中心议题:
- 通过电荷分布曲线近似的解析方法,计算了多晶硅量子效应对阈值电压的影响
解决方案:
- 计算了在不同掺杂浓度下多晶硅量子效应所引起的MOSFET阈值电压的偏移
随着微电子工业的发展,器件的特征尺寸已经发展到了纳米量级[1],并且将向着沟道长度为10 nm的方向发展。在这种器件中,为了抑制短沟道效应、DIBL效应,体硅通常采用高掺杂,此时由于器件的尺寸很小,量子效应对器件特性的影响已经不容忽视。自20世纪70年代以来,对量子效应的研究已得到广泛的关注,主要是通过数值模拟或解析近似的方法,对体硅从积累到反型时的量子效应进行计算[2-7]。而大多认为在多晶硅中,能量弯曲很小,没有明显量子效应,用经典的方法可对多晶硅进行描述[7-9]。已有的对多晶硅量子效应的研究也是基于多晶硅/二氧化硅/体硅的全量子模型的数值模拟计算[10]。本文通过电荷分布曲线近似的解析方法,计算了多晶硅量子效应对阈值电压的影响。
1 多晶硅量子效应
在通常的MOSFET中,随着外加电压的改变,高掺杂的多晶硅从积累到耗尽转变,多晶硅中能带弯曲的不大,被认为不会形成深的量子阱。一直以来,多晶硅中载流子的分布大多用经典的方法进行描述,而在体硅沟道中用经典或量子模型进行描述。研究表明在多晶硅/二氧化硅界面[10],由于能带突变,对多数载流子的波函数会产生影响。量子效应下,电荷被推离界面,从而形成大概几个纳米的“dark space”耗尽层。与经典的电荷分布不同,当经典的耗尽宽度小于或与“dark space”的宽度相近的时候,需要用量子的定义。为简单起见,本文以N型多晶硅NMOS结构为例。

图1 量子效应下载流子和经典情况 下多晶硅中载流子的分布对比
图1给出了不同的栅压下考虑多晶硅量子效应时多晶硅中载流子的分布和经典下载流子的分布,图中CL为经典描述下载流子分布,QM为考虑量子效应下载流子的分布。体原封不动掺杂为1018 cm−3,多晶硅掺杂为1020 cm−3。当所加电压为负电压和栅压为阈值电压时,量子效应下的载流子分布与经典的情况有很大的差别,而加的正电压很大时,量子情况与经典情况没有很明显的差别。这是由于在外加电压为负时,能带的突然变化对电子波函数有显著影响;而外加电压为正的时候,对电子波函数影响很小。
本文采用电子分布曲线拟合近似,设多晶硅/二氧化硅界面处为0=x点,向上为正,峰值处的点的坐标为,分别用以下分布来近似上升和下降阶段的载流子分布:
(1)
(2)
式中
为多晶硅中的掺杂浓度;
是电子的扩散长度,它是多晶硅中掺杂浓度的函数,很快就能计算出;
为峰值处的电子浓度比平衡时多出的部分。令:
(3)
通过在不同的栅压时βαγ,取不同的拟合值,能较好地近似体硅从积累到反型的各种情况下载流子的分布。同时所取的βαγ,必须满足电中性条件:
(4)
即
(5)
式中Qsq为考虑量子效应时体硅的面电荷密度。

图2 电子分布的数值模拟与近似分布曲线
图2给出了掺杂浓度为1020 cm−3,对应栅压为阈值电压时的近似曲线与数值模拟分布曲线的对比,发现近似曲线和模拟分布曲线在所研究的区间上能很好地符合,说明近似方法具有很好的准确性。另外根据量子计算,电子分布的峰值可用电子的第一个波函数的第一个峰值处近似计算:

式中 ,![]()
为电子能量,
为多晶硅/二氧化硅界面相对于栅表面的电势差。
[page]
2 对阈值电压的影响
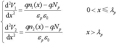
在多晶硅中的泊松方程为
(7)
由式(1)、(2)可得,电子浓度分布下多晶硅中的泊松方程为:
(8)(9)
式中 当边界条件在∞→x时,
。求解得到多晶硅栅上的电场及电势分布为:
(10)
(11)
(12)
(13)
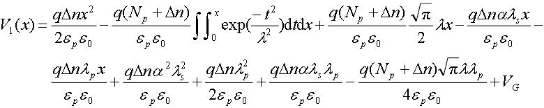
则
(14)
由于
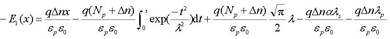
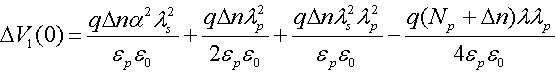
为多晶硅/二氧化硅界面处的电势与栅上所加电压的差,则多晶硅栅上的压降
。则考虑多晶硅量子效应的
小于不考虑多晶硅量子效应时的
时,即导致阈值电压的减小。不考虑多晶硅量子效应(多晶硅用耗尽模型)时,多晶硅栅上的压降)
(15)

图3是栅压为阈值电压时的多晶硅中电场和电压分布,图中体硅掺杂为
,多晶硅掺杂为
,二氧化硅厚度为5 nm??梢钥吹娇悸嵌嗑Ч枇孔有вκ毖趸愕绯”炔豢悸嵌嗑Ч枇孔有вκ贝?,这是由于偶极子的产生使电场发生扭曲,增加了氧化层中的电场,使得在体硅中的载流子增加,也就意味着多晶硅量子效应会导致阈值电压的减小。
通过曲线近似,能定出不同掺杂浓度下的γβα,代入式(14)可以得到即为多晶硅上的电压降。

图4 不同掺杂浓度下考虑多晶硅量子效应与不考虑多晶硅量子效应时多晶硅栅上压降之差
图4给出了不同的多晶硅掺杂下,考虑多晶硅量子效应相对于只考虑体硅量子效应时MOSFET阈值电压偏移的数值模拟结果与本文的模型结果。图中体硅掺杂浓度为
,二氧化硅层厚度为3 nm,可以看到随着多晶硅掺杂浓度的增加,多晶硅量子效应对MOSFET阈值电压的影响增大,而且变化很快,在掺杂低时候基本可以忽略,而在多晶硅掺杂浓度高时则不能忽略。但在小尺寸MOSFET中,多晶硅掺杂都很高,通常在
量级,此时量子效应不能忽视。同时可看到,通过与数值模拟结果[10]比较,本文模型具有很好的准确性。
基金项目:国家自然科学基金资助项目(60276042); 安徽省自然科学基金资助项目(01044104)
作者简介:孙家讹(1983 – ),男,硕士生,主要从事微电子学方面的研究.





