- 探究峰值电流限流的优化方案
- 采用峰值电流限流的方法
- 采用比较器来检测IL是否超出IV
引言
电流限制是开关式电源转换器的一个重要?;すδ?它可以在电流限制模式下限制可用的输出电流,以防止出现系统故障。峰值电流限制是目前业内普遍采用的电流限制方法。每当电感的电流IL超出阈值IV时,电源转换器的开关(如图1所示)便会关断,以制止电流从输入电压源VIN注入,直至IL小于IV时,开关才会重新开通。由于输出电流IOUT总是等于IL的平均值(在工作期间IL呈线型纹波),故在电流限制模式下的IOUT(CL,DES) 为:
式中的IL(RIPPLE)是IL纹波的峰峰值。
一般而言,通常采用比较器来检测IL是否超出IV,以决定关断或重新开通??墒?比较器会带来延时tD,影响阈值的有效值。如图2所示,比较器在t1时刻检测到IL< p> V,可是偶遇延时tD,开关会在t2时刻被恢复?;谡飧鲈?有效阀值IN便会低于IV,这样,实际的输出IOUT(CL)为:
当IN<> V时,上述数值便会小于IOUT(CL,DES)。结果,在比较器中的tD会消减IOUT(CL) 。
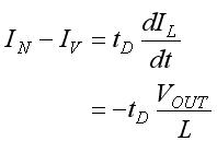
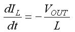
进一步研究,可发现IN会受电感L的影响??悸堑絀L的电流变化率为:
(3)式中的t是时间,而VOUT是电源转换器(如图1所示)的输出电压。当L减小时,便会相应减少。由于tD不会受ILS、L和VOUT影响,并且VOUT也不受L影响,所以IN会随着L而下降。这种关系可用下式表示:
(4)图 1 降压电源转换器

[page]
结果,IOUT(CL)会在工作频率较高时明显小于IOUT(CL,DES),并会在低工作频率时维持正常水平。尽管IV可设定为较高值,以确保IOUT(CL)可达到IOUT(CL, DES),但这种超常的设计会为MOSFET带来一些问题。比如说,为了在电流限制模式下处理更多的电流,需要更大的电感和电路板尺寸。前者将会增加整体电路的大小和成本,而后者则会增加电路的生产成本。
图2 电感器电流波形(检测到IL

优化方案
要减少IOUT(CL)的下降,建议使用一个可变的IV来取代一个固定的IV。IV的变化取决于IL(RIPPLE)的平均值:即输出电流IOUT。在电流限制模式下,假如IOUT(CL)由于tD而减少,那么IV将会增加,直至IOUT(CL)达到ILR参考值。这样,IOUT(CL)将不会再受到tD的影响。优化提案的框图如图3所示。当中采用一个低通滤波器(LPF)来均化IL及其输出,并且给出一个误差放大器的ILR参考值。采用一个积分器,通过误差放大器的输出可以产生一个可变IV。结果,I可达到一个令IOUT(CL)与ILR相等的值,而IOUT(CL)也可脱离tD的影响。

图 3 改良方案的??橥?br />

图 4 传统方案的模拟结果

图 5 改良方案的模拟结果
为了说明这个方案,图1中的降压转换器会采用这些配置:L=20mH、COUT=47mF、RL值在2.64W(正常模式)~1.1W(电流限制模式)间转换,并会使用一个tD=100ns的比较器,而IOUT(CL,DES)和IL(RIPPLE)分别是2.5A和0.3A。不过,如果使用传统的峰值电流限制方法,那么式(1)中的IV便会设定为2.35A,传统方法的模拟结果如图4所示。由此可以看到,IOUT(CL)会由于tD的影响而低于2.5A。然而,使用新方法并将ILR设定在2.5A,IOUT(CL)便可如图5所示达到2.5A。于是,传统方法中出现的问题便能够在该方案中解决。






