【导读】近年来,电池供电电子产品的普及使功耗成为模拟电路设计人员越来越重视的问题。本文中将介绍如何使用低功耗运算放大器进行系统设计,同时也会涉及具有低电源电压能力的低功耗运算放大器及其应用,并讨论如何正确理解运算放大器规格书中的规格参数,综合考虑电路设计上的节能技术,实现更高效的器件选型。
引言
近年来,电池供电电子产品的普及使功耗成为模拟电路设计人员越来越重视的问题。本文中将介绍如何使用低功耗运算放大器进行系统设计,同时也会涉及具有低电源电压能力的低功耗运算放大器及其应用,并讨论如何正确理解运算放大器规格书中的规格参数,综合考虑电路设计上的节能技术,实现更高效的器件选型。
了解运算放大器电路中的功耗
首先,我们会讨论具有低静态电流 (IQ) 的放大器以及增加反馈网络电阻值与功耗的关系。
让我们首先考虑一个可能需要关注功率的示例电路:电池供电的传感器在 1kHz 时生成 50mV 幅度和50mV偏移的模拟正弦信号。信号需要放大到0V至3V 的范围以进行信号调节(图 1),同时要尽可能节省电池电量,这将需要增益为 30V/V的同相放大器配置, 如图 2 所示。那么,我们应该如何来优化该电路的功耗呢?

图 1 : 示例电路中的输入及输出信号(图片来源: Texas Instruments)

图 2:传感器放大电路(图片来源: Texas Instruments)
运算放大器电路的功耗由多种因素组成,分别是静态功率、运算放大器输出功率和负载功率。静态功率 (或简称PQuiescent) 是保持放大器开启所需的功率,数据表中一般以 IQ(静态电流)表示,例如下图中Texas Instruments OPA391规格书中的显示。

图3:TI OPA391运放的静态电流 (图片来源: Texas Instruments)
输出功率 ( POutput )是运算放大器输出级驱动负载时消耗的功率。最后,负载功率 ( PLoad )是负载本身消耗的功率。
在本例中,我们有一个单电源运算放大器,其正弦输出信号具有直流电压偏移。因此,我们将使用以下等式来计算总平均功率 (Ptotal avg) 。电源电压由V+表示, Voff是输出信号的直流偏移,Vamp是输出信号的幅度,RLoad是运算放大器的总负载电阻。需要留意的,平均总功率与IQ直接相关成正比,而与RLoad成反比。

选择具有合适 IQ 的元器件
由于从以上公式5和6中有多个可变项,在选料时最好只考虑一项。选择具有低IQ的放大器是降低整体功耗的最直接策略。当然,在这个过程中有一些权衡。例如,具有较低IQ的设备通常具有较低的带宽、较大的噪声并且可能更难以稳定。
由于不同类型的运算放大器的 IQ 可能存在倍数级的差异,因此花时间选择合适的放大器是值得的。以下引用TI TLV9042、OPA2333、OPA391和TLV8802作比较。单纯从数字上的分析,对于需要最大功率效率的应用,TLV8802 将是一个很好的选择。

表1 : 各类低功耗运算放大器比较表
降低负载网络的电阻值
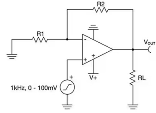
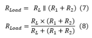
现在继续考虑公式 5 和 6 中的其余项。 Vamp项相互抵消,对Ptotal,avg和Voff没有影响,通常由应用中预先确定?;痪浠八担低澄薹ㄊ褂肰off来降低功耗。类似地,V+轨电压通常由电路中可用的电源电压设置。另外,RLoad也是由应用预先确定的。但是,RLoad是包括任何负载输出的组件,而不仅是负载电阻器RL。在图 1 所示电路的情况下,RLoad将包括RL和反馈组件R1和R2。因此,RLoad将由等式7和8定义如下。

通过增加反馈电阻的值,系统中放大器的输出功率亦相应降低。当Poutput支配PQuiescent时,此技术特别有效,但也有其局限性。如果反馈电阻变得明显大于RL,则RL将主导RLoad,从而使功耗停止下降。大反馈电阻器还会与放大器的输入电容相互作用,使电路不稳定并产生明显的噪声。
为了最大限度地减少这些组件的噪声产生,最好将在每个运算放大器输入端(见下图4)看到的等效电阻的热噪声与放大器的电压噪声频谱密度进行比较。经验法则是确保放大器的输入电压噪声密度规格至少是从放大器的每个输入端观察到的等效电阻的电压噪声的三倍。

图4:电阻器热噪声(图片来源: Texas Instruments)
现实世界中的例子
使用这些低功耗设计技术,让我们回到最初的问题:在1kHz下生成0到100mV模拟信号的电池供电传感器需要30V/V的信号放大率。下图5比较了两种设计。左侧的设计使用典型的3.3V电源、尺寸不考虑节能的电阻器和 TLV9002通用运算放大器。右侧的设计使用更大的电阻值和更低功耗的TLV9042运算放大器。请注意,当TLV9042反相输入端等效电阻约为9.667kΩ時,噪声频谱密度是少于放大器的宽带噪声的三分之一,以确保运算放大器的噪声在电阻器产生的任何噪声中占主导地位。

图5:典型设计与细微的设计(图片来源: Texas Instruments)
使用图5中的值、设计规范和两款运算放大器的规格,可以利用公式6分别得出TLV9002设计和TLV9042设计的Ptotal,avg。结果分别显示于公式 9 和 10 。

从以上结果得出,TLV9002设计的功耗是TLV9042设计的四倍多。这是较高放大器IQ的结果,亦显示利用高IQ的运算放大器,就算尝试使用低反馈电阻值的情况下,亦不会有显著的功耗节省。以上例子我们有两个技巧,就是增加电阻值和选择具有较低静态电流的运算放大器。这两种策略在大多数运算放大器应用中都可用。
使用低电压轨省电
再重温公式 1 和 6 定义具有正弦信号和直流偏移电压的单电源运算放大器电路的平均功耗:

另外,从公式6中的V+是代表线路的电源轨 (V+),它是直接与功耗成正比,所以将电源轨 (V+)设置为电路中最低可用的电源电压,这也是一个降低功耗的方法。许多运算放大器的最低电源电压范围为2.7V或3.3V。之所以有此限制的原因,与将内部晶体管维持在所需工作范围内所需的最低电压有关。一些运算放大器设计用于低至1.8V甚至更低的电压。例如,TLV9042通用运算放大器可以在1.2V电压轨下工作。
电池供电的应用
当今的传感器和智能设备大部份是由电池供电,电池的端电压在放电时会从其标称额定电压降低。例如,一节碱性AA电池的标称电压为1.5V。第一次空载测量时,实际端电压可能接近1.6V。随着电池放电,该端电压会下降到1.2V甚至更远。
使用能够在低至1.2V 的电压下工作的运算放大器而不是更高电压的运算放大器进行设计,可提供以下优势:
1. 运算放大器电路将继续工作更长时间,即使电池接近其充电周期的终点并且其端电压下降。
2. 运算放大器电路可以使用一个1.5V电池工作,而不需要两个电池来形成3V电源轨。
要了解为什么较低电压的运算放大器可以从电池中获得更长的寿命,请考虑图6中所示的电池放电图。电池通常具有类似于此曲线的放电周期。电池的端电压将开始接近其标称额定值。随着电池随时间放电,端电压会逐渐降低。一旦电池接近充电结束,电池的端电压将迅速下降。如果运算放大器电路仅设计为在接近电池标称电压的电压下工作,例如 V1,则电路的工作时间t1将很短。然而,使用能够在稍低电压下工作的运算放大器,例如V2,可显著延长电池的工作寿命t2。

图6:单节电池的典型放电曲线(图片来源: Texas Instruments)
虽然这种影响会因电池类型、电池负载和其他因素而异,不过很明显,拥有低运作电源的运算放大器比有较长的运作时间。
低电压数字逻辑电平
对数字和模拟电路使用低电压轨的应用也可以利用具有低电源电压能力的低功耗运算放大器。数字逻辑具有从5V到1.8V及以下的标准电压电平(图 7)。与运算放大器电路一样,数字逻辑在较低电压下变得更加节能。因此,较低的数字逻辑电平通常更可取。
为了简化设计过程,您可以选择为您的模拟和数字电路使用相同的电源电压电平。在这种情况下,具有1.8V能力的运算放大器(例如高精度、宽带宽OPA391或成本优化的TLV9001)可以证明是有其优势的。但需要留意的是,如果要求设计能应用于1.2V数字轨,线路系统中必须确保清除任何可能从数字电路泄漏到模拟设备电源引脚的噪声。

图 7:标准逻辑电平 (图片来源: Texas Instruments)
Digi-Key官网的运放参数筛选工具
在工程师为系统设计低功耗的运算放大器时,Digi-Key 官网的参数筛选工具可以协助工程师进行选料,例如:「 电流 - 供电」,可以让工程师了解运算放大器需电流;「电压 - 供电,单/双 (±)」,即如文章中所描述的低电源轨要求,在这里,工程师能够对电源轨一目了然,心中有数,进而快速完成选型。

图8:Digi-Key 官网运算放大器参数筛选工具
总结
在本文中,我们介绍了如何利用运算放大器的参数规格快速找出能提供低功耗特性的运算放大器,这些方法包括在频宽容许下,选择低静态电流的运算放大器,以及在反馈电路中选择较大数值的电阻器。选择使用低电压轨及低电压数字逻辑电平,也是确保运算放大器低功率时可以考虑的另外两个因素。
(作者:Kevin Chow)
免责声明:本文为转载文章,转载此文目的在于传递更多信息,版权归原作者所有。本文所用视频、图片、文字如涉及作品版权问题,请联系小编进行处理。
推荐阅读:





