桃花源qm花论坛(品茶),凤楼阁论坛官网入口网址,一品楼品凤楼论坛最新动态,风楼阁全国信息2024登录入口

你的位置:首页 > 互连技术 > 正文

差分线也有差模,共模,奇模,偶模?看完这篇你就明白了

发布时间:2020-05-13 责任编辑:lina

【导读】说起差分线,做高速设计应该没有人不知道。最大的认知就是抗干扰能力强。对于画线路板来说,比单根的并行总线简单。如:DDR一大把线比PCIE几对差分线麻烦多了。
 
差分线——差模,共模,奇模,偶模傻傻的分不清楚
说起差分线,做高速设计应该没有人不知道。最大的认知就是抗干扰能力强。对于画线路板来说,比单根的并行总线简单。如:DDR一大把线比PCIE几对差分线麻烦多了。
 
差分线也有差模,共模,奇模,偶模?看完这篇你就明白了
 
前几天公司的小朋友问皮皮,什么是差模,共模,奇模,偶模?说傻傻的分不清楚。想当年,皮皮刚接触的时候,也是傻傻的分不清。
 
我们先来看看差分线的概念:
 
简单来说就是差分线上的两根线走着电压相同,相位相反的两个信号之间相爱相杀的故事。下面这张翘翘板的图片,很形象的解释差分线。一会正的上去,一会负的上去,但是始终围绕着中间点。
 
差分线也有差模,共模,奇模,偶模?看完这篇你就明白了
图片来自网络
 
如下图的波形中,Vp为+,Vn为-。绿色的Vdiff就是两个信号的差值,形成的差分信号。
 
差分线也有差模,共模,奇模,偶模?看完这篇你就明白了
 
差模,共模:
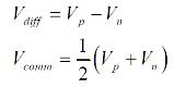
这里就出现差模,共模这两个概念:任意两个单端信号组合在一起,都可以分解成差模和共模两个分量。从下面数学公式上来看就非常直观。
 
差分线也有差模,共模,奇模,偶模?看完这篇你就明白了
 
根据公式Vcomm是一个恒定的值,这样Vp和Vn就可以用Vdiff和Vcomm来表示。像不像一个信号用直流分量+交流分量。记住这个恒定的值,当它不恒定的时候,就会产生信号完整性和EMC的问题。
 
差分线也有差模,共模,奇模,偶模?看完这篇你就明白了
 
奇模,偶模:
从上面来看,差模,共模是两根线之间的关系。奇模,偶模就是单根线分别对地的关系。当两根线同相位,则为偶模。
 
差分线也有差模,共模,奇模,偶模?看完这篇你就明白了
 
从下面这个图中,也很清晰的看出他们的区别:
 
差分线也有差模,共模,奇模,偶模?看完这篇你就明白了
 
现在肯定有人会问,他们之间是什么关系呢?当然有,要不怎么放一块。
 
他们的数学关系如下:
 
差分线也有差模,共模,奇模,偶模?看完这篇你就明白了
 
到这里,大家应该对这四个概念有一个清晰的认识。
 
但是,会不会误解,差分阻抗就等于单根线的特性阻抗之和(错误)。其实,之前皮皮也这么认为,但皮皮用阻抗软件计算,这个关系式并不成立。这是因为我们忽略了两根线之间的耦合。当两根线之间有磁场交会时就有个耦合系数的问题。所以往往差分信号会比他们单根信号之和要低。原创今日头条:卧龙会IT技术
 
如下,从某文章中看到的公式,定义差分阻抗。
 
差分线也有差模,共模,奇模,偶模?看完这篇你就明白了
 
下面的表也说明问题,不同线间距,相同差分阻抗的情况下,其他阻抗的值,就可以看出,差分阻抗的值根本就不等单根线的特性阻抗之和。
 
最后一栏就是特性阻抗。
 
差分线也有差模,共模,奇模,偶模?看完这篇你就明白了
 
好了,以上是我对小朋友解释的四个概念,也是自我总结整理的过程。希望能分享给大家。对大家有所帮助。也可以就这个问题讨论。
 
 
免责声明:本文为转载文章,转载此文目的在于传递更多信息,版权归原作者所有。本文所用视频、图片、文字如涉及作品版权问题,请联系小编进行处理。
 
 
推荐阅读:
如何优化汽车电池管理系统的精密电池测量精度?
射频PA+FEM导杂散差的原因分析
TI毫米波传感器:边缘智能化为自主工厂提供动力
如何应对FPGA或SoC电源应用面临的小尺寸、低成本挑战?
联想智慧中国行:联想商用IoT新品发布会圆满落幕
要采购传感器么,点这里了解一下价格!
特别推荐
技术文章更多>>
技术白皮书下载更多>>
热门搜索
?

关闭

?

关闭