导读:在LED照明灯具快速发展替换传统照明的形势下,市场也出现了可调光LED照明的需求。但是在目前绝大多数的情况下,都是采用可控硅调光技术,由此而导致LED电源输入电流会产生周期性的持续的尖峰电流。这对保险丝的选型提出了一个新的问题:面对持续不断的尖峰脉冲该如何选择保险丝。本文从理论上进行分析推理,并结合实际应用中的案例,试着提出一个可供参考的选型思路。
当普通的保险丝选型遇到使用可控硅调光的LED照明电源的保险丝选型时遇到了困难,因为在此情况下,每个市电周期都会产生2个比较高的尖峰电流冲击保险丝,这个尖峰电流不同于开机脉冲,是一个持续不断的冲击过程。本文试着提出针对此情况的一个可供参考的保险丝选型思路。
1、从保险丝温升角度选型
1.1 对于简单持续尖峰电流,从控制温升角度看,可控硅调光的应用,保险丝的规格应该:

理论上连续的尖峰不能引起保险丝的温升持续增加,其中一个充分非必要条件:
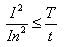
如果保险丝符合IEC 60127标准,

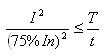
如果保险丝符合UL标准,

假设:保险丝(规格为In)经受电流为I宽度为t,周期为T的持续性电流冲击。
[member]
如果保险丝通以一定的电流(Ix)可以永久工作,那么此时保险丝的聚热与散热一定处于平衡状态,此时保险丝的散热功率为Ix2T。如果尖峰电流产生的能量≤Ix2T,可以认为尖峰电流产生的能量不可能使保险丝的温升大于Ix时的温升。对于满足不同的安规体系,Ix的数值有所区别,IEC体系下可以认为等于In;UL体系下可以认为等于75%In。

图1 周期性尖峰电流
1.2 一般情况:对于电路中周期性持续尖峰电流+平稳电流的选型
如果电路中不仅有尖峰电流,还存在有效值为Ir的持续平稳电流,那么通过以上分析,简单推理可得到,保险丝规格:


图2
1.3 以上数值需要再考虑温度折减
一般LED照明的电源绝大部分都是内置式的,灯具内部的环境温度比较高;即使是外置的电源,也是有外壳紧紧包裹,电源在工作时也会产生比较高的温度。所以以上数值需要根据工作环境温度和各个不同的保险丝供应商的参数进行相应的温度折减。
2、从耐受脉冲角度看,如果要满足2万小时的寿命,脉冲折减系数应该 <1.3%;5万小时寿命,折减系数应该 <1%
2.1 在满足了第1条温升不超过载流时的条件,那么就可以将各个电流尖峰当做独立的脉冲冲击来看待。
2.2 如果要达到2万小时的寿命,保险丝需要经受近100亿次的冲击,而此数据很难利用实验数据达到,所以在此根据已有的信息作趋势分析。分析步骤如下:
>> 主要保险丝公司(AEM, Bussmann, Littelfuse)的Wire-in-air类型产品的耐受冲击次数与折减比率如下表格:

>> 分别将冲击次数(times)和折减比率(Ratio)取对数,并将新数据绘成散点图;呈现很强的线性关系。
取对数的目的是:原数据成指数关系,数值差异很大,取对数可以更方便看出关系。

图3 耐脉冲次数与折减比率对数散点图
>> 将此数据用线性方程拟合,可得到以下关系:
lg(ratio) = -0.092 – 0.111*lg(times),通过t检验,此方程关系非常显著,如下表。

图4

表1 Dependent Variable: lgratio
>> 预测100亿次(2万小时+)和1000亿次(20万小时+)的脉冲折减比率期望值分别为:2.6%和2%。但是基于现有数据预测是有误差的,从统计学的角度,有95%的把握分别落在(1.3%, 3.8%)(1%, 3.1%)范围内。在实际计算中,我们都取下限作为计算标准。

表2 预测结果
2.3 在满足以上的折减比率,还需要针对工作温度进行I2t的温度折减,然后根据恰当的数据选择合适的保险丝规格。
3、考虑开机脉冲
在实际选型中,除了以上2点之外,还需要考虑在普通选型条件下的开机脉冲问题。由于电源一般都会在电源输入端使用滤波电容,而导致在开机瞬间会产生比较高的尖峰脉冲。一般在选型中认为,保险丝至少要经受10万次的开机脉冲的冲击,才能保证在正常工作时保险丝不会发生异常熔断,也就是说至少要按照22.2%的折减系数进行折算。当然,由于灯具的开机往往不能保证一定是冷开机,比如说厕所灯就会遇到频率的开关机,所以在做脉冲折减时,还需要考虑温度折减的因素。
4、案例分析
以下为实际应用时量测到电源正常工作时的波形:电流尖峰 max 3.6A,宽度约为1.2ms;正常电流约为0.03A,正常工作时温度可以达到85℃。

图5 开机脉冲的波形

图6





