【导读】反激电源的RCD吸收,对电源研发行业从业者来说是非常常见的电路,一般认为为了处理反激电源变压器漏感带来的功率管电压尖峰,需要通过RCD电路进行处理。
反激电源的RCD吸收,对电源研发行业从业者来说是非常常见的电路,一般认为为了处理反激电源变压器漏感带来的功率管电压尖峰,需要通过RCD电路进行处理。尽管十分常见,但是最后还是决定写一个专题的系列文章,初步估计会有三到四篇文章,内容分别关于变压器漏感、RCD连接方式、损耗计算和元件选型,希望能带给读者一些新的研发思路。
本文适合于电源研发工程师进阶阅读。
一些基本理论
变压器,一种利用电-磁互相转化的原理实现能量从一个端口到另一个端口的电子元件,基本结构是磁芯以及绕在同一个磁芯上的两个或多个绕组。
尽管通常并不会把反激电源变压器当做典型的变压器来分析(实践中往往当做耦合电感),但是变压器的相关理论显然仍然适用于反激电源变压器。
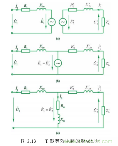
理想的变压器是没有能量损耗的,且变压器各个绕组之间完全耦合,这时候变压器的电路模型就十分简单。但是实际上,变压器在进行电-磁-电的转换过程中,无论是磁芯还是绕组都是有损耗的,而且绕组之间并不能做到完全耦合。这时候,变压器的电路模型就复杂的多。这时候,可以使用等效电路将变压器转换为基本的电阻、电感等元件,借助基本的电路理论进行一些简化分析。

上图是一个简图。实际的变压器耦合不好,导致了漏感L_p、L_s;电流流过变压器绕组产生的损耗是由于电阻R_p、R_s;在磁芯激励出磁场才能将能量传递到副变,出现了励磁电感L_m;磁芯中的变化的磁场是需要消耗能量才能维持的,有了励磁损耗R_m。加上中间的理想变压器,这就有了实际变压器的一个近似等效。
这时,中间的理想变压器只起到了隔离的作用。通过阻抗变换,我们可以去掉它:

无论变压器匝数比是多少,我们都可以通过阻抗变换,将变压器次级的阻抗乘以匝数比的平方,而将变压器匝数比替换为1:1。一个1:1的变压器原副边等电位点连载一起,就得到了变压器的T型等效电路。
在一般的电力变压器分析时,考虑到中间的励磁支路的电流相对负载电流来说很小,将R1、X1上的励磁电流忽略,那么励磁支路就可以移到左侧端口,就得到了变压器的Γ型等效电路:

这时候,同一之路上的阻抗可以合并,变压器及负载变成了两个并联的阻抗支路,分析的时候就十分简单。
而在反激变压器工作时,其实不存在上述分析时提到的变压器的负载电流,在反激电路原边绕组励磁时副边绕组开路,那么这时可以把励磁支路移动右侧端口,原理实际是一样的,就不赘述了。
前文提到过,变压器即是耦合电感,变压器的T型等效电路与耦合电感的T型去耦电路在形式上是一样的。变压器可以认为是耦合系数极大的特殊耦合电感,分析时可以适当简化。
上面的内容其实在很多教材中都有。这样的等效电路是变压器分析时的有效工具,前面的两个截图就是来自本科教材 《电机学》华中科大版。网上有这个书的pdf版,强烈建议电源工程师仔细读一下其中的变压器相关章节。(考虑到可能存在的版权问题,这份资料就不上传到这里了)
等效漏感分析与优化
这部分结合反激电源的实际情况,写一下反激拓扑中所谓的漏感从哪里来。先说结论:反激拓扑中的漏感,主要来自两个方面:变压器自身结构,和PCB走线的寄生电感。
考虑到能读到这里的肯定都是进阶读者,反激拓扑的漏感来自变压器自身结构这个就不多解释了。
而往往会被忽略的是,PCB走线,尤其是变压器次级PCB走线的寄生电感,也是反激拓扑的等效漏感的重要来源。PCB走线寄生电感的示意图如下:

上图中的L1~L4位置在实践中都会有一段引线,按前文的理论,其寄生电感都应等效为变压器漏感,实际上也都会影响到MOSFET的电压应力。
可能L1~L3对MOSFET电压应力的影响比较容易理解。如果某位读者对电感L4影响原边MOSFET电压应力有疑问——在原边MOSFET产生漏感电压尖峰应力时,L4并没有电流流过,那么不妨这样想:由于L4的阻抗的存在,在原边MOSFET截止时,变压器中储存的能量无法立即开始向次级传递,那么变压器能量只能先在原边流出,直到电感L4的电流上升到足够大。显然,由于L4的阻抗,反激电源原边MOSFET的电压应力会变高。
在实际的反激电源产品中,这几段PCB走线的长度大概在几mm到几十mm这个范围,按1nH/mm粗略估算L1~L4这几段寄生电感大概在几nH到几十nH这个数量级。
相对于可能达到数百uH以上的变压器原边励磁电感和往往大于2%的变压器自身漏感比例,似乎L1~L4的总电感量对实际漏感的影响是可以忽略的,但请回想一下前文的阻抗变换的方法。由于变压器次级整流电路走线的寄生电感L4需要折算到变压器原边,折算方法是乘以变压器匝比,那么在某些应用中,L4可能对实际的等效漏感贡献较大。
比如,假设某个反激电源变压器的原边感量为750uH,变压器匝比20:1 ,变压器原边测量漏感比例2%,变压器漏感为15uH。这个变压器应用于输入电压300VDC,输出电压5VDC的反激电源中,变压器次级整流回路的引线长度8mm,寄生电感为8nH,那么这段引线寄生电感折算到变压器原边时,感量变为

可见这个应用中,变压器次级整流回路的寄生电感令等效漏感上升了约13%。在类似的高输入电压、低输出电压的应用中,由于变压器原副边匝比较大,次级整流回路的引线寄生电感对原边等效漏感的影响可能会十分显著,这显然会影响到功率MOSFET的电压应力和电源的转换效率。
由于这个专题的主要内容是RCD电路的分析,漏感优化不作为重点内容,就不占用过多篇幅。而由上面的分析,在这里想特别提醒的是,反激电源在PCB设计时请尽量缩短变压器次级整流回路(变压器引脚-整流二极管-输出滤波电容组成的回路)的长度和包围的面积,这对电源效率、功率元件电压应力、电磁兼容都有显著影响。
(来源:星球号——《反激拓扑RCD吸收(1)变压器漏感》,作者:Preston)
(来源:星球号——《反激拓扑RCD吸收(1)变压器漏感》,作者:Preston)
免责声明:本文为转载文章,转载此文目的在于传递更多信息,版权归原作者所有。本文所用视频、图片、文字如涉及作品版权问题,请电话或者邮箱联系小编进行侵删。






