【导读】如前所述,单相全桥逆变器用于将直流电转换为交流电。在该电路中,电子开关成对工作,在一个半波中,只有S1和S2闭合,而在另一个半波中,S3和S4闭合。逆变器的输出是可变频率的交流电压,取决于驱动设备的波形频率。图 1 显示了该逆变器的一般操作图。实际上,电路的“a”部分中的电子开关与“b”部分中的电子开关互补控制。在这种情况下,开关是理想的设备。
如前所述,单相全桥逆变器用于将直流电转换为交流电。在该电路中,电子开关成对工作,在一个半波中,只有S1和S2闭合,而在另一个半波中,S3和S4闭合。逆变器的输出是可变频率的交流电压,取决于驱动设备的波形频率。图 1 显示了该逆变器的一般操作图。实际上,电路的“a”部分中的电子开关与“b”部分中的电子开关互补控制。在这种情况下,开关是理想的设备。这两个信号使用相等且相反的参考电压进行调制。通常,相同的电载波用于两个驱动信号。
图1:单相全桥逆变器原理图
单相全桥电压发生器逆变器由四个斩波电路组成,如图 2 所示。其中有四个晶体管或 MOSFET(Q1、Q2、Q3 和 Q4)。它们可以单独和独立地驱动,因此终的操作会根据顺序以及电子开关的打开和关闭方式而有所不同。由于其电子元件形成的奇特图形形状,该设备也被称为“H 桥”。终结果是使用相同电源电压的两个单相、两电平逆变器的组合。我们将在下面检查不同的激活序列:
如果开关元件 Q1 和 Q2 都闭合,则负载(存在于节点“a”和“b”之间)承受等于 Vs 的电压,并且恰好在节点“a”处存在大约 Vs 的电压值并且在节点“b”有一个大约GND的电压值
如果开关元件 Q3 和 Q4 都闭合,则负载(存在于节点“a”和“b”之间)承受等于 Vs 的电压,但这次极性相反,恰好在节点“a”处有一个大约 GND 的电压值,而在节点“b”处有大约 Vs 的电压值。
图2:单相桥式VSI逆变器原理图
流过负载的电流并不理想,但它受到电子开关电阻值的影响,正如我们所知,这也不是真实的。相反,流过按顺序连接的两个晶体管的电流,出于所有意图和目的,必须穿过两条电阻线,其值非常低但仍然很重要。图 3 显示了根据电子开关的不同逻辑状态的电流路径。
图 3:在单相桥式逆变器中,电流路径取决于电子开关的逻辑状态
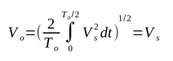
输出电压的理论有效值可使用以下等式确定:
方波控制允许以这样的方式驱动桥式开关,即每个负载端子在半个周期内连接到直流电源的正极端子,在半个周期内连接到负极端子。以这种方式,桥的两个分支被交叉驱动。我们现在将检查四个电子开关(晶体管或 MOSFET)的四种开关操作状态。下表给出了在各种操作模式下节点“a”和“b”上存在的不同电压。下表证明了单相桥式逆变器的操作,其中列出了各种开关的逻辑条件,以及有关电压和导通组件的其他信息。
值得注意的是,当二极管 D1 和 D2 导通时,循环电流作为正反馈返回到电压发生器。在纯电阻负载的情况下,瞬时功率值等于瞬时电压乘以瞬时电流的乘积。另一方面,如果负载是电感性的,则其电流和电压是正弦曲线。任何谐波都会返回电压发生器,应该通过与电压发生器并联一个大电容来消除或减少谐波,不幸的是,这会增加此类逆变器的重量、体积和成本。为避免相反的开关同时导通,在两个电源命令之间实现了一个小的死区时间。在这种接线方案中,优点是使用单一电源电压??爻啥怨ぷ?,在一个半波中只有 Q1 和 Q2 闭合,在另一个半波中 Q3 和 Q4 闭合。对于过时的 SCR,典型的工作频率为 50 Hz 或 300 Hz,这些值都在可听音频频谱范围内,因此旧设备会产生令人不快的哨声和声学音符。使用新的电子元件,可以增加这个频率。如果假设有强电感负载,则电流呈现对称的三角形模式(参见图 4 中的相应图表)。图中显示了负载上的电压和电流,在每个周期内,有四个不同的导通区间,对应一个确定的电路。切换后,感性负载上的电流不能突变,瞬间反转方向,方波呈现幅度较大的谐波和其他奇次谐波,谐波失真率约为48%。使用特殊滤波器可以大大减少这些谐波。
图 4:负载上的电压和电流图
结论
2999) 组件可以帮助提高电子设备的效率。它们是半导体材料,与传统硅相比具有更优异的电性能,例如更高的耐温性和更低的内阻。这意味着基于SiC和 GaN 的电子设备可以更快地运行并且能量损失更少,从而提高整体效率。它们可以设计用于太阳能系统中的大量使用,因为它们可以处理可变的直流输入电压并产生非常稳定的交流输出电压。此外,它们可以处理非线性负载,例如电感负载、电容负载和混合负载,因此非常适合用于住宅和工业应用。
免责声明:本文为转载文章,转载此文目的在于传递更多信息,版权归原作者所有。本文所用视频、图片、文字如涉及作品版权问题,请联系小编进行处理。
推荐阅读:





