桃花源qm花论坛(品茶),凤楼阁论坛官网入口网址,一品楼品凤楼论坛最新动态,风楼阁全国信息2024登录入口

低功率开关电容器带隙,第 2 部分

发布时间:2024-12-31 责任编辑:lina

【导读】在本期文章中,对传统的带隙电路进行了误差分析,然后解释了如何使用开关电容电路将这些误差降至。图 1 显示了传统的带隙参考实现方案及其相关的误差源。


在本期文章中,对传统的带隙电路进行了误差分析,然后解释了如何使用开关电容电路将这些误差降至。图 1 显示了传统的带隙参考实现方案及其相关的误差源。

 低功率开关电容器带隙,第 2 部分图 1


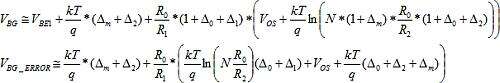
图 1 中没有误差源的带隙电压由以下公式描述。


低功率开关电容器带隙,第 2 部分


下面添加了错误源,并假设所有不匹配  错误


低功率开关电容器带隙,第 2 部分


条件、误差级别和选择的设计参数:


低功率开关电容器带隙,第 2 部分


使用上述参数进行误差计算:

从上面可以看出,输入失调电压是主要的误差源,因此消除这个误差将大大有助于实现的带隙电压。因此,让我们继续讨论 switched capacitor 实现,看看如何处理这个错误,以及其他错误如何比较。

在图 2 中,显示了开关电容带隙电路,并添加了一个简单的附加物(标记为“新”)以执行偏移电压消除。该图是对本系列部分的初始采样状态 图 1 的修改。在这种状态下,反馈电容 C” 现在都连接到共模输出电压 (vcm),另一侧连接到 OTA 的输入端,电路中的其余电容也是如此。因此,在此阶段的所有 caps 上对 input offset voltage 进行采样。


低功率开关电容器带隙,第 2 部分图 2


带偏移校正的初始采样

在下一个状态下,φ1 开关打开,φ2 闭合,之前连接到 vcm 的两个 C” 反馈电容器的端子连接到输出。两者保持相同的端电压,因此 OTA 偏移电压已从差分输出中消除。

 低功率开关电容器带隙,第 2 部分


传统带隙电路中的第二大误差贡献因素是 R0和 R1.这些电阻器用于增益 (R0/ R1) PTAT 电压。如本系列部分所述,PTAT 电压在开关电容电路中使用电容器比率 (2C’/C”) 而不是电阻器比率来增加。这是有益的,因为电容器的失配(每单位面积)远小于多晶硅电阻器的失配,在我目前正在工作的过程中相差 ?5 倍。这将第二大误差从 6.3mV 降低到 1.3mV。

这种开关电容架构的一个好处是电路的差分特性带来的卓越电源抑制 (PSR) 性能。差分 OTA 的对称设计为电源上的信号提供一阶抵消。

总之,使用开关电容器技术产生基于带隙的电压有很多好处。其中包括易于减少甚至消除许多传统带隙电路常见的误差。使用简单的偏移消除技术消除了偏移电压误差,使用电容器而不是电阻器减少了关键元件的失配误差,并且通过电路的差分特性获得了更好的 PSR 性能。


免责声明:本文为转载文章,转载此文目的在于传递更多信息,版权归原作者所有。本文所用视频、图片、文字如涉及作品版权问题,请联系小编进行处理。


我爱方案网


推荐阅读:

Quobly与意法半导体携手, 加快量子处理器制造进程,实现大型量子计算解决方案

安森美与电装(DENSO)加强合作关系

射频开发挑战重重?ADI一站式方案助你轻松应对!

能源、清洁科技和可持续发展的未来

将“微型FPGA”集成到8位MCU,是种什么样的体验?


特别推荐
技术文章更多>>
技术白皮书下载更多>>
热门搜索
?

关闭

?

关闭