电磁场的特性变化取决于与天线的距离??杀涞牡绱懦【;治讲糠?—— 近场和远场。要清楚了解二者的区别,就必须了解无线电波的传播。
无线电波应该称作电磁波或者简称为EM波,因为无线电波包含电场和磁场。来自发射器、经由天线发出的信号会产生电磁场,天线是信号到自由空间的转换器和接口。
电磁波

图1
图1展示了典型的半波偶极子天线是如何产生电场和磁场的。转发后的信号被调制为正弦波,电压呈极性变化,因此在天线的各元件间生成了电场,极性每半个周期变换一次。天线元件的电流产生磁场,方向每半个周期变换一次。电磁场互为直角正交。
围绕着半波偶极子的电磁场包括一个电场和一个磁场,电磁场均为球形且互成直角(如图2所示)。天线旁边的磁场呈球形或弧形,特别是距离天线近的磁场。这些电磁场从天线向外发出,越向外越不明显,特性也逐渐趋向平面。接收天线通常接收平面波。
虽然电磁场存在于天线周围,但他们会向外扩张,超出天线以外后,电磁场就会自动脱离为能量包独立传播出去。实际上电场和磁场互相产生,这样的“独立”波就是无线电波。

图2
距离天线一定范围内,电场和磁场基本为平面并以直角相交。注意传播方向和电磁场均成直角。在图2(a)中,传播方向和电磁场线方向成正交,即垂直纸面向内或向外。在图2(b)中,磁场线垂直纸面向外,如图中圆圈所示。
近场
对近场似乎还没有正式的定义,它取决于应用本身和天线。通常,近场是指从天线开始到1个波长(λ)的距离。波长单位为米,公式如下:
λ= 300/fMHz
因此,从天线到近场的距离计算方法如下:
λ/2π = 0.159λ
图3标出了辐射出的正弦波和近场、远场。近场通常分为两个区域,反应区和辐射区。在反应区里,电场和磁场是最强的,并且可以单独测量。根据天线的种类,某一种场会成为主导。例如环形天线主要是磁场,环形天线就如同变压器的初级,因为它产生的磁场很大。

图3
近场和远场的边界、运行频段的波长如图3所示。天线应位于正弦波左侧起始的位置。辐射区内,电磁场开始辐射,标志着远场的开始。场的强度和天线的距离成反比(1/ r3)。图3所示的过渡区是指近场和远场之间的部分(有些模型没有定义过渡区)。图中,远场开始于距离为2λ的地方。
远场
和近场类似,远场的起始也没有统一的定义。有认为是2 λ,有坚持说是距离天线3 λ或10 λ以外?;褂幸恢炙捣ㄊ?λ/2π,另有人认为应该根据天线的最大尺寸D,距离为50D2/λ?;褂腥巳衔≡冻〉慕唤缡加?D2/λ。也有人说远场起始于近场消失的地方,就是前文提到的λ/2π。
远场是真正的无线电波。它在大气中以3亿米/秒的速度,即接近18.64万英里/秒的速度传播,相当于光速。电场和磁场互相支持并互相产生,信号强度和距离平方成反比(1/r2)。麦克斯韦在其著名的公式中描述了这一现象。
麦克斯韦方程组
19世纪70年代末,在无线电波发明之前,苏格兰物理学家詹姆斯·克拉克·麦克斯韦预测出了电磁波的存在。他综合了安培、法拉第和欧姆等人的定律,制定了一套方程表达电磁场是如何相互产生和传播的,并断定电场和磁场互相依存、互相支持。19世纪80年代末,德国物理学家海因里希·赫兹证明了麦克斯韦的电磁场理论。
麦克斯韦创造了四个基本方程,表达电场、磁场和时间之间的关系。电场随时间推移产生移动电荷,也就是电流,从而产生磁场。另一组方式是说,变化的磁场可以产生电场。天线发出的电磁波在空间中自行传播。本文没有列出这些方程组,但你应该记得包含一些不同的方程。
应用
远场在空间中传播的强度变化由Friis公式决定:
Pr = PtGrGtλ2/16π2r2
公式中,Pr =接收功率;Pt =发射功率;Gr = 接收天线增益(功率比);Gt =发射天线增益(功率比);r=到天线的距离。公式在视线所及的无障碍开阔空间中适用。
这里有两个问题需要讨论。接收功率和距离r的平方成反比,和波长的平方成正比,也就是说,波长较长、频率较低的电磁波传的更远。例如,同等的功率和天线增益下,900MHz的信号会比2.4GHz的信号传播得更远。这一公式也常常用它来分析现代无线应用的信号强度。
为了准确测量信号的传播,还必须了解天线在远场的辐射模式。在近场的反应区里,接收天线可能会和发射天线会由于电容和电感的耦合作用互相干扰,造成错误的结果。另一方面,如果有特定的测量仪器,近场的辐射模式就可以准确测量。
近场在通信领域也很有用。近场模式可以用于射频识别(RFID)和近场通信(NFC)。
射频识别(RFID)
RFID是条形码的电子版,它是一个内部有芯片的很薄的标签,其中芯片集成了存储和特定的电子代码,可以用作识别、最总或其他用途。标签还包含一个被动收发器,在接近“阅读器”的时候,由阅读器发出的很强的RF信号就会被标签识别。阅读器和标签的天线都是环形天线,相当于变压器的初级和次级。
由标签识别的信号经过整流滤波转换成直流,为标签存储和转发供能。发射器将代码发送到阅读器上,用于识别和处理。主动标签有时会用到电池,将感应距离延长到近场以外的地方。RIFD标签的频率范围各不相同,有125kHz、13.56MHz和900MHz。
在900MHz,波长为:
λ= 300/900 = 0.333m 或 33.33cm
因此根据近场距离计算公式:
λ/2π= 0.159λ= 0.159(0.333) = 0.053m (约2英寸)
感应距离通常超过这一数字,所以这一频率下距离实际上也延伸到了远场。
近场通信(NFC)
NFC也采用了存储和类似于信用卡的特定代码。电池驱动的内部转发器可以把代码发射到阅读器上。NFC也使用近场,范围一般为几英寸。NFC的频率为13.56MHz,因此波长为:
λ= 300/13.56 = 22.1m (72.6英尺)
近场距离为不超过:
λ/2π = 0.159λ = 0.148(72.6) = 11.5英尺
因为电量消耗低,实际的感应距离很少超过1英尺。
近场工作区反射电平测试原理及方法
近场工作区反射电平测试原理
采用自由空间电压驻波比法测量近场工作区反射电平,测量原理是基于微波暗室中存在有直射信号和反射信号,微波暗室中空间任意一点的场强是直射信号和反射信号的矢量合,在空间形成驻波,驻波数值的大小就反映了微波暗室内反射电平的大小。
VSWR法测量原理图
当接收天线主瓣对准发射天线时,所接收到的信号为ED。移动接收天线,则接收天线的直射信号ED与反射信号ER的相对相位将会改变,此时接收天线收到的信号幅度将产生波动,如图所示,这一波动反映空间固有驻波,由此即可得到反射电平。

暗室空间驻波图
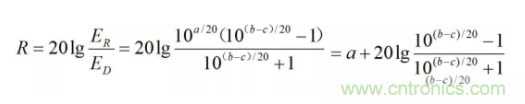
将接收天线转到比最大电平低a(dB)的方位角q时,则所接收的直射信号Eq=ED10a/20。当反射信号与直射信号同相时合成场最大,这时以b表示:

当反射信号与直射信号反相时合成场最小,这时以c表示:

则反射电平:

因此测出空间驻波曲线和接收天线方向图,就可以计算出微波暗室反射电平。
测试方法
在近场工作区内针对主反射墙的吸波材料进行特定频段吸收特性的测试。
测试位置的选取
测试近场工作区反射电平时,发射天线先置于暗室中心轴线上,接收天线置于正对被测墙壁的一个合理位置,并沿两天线轴线移动一段距离进行反射电平的测试。测试位置如图所示。

近场静区测试位置示意图(俯视图)

近场静区测试位置示意图(侧视图)

测试设备连接示意图
测试步骤
连接好测试系统,按图2-5置发射天线及接收天线于测试位置Ⅰ;
设置信号源频率为1GHz,输出功率调至合适大小使发射天线辐射信号,接收天线在正对发射天线方向,沿待测行程线移动,并记录接收信号曲线,测试曲线作为这条行程线的参考电平线;
将接收天线方向朝向被测墙壁吸波材料方向,接收天线沿这条测量行程线移动,并记录空间驻波曲线;
改变天线极化方式,重复以上步骤a)~c)的测量;
分别在2GHz、5GHz、10GHz、18GHz、40GHz频率点,重复步骤b)~d),直至完成所有频率点测量;
改变发射天线及接收天线位置,如图2-3所示,分别至位置Ⅱ、位置Ⅲ,重复上述步骤b)~e)的测量;
改变发射天线及接收天线高度,如图2-4所示,分别至H2、H3,重复上述步骤b)~f)的测量。
数据处理

远场静区幅度均匀性测试方法
远场静区幅度均匀性是指发射天线保持不动,接收天线在静区内沿指定行程线移动时,接收信号幅度变化情况。
在进行幅度均匀性测试时,接收天线沿图所示的区域不同高度的行程线进行横向运动,采集区域内各个位置的幅度数据,经过数据筛选及处理后得到静区内一个圆形平面的幅度均匀性测量结果。通过对静区内多个平面进行测量,得到整个静区的幅度均匀性测试结果。
测试步骤
连接好测试系统,按图3-2置发射天线及接收天线于测试位置Ⅰ;
设置信号源频率为1GHz,输出功率调至合适大小使发射天线辐射信号,接收天线在正对发射天线方向,沿待测行程线移动,并记录接收信号曲线;
改变测试行程线在一个测试面内的不同高度进行测量;
改变天线极化方式,重复以上步骤a)~c)的测量;
分别在3GHz、5GHz、10GHz、18GHz频率点,重复步骤b)~d),直至完成所有频率点测量;
改变测试面,重复上述步骤b)~e)的测量。




