2024登录入口

你的位置:首页 > 测试测量 > 正文

抖动计算基于相位噪声和时钟输入的应用

发布时间:2014-04-25 责任编辑:xiongjianhua

【导读】采用低抖动时钟发生器AD9523为双通道、14位、250 MSPS ADC AD9643提供时钟,首先需要确定如何从相位噪声过渡到抖动。 随后便可以利用特定的抖动来预测ADC的SNR。 通过时钟源的抖动可近似预测SNR的影响, 其中影响最大的是宽带相位噪声。详细内容请看下文。

本文将采用低抖动时钟发生器AD9523为双通道、14位、250 MSPS ADC AD9643提供时钟。 使用这些产品后,常见的时钟频率为245.76 MHz,因此针对AD9523将采用30.72 MHz基准电压源(外部振荡器),并设置内部寄存器,以生成AD9643的低抖动时钟输出。根据时钟输入和相位噪声的抖动计算公式:

通过时钟源的抖动可以近似预测SNR的影响。 其中影响最大的是宽带相位噪声。 设计师可以利用AD9523在10 MHz失调到编码带宽(245.76 MHz)范围内的宽带相位噪声来预测ADC的SNR,如图1所示。

编码带宽范围内的近似相位噪声


从AD9523中,复制并得到两种条件下产生的相位噪声曲线。第一种条件是输出时钟频率为122.88 MHz,第二种条件是输出时钟频率为184.32 MHz。现在,继续做另一次近似推测,而这次的项数较为宽松。使用这两条曲线中的数据执行线性插值运算,以便在输出时钟频率为245.76 MHz的情况下近似得到10 MHz失调的相位噪声。

AD9523相位噪声,fCLOCK = 122.88 MHz
AD9523相位噪声,fCLOCK = 184.32 MHz
 
10 MHz失调时,若输出频率为122.88 MHz,则相位噪声为-158.3307 dBc/Hz。 类似地,若输出频率为184.32 MHz,则相位噪声为-156.2706 dBc/Hz。 执行线性插值运算,则输出频率为245.76 MHz时,10 MHz失调的预期相位噪声为-154.21 dBc/Hz(如图1所示)。 现在,利用等式近似计算面积,得到积分相位噪声。


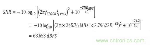
现在,通过计算得到了所有必须的要素,但依然缺少最后一个公式。 需要计算此抖动对AD9643的SNR产生的影响。 现在来看看这个公式是什么,然后代入已知数。已知时钟频率和rms抖动。 从AD9643数据手册中可以得到140 MHz模拟输入频率下的SNR等于71.4 dBFS。 使用公式,可以看到结果为:

因此,当使用AD9523为AD9643提供时钟时,预期SNR值为68.763 dBFS。 最后,在实验室中进行设置,检查这些数字。

 AD9523为AD9643提供时钟(245.76 MHz,fIN = 140.1 MHz)
实验室结果显示SNR值为68.848 dBFS: 这是一个非常好的结果! 这一结果表明实际测量值非常接近预测的68.653 dBFS,并且可以看到预测结果与测量结果如此一致。

相关阅读:

提供领先相位噪声性能的4 GHz PLL频率合成器
时域时钟抖动分析(一)
时钟抖动时域分析(二)
专家教你如何设计高级FPGA时钟域


要采购振荡器么,点这里了解一下价格!
特别推荐
技术文章更多>>
技术白皮书下载更多>>
热门搜索

关闭

?

关闭