桃花源qm花论坛(品茶),凤楼阁论坛官网入口网址,一品楼品凤楼论坛最新动态,风楼阁全国信息2024登录入口

你的位置:首页 > 互连技术 > 正文

如何采用降压型控制器产生负电压?

发布时间:2019-11-04 责任编辑:lina

【导读】负电压被用于为汽车信息娱乐系统中数量越来越多的 LCD 显示屏供电。同样,在工业和铁路环境中,负电压轨可满足仪表和监视应用的需要。
    
引言
 
负电压被用于为汽车信息娱乐系统中数量越来越多的 LCD 显示屏供电。同样,在工业和铁路环境中,负电压轨可满足仪表和监视应用的需要。在所有的情况下,负电压轨均必须用正电源产生,但是正至负 IC 不像降压型控制器那样容易获得。制造商不太可能拥有经过测试的合格负输出转换器,却很可能已经有了一些经过核准的降压型控制器,例如 LTC3892 双输出控制器。为避免因测试专用负输出转换器招致额外的耗时和成本,可使用 LTC3892 双输出降压型控制器以 ?uk 拓扑产生负输出电压。
 
双输出转换器:–12 V/3 A 和 3.3 V/10 A
 
LTC3892 是一款双输出控制器,其中一个输出可用于提供一个正电压,而另一个通道则用于产生一个负电压,如图 1 所示。这款解决方案的输入电压范围为 6 V 至 40 V,其中 VOUT1 等于 3.3 V (10 A),VOUT2 等于 –12 V (3 A)。VOUT1 配置为直通式降压型转换器拓扑,具有功率链路组件 Q2、Q3、L1,以及输出滤波电容器。将输出设定为 3.3 V 无需在 VFB 引脚上布设分压器 (直接连接至输出),因为 LTC3892-2 具有固定的 3.3 V 或 5 V 输出 (分别通过将 VPRG1 接地或连接至 INTVCC 来设定)。
 
 如何采用降压型控制器产生负电压??
图 1.一款用于产生正电压和负电压的解决方案。VOUT1 为 3.3 V (10 A),VOUT2 为 –12 V (3 A)
 
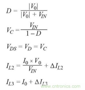
VOUT2 是一个负输出电压 (相对于 GND)。运放 U2 (LT1797) 连线为一个差分放大器,用于检测该负电压并将其调整为 LTC3892 误差放大器 (EA) 的 0.8 V 基准。在这一方法中,LTC3892 的 EA 和这个运放均参考于系统 GND,从而简化了电源控制和功能。用于设定负输出电压的种子公式为:
 
如何采用降压型控制器产生负电压??
 
VOUT2 采用异步 ?uk 拓扑,并包括功率链路组件 Q1、D1、L2 和输出滤波电容器。?uk 拓扑在其他技术文献中有广泛涉及,所以这里就不详细介绍了。功率链路组件上承受的应力可用下面的公式概括:
 
如何采用降压型控制器产生负电压??
 
这款解决方案的评估采用了 DC2727A 演示板,图 2 示出了 VOUT2 效率。另外,这种方法在我们 LTC3892-2 的 LTspice® 仿真模型中也是可用的。
 
如何采用降压型控制器产生负电压??
图 2.在 14 V 输入时负输出 (VOUT2) 的效率
 
结论
 
LTC3892 是一款通用和灵活的控制器,虽然在表面上是专为同步降压型转换而设计的,但是它也可在 ?uk 拓扑中使用,为汽车、工业和其他应用产生正电压和负电压。
(来源:ADI,作者:Victor Khasiev)
 
 
 
推荐阅读:
中国电子第一街创新基地!弘德智云联合我爱方案网推出产业园区入驻服务
印制线路板元器件如何放置?看完这篇文章恍然大悟
三相交流电相序检测电路方案设计详解
【线束展会回顾】匠心品质宏晟机械-推出的新产品很受市场青睐
详解数码管使用方法
要采购转换器么,点这里了解一下价格!
特别推荐
技术文章更多>>
技术白皮书下载更多>>
热门搜索
?

关闭

?

关闭