中心论题:
- 硬开关电路设计实例。
- 软开关电路设计实例。
- 升压型DC/DC转换器的电路结构。
解决方案:
- 由特定器件构成的充放电回路有效地消除键的抖动。
- 通过74HC14三个带施密特触发器的反相器滤波整形产生波形完整的单脉冲。
- RN5RK331A DC/DC转换器保证在电池的整个寿命周期内机器稳定工作。
- 周期性的开关操作使电池能量源源不断地送入负载。
随着信息时代的来临,手持电子产品层出不穷(如PDA、数码相机、手机等)。这些产品主要采用电池供电,在此类产品中如何设计电源管理电路,确保产品的实用性、经济性成为产品设计的关键问题。本文从设计手持产品的工作实践出发,讨论两种典型的电池供电电路的设计情况。
硬开关电路设计实例
硬开关电路是将2节7号电池的串联电压通过DC/DC转换器MAX756转换成3.3 V的电压,电路图如图1所示。如果不经升压电路而直接由电池供电,那么因电池端产生的电压存在一个由高到低的下降过程。2节新电池的串联电压在3 V以上,随着能量的耗尽,会下降到2V以下,导致机器无法正常工作。JM2按键为开/关机键,在按动JM2时,由于按键的抖动,会产生误动作。由R20, C13, R21,R22, R23, V9构成的充放电回路,作用是通过适当地选择R20,C13,R21的值,使充放电回路的充电时间与放电时间都大于键抖动时间,从而有效地消除键的抖动。V9集电极输出的按键脉冲经去抖后,再通过U25 (74HC14)三个带施密特触发器的反相器进一步滤波整形,产生波形完整的单脉冲。由该脉冲触发U24A(74HC74 D触发器)的翻转。
图1中:
① 若U24A的5脚Q端输出高电平,则6脚Q端输出低电平,该低电平输入到MAX756的1脚禁止端(低电平有效)。此时MAX756处于关断状态,但由于DC/DC转换电路中的脉冲整流管V5的存在,电池电压仍然经V5到达DC/DC的输出端6脚。因此,在电路中还必须加一个晶体管V11作为开关元件。在U24A的6脚Q端输出低电平使MAX756处于禁止状态时,U24A的5脚Q端输出高电平使晶体管V11处于截止状态,从而使电池到主电路的电源VCC的通路处于彻底关断状态,机器处于关机状态,并且关机时整机电流为最小,经测量不超过5uA。
② 当按键脉冲触发U24A(74HC74 D触发器)翻转,U24A的5脚Q端输出低电平,6脚Q端输出高电平时,MAX756处于工作状态,因输出电压控制端2脚为高电平,所以输出+3.3 V的电压。同时,U24A的5脚Q端输出低电平促使晶体管V11处于导通状态,这样MAX756输出可为主电路提供工作电源,机器处于开机状态。
在开机状态下,单片机的输出SWPW保持为低电平。当单片机将SWPW输出改为高电平时,通过V10构成的反相电路输出低电平,使U24A置1端有效,U24A的5脚Q端输出高电平,6脚Q端输出低电平,机器将被关机,所以SWPW可作为“自动关机”信号。由于在单片机上电复位时1/O口输出为高电平,复位时的SWPW高电平会引起“复位误关机”现象。为防止这种现象的发生,在SWPW输出电路中加了由R25,C14构成的充电回路,适当选择R25,C14的取值,复位后在R25,C14充电回路未充到V10导通的阀值电平0.7 V 之前将SWPW置为低电平,便可避免“复位误关机”现象。
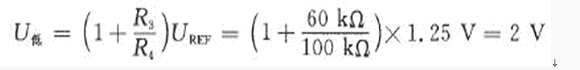
MAX756的5脚LBI是电池低电压的检测引脚,如果该引脚上的电压下降到内部参考基准电压1.25 V以下,MAX756的4脚LBO(漏极开路型输出)便会输出低电平,可作为电池低压报警信号。报警电压点的设定依据有两个。
① 国标要求电池终止电压为0.9 V 。经过实际测量,当2节7号电池的串联电压降到2V以下时,电池能量即将耗尽,已不能维持产品持续稳定工作。因此将电池低压检测报警点设定在2 V。
② MAX756的报警电压U低计算公式为:
之所以称该电路为硬开关电路,主要原因在于按下JM2便可实现开关机,无须再由单片机来辅助。SWPW的作用是实现定时自动关机。接下来讲的电池供电电路在按键控制开关机时必须有单片机来辅助才行。
软开关电路设计实例
在图2所示的电源管理电路中,采用了日本理光公司的RN5RK331A DC/DC转换器,将电池提供的电压变换为3.3 V的电压后再供给主电路,保证在电池的整个寿命周期内机器都能稳定工作。
该电路的开/关机的过程分为这样两种情况:
① 在关机状态下,JM16键作为开机键使用。按下JM16,电池电压经V1到达V5的基极,促使V5和V7导通;电池电压经V7到DC/DC转换器RN5RK331A 的输入端和使能端,DC/DC转换器开始工作,向主电路输出3.3 V电源。支付密码器进入开机状态后,再由单片机的P3.6输出低电平并经反相后通过V2使V5和V7保持导通状态,这样即使JM16键松开后,支付密码器也能维持开机状态,P3.6 输出低电平起到开机自保的作用。
② 在开机状态下,JM16键作为关机键使用。未按下JM16键时,SWH信号点为低电平。按下JM16键,SWH信号点为高电平,这一信号变化通过键盘接口被单片机读取;在开机时检测到JM16的闭合,可确定为关机命令;等到JM16键松开后,单片机的P3.6输出高电平并经反相后通过V2使V5和V7变为截止状态,支付密码器因为没有电源供给而关机。在该供电电路中晶体管V7是电池供电的开关元件,将它设在DC/DC转换电路的前面,关机时将DC/DC转换器的供电回路完全切断,进一步减小了关机时的漏电流。整机关机后,经检测,关机电流小于5uA。图2中的电池低电压检测报警由日本理光公司的RN5VT20CA(U9)实现,检测电压为固定值2V。
与图1相比较,用JM16键开机后,还必须利用单片机P3.6 输出低电平实现开机自保,因此称该电路为“软开关电路”。使用该软开关电路的优点是无须考虑按键去抖动问题,硬件电路简单,可降低硬件成本,节约印制板板面,在手持式产品中印制板板面是非常宝贵的(元器件的数量直接影响印制板的大小和产品整体外观)。缺点是当受到外界强信号干扰或由于电池电量不足而引起死机时,按键JM16将不起作用,必须取出电池,再重新装入方能解决死机现象。当然这种情况出现的机率极低,且因电池电量不足而引起死机时,就需要更换电池了。而图1的硬开关电路中,当碰到死机现象时,无需触摸电池,通过按键JM2就能实现开机和关机。
电源滤波
在以上介绍的DC/DC转换电路中,采用的是DC/DC升压转换器件,升压型DC/DC转换器的电路结构如图3所示。
开关K导通时电池BT给电感L充电,在L中以场的形式储存能量1/(2L×I2)。 其中,I为电感电流。K断开后,L中的磁能又以电能的形式释放给滤波电容C2和负载RL。周期性的开关操作使电池能量源源不断地送入负载,而输出电压被转换为:
Vout = Vin/(1-δ)
式中,δ为开关占空比(导通时间占工作周期的比率)??刂频缏芳嗖馐涑龅缪共⒖刂普伎毡?,从而达到调节和稳定输出电压的目的。本文介绍的DC/DC升压转换器件的控制方式均为PFM(脉冲频率调制),具有较小的静态电流,轻载情况下效率较高,但纹波稍大。为保证主电路稳定工作,必须考虑对电源输出进行滤波。一般采用无源滤波电路来进行滤波,无源滤波的主要形式有电容滤波、电感滤波和复式滤波(包括倒L型,LCπ型滤波和RCπ型滤波等)。当采用电感滤波或复式电感型滤波时,需采用电感量高、体积大的电感,对手持、便携式产品并不适用,所以在负载电流较小的场合,采用RCπ型滤波,结构简单、经济,滤波效果也比较好。滤波电容的等效串联电阻<ESR)是造成输出纹波的主要因素,电容的材质应选择具有较低ESR的陶瓷电容、铝电解电容和钮电解电容,应尽量避免标准铝电解电容。采用RCn型滤波时,输出电压两端的脉动系数S=1/(Kω×C×R)。K为常数,由该公式可知,在ω值一定的情况下,R愈大,C愈大,则脉动系数愈小,也就是滤波效果就越好。R值增大时,电阻上的直流压降会增大,这样就增大了直流电源的内部损耗;若增大C的电容量,又会增大电容器的体积和重量,也不易实现,因此电容的容量一般为10-100 uF,电阻的值一般在10 Ω以下。
结语
以上介绍的两种电池供电电路,都是将电池电压转换为+3.3 V直流电压,为单片机应用系统提供工作电源的DC/ DC升压电路。这类电路主要用在由2节7号电池供电的PDA、手持终端等产品中,其他类产品(如手机、数码相机)的电池供电电路会有所不同,但工作原理基本相似。在电池供电电路的设计中,都会面临如何实现开关机、降低关机电流、减小输出电源中的纹波和干扰信号、提高转换效率等一系列问题。只有妥善地解决这些问题,才能确保产品稳定可靠地工作。本文所讲的两个实例较好地解决了这方面的问题,已经在产品中实际应用,效果良好。当然随着新器件的不断涌现,还需不断地改进和完善此类电路的设计,以提升产品的整体性能。





