整流,就是把交流电变为直流电的过程。利用具有单向导电特性的器件,可以把方向和大小交变的电流变换为直流电。下面介绍利用晶体二极管组成的各种整流电路,以及在学习过程中会遇到的一些问题的解决方法,希望通过这篇文章给想学习整流电路的同学于帮助。
一、半波整流电路

图1 简单的整流电路
上图是一种最简单的整流电路。它由电源变压器B 、整流二极管D 和负载电阻Rfz ,组成。变压器把市电电压(多为220伏)变换为所需要的交变电压e2 ,D 再把交流电变换为脉动直流电。
下面从波形图上看着二极管是怎样整流的

图2 简单整流电路波形图
变压器砍级电压e2 ,是一个方向和大小都随时间变化的正弦波电压,它的波形如图5-2(a)所示。在0~K时间内,e2 为正半周即变压器上端为正下端为负。此时二极管承受正向电压面导通,e2 通过它加在负载电阻Rfz上,在π~2π 时间内,e2 为负半周,变压器次级下端为正,上端为负。这时D 承受反向电压,不导通,Rfz,上无电压。在π~2π 时间内,重复0~π 时间的过程,而在3π~4π时间内,又重复π~2π 时间的过程…这样反复下去,交流电的负半周就被"削"掉了,只有正半周通过Rfz,在Rfz上获得了一个单一右向(上正下负)的电压,如图5-2(b)所示,达到了整流的目的,但是,负载电压Usc 。以及负载电流的大小还随时间而变化,因此,通常称它为脉动直流。
这种除去半周、图下半周的整流方法,叫半波整流。不难看出,半波整说是以"牺牲"一半交流为代价而换取整流效果的,电流利用率很低(计算表明,整流得出的半波电压在整个周期内的平均值,即负载上的直流电压Usc =0.45e2 )因此常用在高电压、小电流的场合,而在一般无线电装置中很少采用。
[page]
二、全波整流电路
如果把整流电路的结构作一些调整,可以得到一种能充分利用电能的全波整流电路。下图是全波整流电路的电原理图。

图3 全波整流电路图
全波整流电路,可以看作是由两个半波整流电路组合成的。变压器次级线圈中间需要引出一个抽头,把次组线圈分成两个对称的绕组,从而引出大小相等但极性相反的两个电压e2a 、e2b ,构成e2a 、D1、Rfz与e2b 、D2 、Rfz ,两个通电回路。
全波整流电路的工作原理,可用图5-4 所示的波形图说明。在0~π 间内,e2a 对Dl为正向电压,D1 导通,在Rfz 上得到上正下负的电压;e2b 对D2 为反向电压, D2 不导通(见下图在π-2π时间内,e2b 对D2 为正向电压,D2 导通,在Rfz 上得到的仍然是上正下负的电压;e2a 对D1 为反向电压,D1 不导通(见下图如此反复,由于两个整流元件D1 、D2 轮流导电,结果负载电阻Rfz 上在正、负两个半周作用期间,都有同一方向的电流通过,如图所示的那样,因此称为全波整流,全波整流不仅利用了正半周,而且还巧妙地利用了负半周,从而大大地提高了整流效率(Usc =0.9e2,比半波整流时大一倍)。

图4 全波整流电路整流波形图


图5 全波整流电路图
上图所示的全波整滤电路,需要变压器有一个使两端对称的次级中心抽头,这给制作上带来很多的麻烦。另外,这种电路中,每只整流二极管承受的最大反向电压,是变压器次级电压最大值的两倍,因此需用能承受较高电压的二极管。
三、桥式整流电路
桥式整流电路是使用最多的一种整流电路。这种电路,只要增加两只二极管口连接成"桥"式结构,便具有全波整流电路的优点,而同时在一定程度上克服了它的缺点。
桥式整流电路的工作原理如下:
e2 为正半周时,对D1 、D3 和方向电压,Dl,D3 导通;对D2 、D4 加反向电压,D2 、D4 截止。电路中构成e2 、Dl、Rfz 、D3 通电回路,在Rfz ,上形成上正下负的半波整洗电压,e2 为负半周时,对D2 、D4 加正向电压,D2 、D4 导通;对D1 、D3 加反向电压,D1 、D3 截止。电路中构成e2 、D2 Rfz 、D4 通电回路,同样在Rfz 上形成上正下负的另外半波的整流电压。上述工作状态分别如图所示。

图7 桥式整流电路工作原理图
如此重复下去,结果在Rfz ,上便得到全波整流电压。其波形图和全波整流波形图是一样的。从图5-6中还不难看出,桥式电路中每只二极管承受的反向电压等于变压器次级电压的最大值,比全波整洗电路小一半
[page]
学习整流电路问题集锦:
问:分析桥式整流电路,四个二极管为什么要这么接?

图8 四个二极管为什么要这么接
答:因为变压器出来的是交流电,你需要的是直流电,而二极管具有单向导通的特性,所以你1脚上永远是正极,2脚上永远是负极,出来后并了个电容是滤波的,得到更稳定的直流电源假如变压器上面的抽头这一秒是正极,出来经过二极管上左边那个截止,上右边那个二极管导通,正极流向1脚。假如变压器上面的抽头下一秒是负极,左边的导通,负电子流向2脚,右边的截止。变压器下边的抽头,情况和上面的一样,利用二极管单向导通的特性,让1脚永远是正极,2脚永远是负极。但是二极管反向的时候还是会有小部分交流电漏过,所以虽然整流后但得到的不是纯净的直流电,所以要加电容滤波,后面是个稳压三极管,然后再滤波,就是你想要的直流电源了。
问:在桥式整流电路中,如果一个二极管发生开路,短路或反接,将会出现什么情况?
答:桥式整流通常是指由四支二极管组成的全波整流电路,当通电后,若其中一支二极管开路时,则变成半波整流电路。若其中一支二极管短路时,当此管在上桥臂,则相邻下桥臂二极管会短路损坏;当此管在下桥臂,则相邻的上桥臂二极管会短路损坏。当然,因短路电流通过PN结,也可能会使其变为开路。若其中一支二极管反接时,则电源会通过与其相邻的另一支二极管形成短路,此两管都因通过短路电流后而损坏。当然,这种短路也会造成前级电路的反应(保险熔断或跳闸)。
问:桥式整流二极管的正负极判断
答:对于二极管来讲:1、电流流入的是正极,流出的是负极。2、整流输出正电压的那端是二极管的负极;输出负电压的那端是二极管的正极。
问:怎样根据单相桥式整流电路的工作原理判断输出平均电压?
答:桥式整流电路计算主要参数:
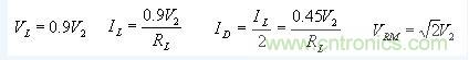
1.单相桥式整流电路输出不带电解电容滤波的,输出电压为变压器次级电压(有效值)的0.9倍。
2.单相桥式整流电路输出带电解电容滤波的,输出电压为变压器次级电压(有效值)的1.2倍。
3.只接电容,滤波后的电压是变压器输出的1.414倍。(是最大值)。只接电感滤波后的电压是变压器输出的1.2倍。(有效值)。又接电感及电容滤波后的电压也是变压器输出的1.414倍(是最大值)。只整流不滤波输出的电压只是变压器输出的0.9倍。(有效值)

问:桥式整流电路中的滤波电容大小怎么计算?
答:桥式整流电路的滤波电容取值在工程设计中,一般由两个切入点来计算。
一是根据电容由整流电源充电与对负载电阻放电的周期,再乘上一个系数来确定
另一个切入点是根据电源滤波输出的波纹系数来计算的,无论是采用那个切入点来计算滤波电容都需要依据桥式整流的最大输出电压和电流这两个数值。
通常比较多的是根据电源滤波输出波纹系数这个公式来计算滤波电容。
C》0.289/{f×(U/I)×ACv}
C是滤波电容,单位为F;
0.289是由半波阻性负载整流电路的波纹系数推演来的常数;
f是整流电路的脉冲频率,如50Hz交流电源输入,半波整流电路的脉冲频率为50Hz,全波整流电路的脉冲频率为100Hz。单位是Hz。
U是整流电路最大输出电压,单位是V;
I是整流电路最大输出电流,单位是A;
ACv,是波纹系数,单位是% 。
例如,桥式整流电路,输出12V,电流300mA,波纹系数取8%,滤波电容为:C》0.289/{100Hz×(12V/0.3A)×0.08}滤波电容约等于0.0009F,电容取1000uF便能满足基本要求。
【相关阅读】
整流电路
http://baike.cntronics.com/tech/7581#zs_con
桥式整流电路的工作原理
http://baike.cntronics.com/abc/7621
三相整流电路
http://baike.cntronics.com/tech/7615
精密整流电路介绍
http://baike.cntronics.com/abc/4743




