【导读】滤波器的主要功能是为了去除不想要的频率成分,并且尽可能完整地保留需要的频率成分。现今最常用的四种IIR滤波器分别为:巴特沃斯、贝塞尔、切比雪夫和椭圆滤波器。下面将详细阐述以下这四种滤波器的特点以及区别。
通过判断对一个脉冲激励的响应能否在足够长的时间内完全衰减为0,可以将滤波器分为无限脉冲响应(IIR)和有限脉冲响应(FIR)两种。
在上世纪初滤波器刚刚问世的时候,其功能主要是通过电子电路的方式的方式实现(电阻、电容以及电感组成的电路,即模拟滤波器)。当时滤波器的使用要求非常高,工程师们不但要有非常深厚的基础理论知识,更要有足够的使用经验,才能正确地设计出合适的滤波器。
随着科技的发展,尤其是计算机以及各种集成电路的发展,滤波器技术也越来越成熟,数字滤波器也随之出现。这种滤波器使用一系列数字乘法器、加法器以及时延器来实现对离散信号的滤波功能,在已知传递函数的基础上,设计出滤波器所需参数,然后写入其程序。
滤波器的主要功能是为了去除不想要的频率成分,并且尽可能完整地保留需要的频率成分。现今最常用的四种IIR滤波器分别为:巴特沃斯、贝塞尔、切比雪夫和椭圆滤波器。下面将详细阐述以下这四种滤波器的特点以及区别。
巴特沃斯(Butterworth)滤波器
巴特沃斯滤波器首先由英国物理学家Stephen Butterworth于1930年发明出来。他曾经指出:一个理想的滤波器不应仅仅将不需要的成分剔除,同时也要能够完整地保留需要的成分。这样理想的滤波器在理论上本难以实现,但是Butterworth提出,如果使用足够多合适的元器件将可以无限接近这种理想滤波器的要求。他在论文中指出,如果一个低通滤波器的截止频率为1rad/s,那么可以将其幅值增益设计为

其中ω为角频率,n为该滤波器的阶次。
一个这样的三阶滤波器可以如图示电路实现

这个电路的传递函数为

各元器件的值设置如下:C2=4/3 F,R4=1 Ω,L1=3/2 H,L3=1/2 H。所以传递函数可以写为
使用jω代替s之后,该传递函数的幅值增益即
所有的滤波器设计都是在原型滤波器(低通滤波器)的基础上进行的,将传递函数的s用1/s替换,则可以得到高通滤波器;如果将低通和高通滤波器串联即可得到带通滤波器。N阶Butterworth低通滤波器的传函幅值增益如下

其中n为滤波器阶数;ωc为截止频率;G0为直流增益,即在频率零点处的增益,如果是低通的话,一般设置为1。
根据此特性要求,巴特沃斯低通滤波器的传递函数可由Butterworth多项式来实现,即

传递函数为

下图为1阶到6阶截止频率为1000Hz的Butterworth低通滤波器的幅值特性曲线

Butterworth低通滤波器
由图可见,阶数越高的滤波器在阻带的衰减就越快,对于1阶滤波器,其衰减速度为-6dB/oct或者-20dB/decade;2阶为-12dB/oct,以此类推。当然,阶数越高,所需要的电子元器件也越多,设计越复杂,同时响应特性也越好。
贝塞尔(Bessel)滤波器
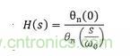
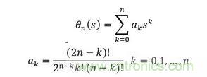
该滤波器的命名来源于德国数学家Friedrich Bessel。1949年,W. E. Thomson将Bessel函数成功地应用到滤波器设计上,所以Bessel滤波器也叫作Bessel-Thomson滤波器。同其他的滤波器一样,Bessel滤波器的原型也是一个低通滤波器,它的传递函数是

其中θn(s)为反贝塞尔多项式(reverse Bessel polynomial),ω0为截至频率

比如一个截止频率为1rad/s的三阶低通滤波器的传递函数为

其幅值增益为

1到6阶截止频率为1000Hz的bessel低通滤波器幅值特性如下图

Bessel低通滤波器
同Butterworth滤波器一样,其阶数越高,阻带衰减也就越快,但是从通带的幅值响应看来,其保留通带部分的能力没有Butterworth滤波器出色。Bessel滤波器具有最平坦的幅度和相位响应。带通的相位响应近乎呈线性。Bessel滤波器可用于减少所有IIR滤波器固有的非线性相位失真。Bessel线性相位滤波器正是由于具有向其截止频率以下的所有频率提供等量延时的特性,才被用于音频设备中。在音频设备中,必须在不损害频带内多信号的相位关系前提下,消除带外噪声。
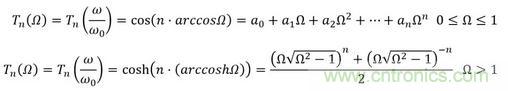
切比雪夫(Chebyshev)滤波器
该滤波器根据俄罗斯数学家PafnutyChebyshev来命名的,因为设计该滤波器所使用的数学模型正是基于切比雪夫多项式。该滤波器的特点是过渡带衰减快,和理想滤波器之间的误差最小,但是在通带(Type I)或者阻带(Type II)存在幅度波动。
I型切比雪夫滤波器:
这是运用得最多得一种切比雪夫滤波器,其传递函数得幅值增益为

其中ω0是截止频率;Tn是n阶切比雪夫多项式

ε是通带幅度波动因子,它与幅值波动δ之间得关系是
当ε等于1时,该滤波器得复制波动为3dB。
1到6阶截止频率为1000Hz的I型切比雪夫低通滤波器幅值特性如下图

I型切比雪夫低通滤波器
II型切比雪夫滤波器:
相较于I型切比雪夫滤波器,II型切比雪夫的应用就要少很多,原因主要有两点,一是它在过渡带衰减得没有I型滤波器快,二是在滤波器的设计上需要更多的元器件。虽然其在通带不再有幅值波动,但是在阻带却出现了等幅值波动,只有在极少数需要此特性的应用场合才会被使用。其传递函数的的幅值增益为

1到6阶截止频率为1000Hz的II型切比雪夫低通滤波器幅值特性如下图

II型切比雪夫低通滤波器
椭圆(Elliptic)滤波器
椭圆滤波器,有时候也被称作Cauer滤波器。这种滤波器在通带和阻带都带有等幅值波动,当然在过渡带的衰减速度也最快。其传递函数为

其中,ω0为截止频率;ε为波动因子;ξ为elliptic rational function的选择因子,值大于等于1。其中ε的值决定通带的波动幅值;ε和ξ一起决定阻带的波动。如果将ξ值设置为∞的话,那么Rn则会变为切比雪夫多项式,那么该滤波器就变为切比雪夫I型滤波器了;如果再此基础上再将ε设为0,使ω0趋近于0,并让εRn(ξ,1/ω0)=1的话,此滤波器就变为巴特沃斯滤波器;如果其他条件不变,使ξ0ω=α的话,则此滤波器则会变为切比雪夫II型滤波器。所以可以说上面的两种滤波器都可以通过限制椭圆滤波器的某些参数而得到。但也正因如此,椭圆滤波器的设计较上面的两种滤波器要复杂一些,应用场合也要少一些。
1到6阶截止频率为1000Hz的椭圆低通滤波器幅值特性如下图

椭圆低通滤波器
滤波器对比
巴特沃斯滤波器:
使用范围最广,因为其完美地保存了通带内的信号,并且在阻带内也没有波动,过度区域的衰减速度虽然比不上切比雪夫滤波器以及椭圆滤波器,但是也不算最慢;
贝塞尔滤波器:
虽然在通带和阻带内都没有波动,但是保留通带信号的能力以及过渡带衰减速度都没有巴特沃斯卓越;
切比雪夫滤波器:
和理想滤波器的误差最小,所以应用场合较多,尤其是I型切比雪夫滤波器,如果能够将其波动因子设置得尽量小的话,其性能甚至比巴特沃斯滤波器要高,但同时也对元器件的要求非常高。
下图为不同的6阶低通滤波器的幅值曲线:

不同滤波器对比
ArtemiS SUITE里的IIR滤波器
在ArtemiS SUITE的滤波池中可直接调用IIR滤波器,如下图。

有三种IIR滤波器可供选择,分别为切比雪夫I型、贝塞尔以及巴特沃斯滤波器。对于不同类型的滤波器可自定义参数。比如对于巴特沃斯滤波器需要定义截止频率和滤波器阶数,如果是带通或者带阻,还需要确定通带/阻带带宽;如果是切比雪夫滤波器的话,还需要确定波动值。
在最下方还可以直观地看到该滤波器的频响曲线,使设计滤波器的过程更加直观准确。
当然ArtemiS可以实现的功能不仅仅是这些,如果勾选上Parametric选项的话,它还可以实现参数滤波器的功能,即原信号其他频率部分不变,只对感兴趣的带宽内的信号作加强/抑制。(只在highpass,lowpass和bandpass时可?。?。
除此之外ArtemiS还提供阶次跟踪滤波的功能,软件将会自动识别所感兴趣阶次的频率并进行滤波,在这种情况下将不必自定义截止频率。
来源:海德声科






