【导读】前面关于运放构成的电压跟随器中运放正负端之间跨接电阻作用的分析,有了基础的分析《运放正负端之间跨接电阻作用的分析(上)》,这里讲继续为大家分析作用,这里将结合仿真结果来详细分析运放正负端之间跨接电阻作用。
仿真结果
图1(R6=1欧姆)

图2(R6=1欧姆)

从仿真结果来看R6的加入使得系统函数的极点少了两个,改善了系统的稳定性,在加入R6之前,系统的相位裕量为107度,幅度裕量为9dB,最大相移270度。而加入R6之后,相位裕量大于137度,而且最大相移降低到90度,这说明稳定性有了很大的改善。R6的加入实际上使得系统的3dB带宽降低了,由原来的5.8MHz降为3.4MHz。但在高频段在加入R6之前,幅度按60dB/10倍频程衰减,加入R6后,幅度按20dB/10倍频程衰减。在7.5MHz左右两个幅频曲线相交,此时幅频响应为-7.8dB。在交点右边,加入R6后电路的幅频响应曲线大于不加入R6的电路。
图3(R6=1欧姆)

图3表明,加入R6后,群时延从62.5nS降低到22.6nS。
[page]
仿真结果表明,加入R6后,电路稳定性得到提升,群时延减小,但3dB带宽降低了,当频率超过7.5MHz后加入R6后的电路幅频响应大于不加R6的电路。
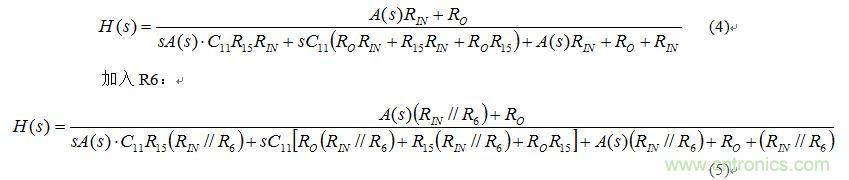
为什么加入R6会使系统的极点由3个变为1个呢,对此不解,因此将增益A用A(s)代替,将系统函数写为:不加入R6:

从系统函数来看仍然不能得到结果,因为不知道A(s),Rin,Ro的值,无法得到R6的加入为什么能将原来的极点数减少两个。
于是仿真了更宽的频带(如图4),发现在不加R6的情况下,系统在1THz附近还有两个零点,结合式(4)和式(5),可得出A(s)为二阶,不加R6时,系统传递函数为 (4) 式,有三个极点,两个零点,并且三个极点均分布在6.2MHz左右,而两个零点位于1THz附近,和低频段的极点相距甚远,所以在1THz以下,系统表现出3个极点的特性。加入R6后系统传递函数为(5)式,仍然有三个极点,两个零点,但三个极点和两个零点的位置均在3.5MHz左右,所以从幅频特性曲线上看,只看到一个极点的影响。R6的作用是将位于高频段的零点搬到低频段,使系统表现为只有一个极点,提升了系统的稳定性,减小了群时延,降低了在高频段的衰减量,但同时也降低了3dB带宽。
令R6=150k,仿真得到图5,R6将两个零点从1THz附近搬移一1GHz附近,映证了前面的分析。加入R6后,在1GHz以下,系统表现为三个极点的特性,在1GHz以上由于两个零点开始发挥作用,表现为1个极点的特性。
图4(R6=1欧姆)

图5(R6=150k)






