- 基于MOSFET内部的微观结构去考虑驱动电路的设计
- 提供足够的放电电流让MOSFET快速关断
- 提高开关速度,缩短热不稳定过程
功率MOSFET的栅极模型
通常从外部来看,MOSFET是一个独立的器件,事实上,在其内部,由许多个单元(小的MOSFET)并联组成,图1(a)为AOT460内部显微结构图,其内部的栅极等效模型如图1(b)所示。MOSFET的结构确定了其栅极电路为RC网络。

在MOSFET关断过程中,MOSFET的栅极电压VGS下降,从其等效模型可以得出,在晶元边缘的单元首先达到栅极关断电压VTH而先关断,中间的单元由于RC网络的延迟作用而滞后达到栅极关断电压VTH而后关断。

如果MOSFET所加的负载为感性负载,由于电感电流不能突变,导致流过MOSFET的电流向晶元的中间流动,如图2所示。这样就会造成MOSFET局部单元过热而导致MOSFET局部单元损坏。如果加快MOSFET的关断速度,以尽量让MOSFET快速关断,不让能量产生集聚点,这样就不会因局部单元过热而损坏MOSFET。注意到:MOSFET的关断过程是一个由稳态向非稳态过渡的过程,与此相反,MOSFET在开通时,由于负载的电流是随着单元的逐渐开通而不断增加的,因此是一个向稳态过渡的过程,不会出现关断时产生的能量集聚点。
因此,MOSFET在关断时应提供足够的放电电流让其快速关断,这样做不仅是为了提高开关速度而降低开关损耗,同时也是为了让非稳态过程尽量短,不至产生局部过热点。
功率MOSFET热不稳定性

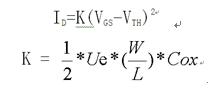
图3为MOSFET处于饱和区时漏极电流ID与栅极电压VGS的关系曲线即转移特性,用公式可表示为:

由图3可知,当MOSFET处于饱和区并且IDID0时,ID随温度的变化是负温度系数。因为MOSFET是由很多的小的单元组成,当ID<ID0且处于饱和区时,如果部分单元温度偏高,则这些单元会趋向流过更多的电流,继而温度会更高,因此这是一个正反馈过程,MOSFET最终会因为局部过热而损坏。由于功率MOSFET在开通和关断的过程中是工作在饱和区,因此应提高开关速度,缩短这样的热不稳定过程。
[page]
应用实例
图4是电动车控制器的两种驱动MOSFET管AOT460驱动电路,分立器件驱动时,PWM在上桥臂,直接用MC33035驱动时,PWM在下桥臂。

图4(a)当MOSFET管AOT460关断时,栅极通过Q5直接放电。图4(b)驱动电路中,当MOSFET管AOT460关断时,栅极电流通过电阻R6和MC33035的下驱动对地放电。由于MOSFET管AOT460在关断时电流迅速减小,会在PCB和电流检测电阻的寄生电感上产生感应电势,感应电势的大小为Ldi/dt,方向如图红线所示。这样会使MOSFET管AOT460的源极和MC33035驱动的参考电位发生相对变化,这种变化降低了MC33035相对于MOSFET管AOT460源极的驱动电压,从而降低了驱动能力,使关断速度变慢。
两种电路的关断波形如图5所示。在图5(b)中,当VGS低于米勒平台之后,电阻R6两端的电压,即图5(b)中CH1和CH3的电位差变小,由于反电势的影响,驱动线路已经几乎不能通过电阻R6给栅极提供放电电流,导致MOSFET的关断变慢。(注:测试波形时探头的地线均夹在MOSFET的源极)
图6为AOT460在同一应用中快速开关和慢速开关情况下的热成像照片??梢钥闯?,在慢速开关情况下MOSFET的局部温度要高于快速开关情况下的温度,过慢的开关速度会导致MOSFET因局部温度过高而提前失效。


本文小结
①过慢的开关速度增加MOSFET的开关损耗,同时由于栅极RC网络延迟和MOSFET本身的热不稳定性产生局部过热,使MOSFET提前失效。
②过快的开通速度产生较大开通的浪涌电流以及开关振铃及电压尖峰。
③设计驱动线路和PCB布线时,减小主回路PCB和电流检测电阻的寄生电感对开关波形的影响,布线时应使大电流环路尽量小并且使用较宽的走线。
①过慢的开关速度增加MOSFET的开关损耗,同时由于栅极RC网络延迟和MOSFET本身的热不稳定性产生局部过热,使MOSFET提前失效。
②过快的开通速度产生较大开通的浪涌电流以及开关振铃及电压尖峰。
③设计驱动线路和PCB布线时,减小主回路PCB和电流检测电阻的寄生电感对开关波形的影响,布线时应使大电流环路尽量小并且使用较宽的走线。





