【导读】工业现场存在着大量的电感性负载,如电动机、变压器、继电器、接触器和电磁铁等。由于这些设备和器件具有较大的电感和一定量值的分布电容,故当对其进行切投操作时,会产生幅值高达数百伏甚至数千伏的高频干扰,成为在附近工作的计算机的主要干扰源。电感性负载切投时所产生的干扰是计算机控制系统最常见最严重最难克服的干扰之一。本文借助等效电路,对感性负载切投时产生干扰过程作了分析研究,并提出了抑制干扰的措施。
1 序言
工业现场存在着大量的电感性负载,如电动机、变压器、继电器、接触器和电磁铁等。由于这些设备和器件具有较大的电感和一定量值的分布电容,故当对其进行切投操作时,会产生幅值高达数百伏甚至数千伏的高频干扰,成为在附近工作的计算机的主要干扰源。
2 感性负载切投时的等效电路
若开关时理想开关,即假定开或闭的过程是一次性的,且该过程的持续时间为零,那么开关闭合而接通感性负载时,会对电网造成某种程度的冲击。当开关断开并切断感性负载时,负载上会产生极高的反电势,但由于假定开关是理想的,其触点间隙将把负载与电网隔离起来,使其不能通过传导作用而施于电网侧的计算机,而只能以耦合和辐射的方式对计算机发生作用。因此,在理想情况下,开关的开与闭所产生的干扰都不算严重。但是,实际的开关操作不可避免地伴有间隙的电弧击穿和触点的抖动,加之触点之间往往存有杂质,因此其开关过程不可能是理想性的一次断开或闭合的过程,而是一个开闭不断重复的开闭串过程,正是由于开关操作的这一特有运动属性,决定了电感性负载切投时所产生干扰的一些主要特点。在考虑了开关操作的开闭串效应后,可借助一线性集总参数等效电路来研究电感性负载切投时产生干扰的过程,其等效电路如图1所示。

图中L1、C1、R1分别为负载一侧的等效电感、电容和电阻。L2为电源一侧的等效电感,它主要由电源线电感构成,一般情况下其量值在几十
以下,且
。C2为电源侧的分布电容,其量值约为几十pF,R2为电源侧的电阻,主要指电源线的电阻,也为一很小值,绝大多数情况下
数量级上下。
3 开关断开而无击穿时的干扰分析
因为开关断开或接通时,都不可避免地会产生开闭串效应,引起触点的重复开闭,故此两种情况下产生的过程大体一致。现仅以开关断开时的情况为例分析干扰产生的机理。
当开关断开时,由于L1的储能作用,其中的电流不会突然降至为零,因而
中的电流将流向
并对其充电,若忽略上的能量损耗及电容的初始储能,可求的开关断开后
上的所能达到的最大值
同理可得
上的最大电压值
式中I为开关断开瞬间流经电源导线,即电感性负载中的电流值。当电流越大,其两侧的电压越高。由于
知,
。当开关断开,而未发生击穿时,仅有
通过供电线路与计算机相连,因其量值较小,不会对计算机构成严重干扰。
开关断开后,其两侧将形成一个回路,故开关两侧的电压将按照二阶网络的运动规律变化。其以电压
为变量负载侧的微分方程为
当开关断开瞬时,若
恰为电源峰值电压时,则因滞后其90度,故
为最小值零,因而,
回路将以
为初始震荡幅值作衰减震荡,对于20V交流电源系统来说,此起始震荡电压幅值为311V,并不会形成严重干扰。
当开关断开瞬时,若
为零,则
将达到最大值
,即电感中储能最大,此时,负载侧电压最高,往往达数千伏,故干扰最为严重。以此为初始条件可求得负载侧电压

同理可求得电源侧的电压

有上述可知:
(1)当开关断开后,在开关两侧形成一个回路,每一回路均出现一衰减震荡过程,它们的振幅幅值由开关断开时的初始状态决定。电感储能最大时的震荡情况可由式(1)和式(2)描述。
(2)负载侧与电源侧的衰减震荡频率分别为:
(3)负载侧与电源侧的震荡均随时间作指数衰减,衰减速率取决于电路参数R和L。由于
与
的量值极为悬殊,故有:
,即电源侧的震荡衰减要快得多。
因此在开关断开时未发生击穿的情况下,电源侧与负载侧将分别产生震荡,这两个震荡无论在幅值频率和衰减率上都有极大的区别:电源侧的震荡频率高,幅值小,衰减快,且可直接作用到计算机系统上形成干扰,而负载侧的震荡频率低幅值高,衰减慢,由于开关的隔离使它无法直接干扰计算机。
4 开关触点间隙击穿时的干扰分析
电感性负载被开关断开后其上的最大电压为
,往往可达数千伏,而开关断开的最初时刻,其触点间隙却很小,当此高压加于其上时,触点间隙必然会被击穿,将开关两侧电路重新连通,所以,负载侧的干扰就不会再是单一的角频率为
的低幅值干扰了,而要严重和复杂得多。
一般认为开关触点间隙的最小击穿电压
约为320V。在开关断开过程中随着其触点间隙的增大,击穿电压也相应升高,触点间可能达到的最大击穿电压主要由负载侧的最大震荡电压幅值
决定,即
在开关断开的最初瞬间,负载侧的电压绝对值
将以震荡形式升高,该电压将与电源侧的震荡电压串联而施加于开关的触点上,当
大于触点击穿电压
时,间隙被击穿,产生飞弧,将开关S两侧的电路连通,若忽视较小的弧压降,可得图2所示的等效电路。

由于
,因此图2电路中起主要作用的电感支路是
串联支路,同样由于
,可知两并联电容支路起主要作用的是
支路,所以可将图2电路再进行简化为图3所示的电路。图中
约等于
。

因为
所构成的震荡回路具有频率高,幅值小衰减快的特点,在负载电流较小的情况下,可认为当击穿发生时,该回路中的电流电压均已衰减而接近于零。即初始条件为:

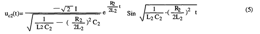
从而求得在触点间隙击穿后,电路中所产生的干扰电压的较为简洁的描述形式为

由此可知击穿情况下所产生干扰的性质,其特点如下:
(1)电感性负载切投时,必然会出现开关间隙击穿现象,形成开闭串过程,从而产生频率很高幅值极大的干扰电压。
(2)当击穿发生后,开关两侧共同构成一新的震荡电路,其震荡电压幅值和初相角均由击穿时的初始条件确定。在负载电流较小的情况下,振荡电压幅值约为
,因
取值在320V与
之间,故幅值极高,震荡的角频率
,而击穿前电路的另外的两个震荡角频率分别为
,比较三个频率有
,而
与
较为接近。
触点间隙击穿后出现的震荡电压
兼有
幅值大和
频率高的特点,而又直接出现在电源系统上,因而成为对计算机最严重和最主要的干扰。由网络理论知,该震荡电压达到峰值时,电路中的震荡电流将降为零,此时触点间的电弧熄灭,负载侧和电源侧又分别以角频率和震荡,其起始震荡电压值均为熄弧时的电压。
由于
电源侧震荡电压的极性反转很快,在负载侧电压的任一半波时,都会多次出现与负载侧电压同极性串联相加,故熄弧时,即使负载侧电压低于当时的击穿电压
,也可能导致间隙重新被击穿,使角频率为
的震荡继续下去,直到其电压峰值低于
时,触点间电弧才完全熄灭。电弧熄灭后,负载侧电压将继续按上述规律震荡升高,当其达到新的更高的一个击穿电压值时,间隙再次被击穿,又重复上述的角频率为
的震荡过程,形成所谓的开闭串。




