【导读】除了升高或降低信号电压外,变压器还具有另一个非常有用的特性,即隔离。由于变压器的初级和次级绕组之间没有直接的电气连接,因此变压器的输入和输出电路之间提供了完全的电气隔离。连接在放大器和扬声器之间的音频变压器也可以利用这种隔离特性。
除了升高或降低信号电压外,变压器还具有另一个非常有用的特性,即隔离。由于变压器的初级和次级绕组之间没有直接的电气连接,因此变压器的输入和输出电路之间提供了完全的电气隔离。连接在放大器和扬声器之间的音频变压器也可以利用这种隔离特性。
我们在本节关于变压器的介绍中了解到,变压器是一种电气设备,它允许正弦输入信号(例如音频信号或电压)产生输出信号或电压,而无需输入侧和输出侧物理连接。这种耦合是通过将两个(或更多)线圈(称为绕组)的绝缘铜线缠绕在软磁铁芯上来实现的。
音频变压器
当交流信号施加到初级输入绕组时,由于软铁芯的电感耦合,输出次级绕组上会出现相应的交流信号。输入和输出线圈之间的匝数比决定了施加信号通过变压器时的增加或减少。
然后,音频变压器可以被视为升压型或降压型,但音频变压器不是绕制以产生特定的电压输出,而是主要用于阻抗匹配。此外,匝数比为 1:1 的变压器不会改变电压或电流水平,而是将初级电路与次级侧隔离。这种类型的变压器通常称为隔离变压器。
变压器不是智能设备,但可以用作双向设备,使得正常的初级输入绕组可以成为输出绕组,正常的次级输出绕组可以成为输入,并且由于这种双向特性,变压器在一个方向上使用时可以提供信号增益,在反向使用时可以提供信号损失,以帮助匹配不同设备之间的信号或电压水平。
还要注意的是,单个变压器可以有多个初级或次级绕组,这些绕组沿其长度还可以有多个电气连接或“抽头”。多抽头音频变压器的优点是它们提供不同的电阻抗以及不同的增益或损耗比,使其可用于放大器和扬声器负载的阻抗匹配。
顾名思义,音频变压器设计用于在音频频带内工作,因此可以应用于输入级(麦克风)、输出级(扬声器)、级间耦合以及放大器的阻抗匹配。在所有情况下,都需要考虑频率响应、初级和次级阻抗以及功率能力。
音频和阻抗匹配变压器的设计与低频电压和电源变压器相似,但它们的工作频率范围要宽得多。例如,20Hz 至 20kHz 语音范围。音频变压器还可以在一个或多个绕组中传导直流电,用于数字音频应用以及转换高频电压和电流水平。
音频变压器阻抗匹配
音频变压器的主要应用之一是阻抗匹配。音频变压器非常适合平衡具有不同输入/输出阻抗的放大器和负载,以实现功率传输。
例如,典型的扬声器阻抗范围为 4 至 16 欧姆,而晶体管放大器输出级的阻抗可能高达几百欧姆。一个典型的例子是 LT700 音频变压器,它可用于放大器的输出级以驱动扬声器。
我们知道,对于变压器来说,初级绕组的线圈匝数 (N P ) 与次级绕组的线圈匝数 (N S ) 之比称为“匝数比”。由于两个绕组的每个单线圈匝内都会产生相同量的电压,因此初级与次级电压比 (V P /V S ) 将与匝数比相同。
阻抗匹配音频变压器总是通过其匝数比的平方给出从一个绕组到另一个绕组的阻抗比值。也就是说,它们的阻抗比等于其匝数比的平方,也等于其初级与次级电压比的平方,如图所示。
阻抗比
音频变压器阻抗比
其中 Z P是初级绕组阻抗,Z S是次级绕组阻抗,(N P /N S ) 是变压器匝数比,(V P /V S ) 是变压器电压比。
例如,阻抗匹配音频变压器的匝数比(或电压比)为 2:1,其阻抗比为 4:1。
音频变压器示例 No1
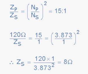
需要使用阻抗比为 15:1 的音频变压器来匹配功率放大器的输出和扬声器。如果放大器的输出阻抗为 120Ω。计算功率传输所需的扬声器的标称阻抗。
阻抗匹配示例
然后功率放大器可以有效地驱动8欧姆扬声器。
音频 100V 线路变压器
另一种非常常见的阻抗匹配应用是用于 100 伏线路变压器,用于通过公共广播扩音系统传输音乐和语音。这些类型的天花板扬声器系统使用距离功率放大器一定距离的多个扬声器。
通过使用线路隔离变压器,可以将任意数量的低阻抗扬声器连接在一起,以便它们正确地加载放大器,从而在放大器(源)和扬声器(负载)之间提供阻抗匹配,实现功率传输。
由于对于给定的电缆电阻,信号通过扬声器电缆的功率损耗与电流的平方 (P = I 2 R) 成正比,因此用于公共广播 (PA) 或扩音器的放大器的输出电压使用标准恒定电压输出电平,即峰值 100 伏 (均方根 70.7 伏)。
例如,驱动 8 欧姆扬声器的 200 瓦功放提供 5 安培电流,而使用 100 伏线路的 200 瓦功放全功率时仅提供 2 安培电流,因此可以使用较小规格的电缆。但请注意,只有当驱动线路的功率放大器以全额定功率运行时,线路上才会存在 100 伏电压,否则功率(音量较低)和线路电压会降低。
因此,对于 100V(70.7V rms)线路扬声器系统,线路变压器将音频输出信号电压升压至 100 伏,以便给定功率输出的传输线电流相对较低,从而减少信号损耗,从而允许使用直径或规格较小的电缆。
由于典型扬声器的阻抗通常较低,因此每个连接到 100V 线路的扬声器都使用一个阻抗匹配降压变压器(通常称为线到音圈变压器),如图所示。
100V 输电线路变压器
100V 线路变压器
在这里,放大器使用升压变压器,在给定功率输出的情况下,以较低的电流提供恒定的 100 伏传输线电压。扬声器并联在一起,每个扬声器都有自己的阻抗匹配降压变压器,以降低次级电压并增加电流,从而使 100V 线路与扬声器的低阻抗相匹配。
使用这种音频传输线的优点是,即使多个单独的扬声器、扩音器或其他此类声音执行器具有不同的阻抗和功率处理能力,它们也可以连接到一条线路上。例如,4 欧姆时功率为 5 瓦,或 8 欧姆时功率为 20 瓦。
阻抗匹配变压器
通常,传输线匹配变压器在初级绕组上有多个连接点,称为分接点,允许为每个单独的扬声器选择合适的功率水平(以及音量)。此外,次级绕组也有类似的分接点,提供不同的阻抗以匹配所连接扬声器的阻抗。
在这个简单的例子中,100V 线路到扬声器变压器可以在其次级侧驱动 4、8 或 16 欧姆扬声器负载,其初级侧的放大器额定功率分别为 4、8 和 16 瓦,具体取决于所选的分接点。实际上,PA 系统线路变压器可以选择用于任何串联和并联扬声器负载组合,功率处理能力高达几千瓦。
但是,除了恒压阻抗匹配线路变压器外,音频变压器还可用于将低阻抗或低信号输入设备(如麦克风、转盘动圈拾音器、线路输入等)连接到放大器或前置放大器。
由于输入音频变压器必须在很宽的频率范围内工作,因此它们通常被设计成使得其绕组的内部电容与其电感产生共振,以改善其工作频率范围,从而允许使用更小的变压器磁芯尺寸。
我们在本教程中了解音频变压器时已经看到,音频变压器用于匹配不同音频设备之间的阻抗,例如,作为线路驱动器在放大器和扬声器之间进行阻抗匹配,或在麦克风和放大器之间进行阻抗匹配。
与在 50 或 60Hz 等低频下工作的电力变压器不同,音频变压器设计用于在音频频率范围内工作,即从大约 20Hz 到 20kHz 或对于射频变压器来说更高的频率。
由于频带较宽,音频变压器的铁芯由特殊等级的钢制成,例如硅钢或具有极低磁滞损耗的特殊铁合金。
音频变压器的主要缺点之一是体积较大且价格昂贵,但使用特殊磁芯材料可以实现更小的设计。这是因为一般来说,变压器磁芯尺寸会随着电源频率的降低而增大。
免责声明:本文为转载文章,转载此文目的在于传递更多信息,版权归原作者所有。本文所用视频、图片、文字如涉及作品版权问题,请联系小编进行处理。
推荐阅读:




