【导读】RS-485总线广泛应用于通信、工业自动化等领域,在实际应中,通常会遇到是否需要加上下拉电阻以及加多大的电阻合适的问题,下面我们将对这些问题进行详细的分析。
RS-485总线广泛应用于通信、工业自动化等领域,在实际应中,通?;嵊龅绞欠裥枰由舷吕缱枰约凹佣啻蟮牡缱韬鲜实奈侍?,下面我们将对这些问题进行详细的分析。
一、为什么需要加上下拉电阻?
1.当485总线差分电压大于+200mV时,485收发器输出高电平;
2.当485总线差分电压小于-200mV时,485收发器输出低电平;
3.当485总线上的电压在-200mV~+200mV时,485收发器可能输出高电平也可能输出低电平。但一般总处于一种电平状态,若485收发器的输出低电平,这对于UART通信来说是一个起始位,此时通信会不正常。
当485总线处于开路(485收发器与总线断开)或者空闲状态(485收发器全部处于接收状态,总线没有收发器进行驱动)时,485总线的差分电压基本为0,此时总线就处于一个不确定的状态。同时由于目前485芯片为了提高总线上的节点数,输入阻抗设计的比较高,例如输入阻抗为1/4单位阻抗或者1/8单位阻抗(单位阻抗为12kΩ,1/4单位阻抗为48kΩ),在管脚悬空时容易受到电磁干扰。
因此为了防止485总线出现上述情况,通常在485总线上增加上下拉电阻(通常A接上拉电阻,B总线下拉电阻)。若使用隔离RS-485收发??椋ɡ鏡SM485PCHT),由于??槟诓烤哂猩舷吕缱瑁ǘ杂赗SM485PCHT,内部上下拉电阻为24kΩ),因此在??橥獠恳话悴恍枰黾由舷吕缱?。
二、什么情况下需要加上下拉电阻?
当遇到信号反射问题时,通?;嵬ü黾悠ヅ涞缱枥幢苊庑藕欧瓷洌?对1通信为例,如图1所示。由于485总线通常使用特性阻抗为120Ω的双绞线,因此在485总线的首尾两端增加120Ω终端电阻来避免信号反射问题。
图1:两个RSM485PCHT??橥ㄐ诺缏?/div>

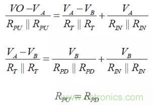
根据上述公式可以计算AB之间的差分电压为:

根据RSM485PCHT的具体参数(如表1)可以得到如图2所示等效电路,其中RPU、RPD为??槟诓吭?85总线上加的上下拉电阻,RIN为??榈氖淙胱杩?。
表1 RSM485PCHT参数


图2:RSM485PCHT通信等效示意图
当两个??槎即τ诮邮兆刺保梢愿莼舴虻缌鞫啥越诘鉇和节点B列出下列公式:

根据上述公式可以计算AB之间的差分电压为:

此时??橐汛τ诓蝗范ㄗ刺?,模块接收器可能输出为高电平,也可能输出为低电平,这时就需要在??橥獠吭黾由舷吕缱璞Vつ?樵诳障惺辈淮τ诓蝗范ㄗ刺?/div>





三、上下拉电阻如何???
假设??榈氖涑龅缭吹缪筕¬O相同,由于RGND接在一起,因此可以认为??槟诓康纳侠缱枋遣⒘谝黄鸬模朔奖憬馐?,对图2的电路进行整理,如图3所示,在??橥獠吭黾由舷吕缱杩梢匝≡裰辉黾右蛔?,也可以选择在每个??槎荚黾由舷吕缱?,为了解释方便,我们在485总线上增加一组上下拉电阻。

图3 :RSM485PCHT通信等效电路图

其中:
RPU为??槟诓可侠缱瑁琑PD为??槟诓康南吕缱?,本例中为24kΩ;
RIN为模块接收器输入阻抗,本例取最小值为120kΩ;
RT为终端电阻,本例取120Ω;
RPU_EX为??橥獠克拥纳侠缱?,RPD_EX为??橥獠克拥南吕缱?;
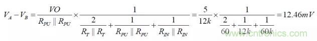
由于RSM485PCHT的门限电平为-200mV~+200mV,一般留有100mV或200mV的电压裕量,本例留有100mV的电压裕量,根据前面所推导的差分电压公式,可以得到下面计算公式:

由于RSM485PCHT在供电电压范围为4.75V~5.25V,取VO=4.75V(最低输入电压VCC=4.75V情况下),可得:

由RPU=24kΩ,可得RPU_EX=RPD_EX=461.9Ω,由于计算出的电阻值为最大值,因此可以选择在485总线上仅加一组410Ω或390Ω的上下拉电阻,或者加两组910Ω上下拉电阻。
四、如何验证上下拉电阻取值?
上述计算仅考虑了485总线空闲状态时不处于不确定状态,并没有考虑485收发器的驱动能力和所用元器件的功耗等问题。外部所加上下拉电阻越小,可以将485总线空闲状态差分电压保持的越高,但与此同时,终端电阻和上下拉电阻的功耗也越大,对485收发器的驱动能力要求也越高,当超过485收发器的驱动能力时,也会导致通信失败。
根据RS-485标准,当接收器的输入阻抗为单位阻抗时(最小为12k),总线上最多可以接32个节点,485的差分负载最大为54Ω,此时差分输出电压最小为1.5V。

图4 :485总线连接32个节点等效示意图
如图4所示,我们可以看到当485总线上接有32个节点时,总线A或B的共模负载为:

由此可见,对于RS-485的标准来说,A总线或B总线的最大共模负载为375Ω。

图5 :485总线增加终端电阻等效示意图
当增加终端电阻后,可以发现485总线的共模负载没有发生变化,但差模负载急剧减小,差模负载为:

因此当485总线的节点数达到最多以及增加终端电阻后,485总线的差模负载仍大于54Ω,根据RS-485的标准,差分输出电压最小为1.5V。

图6 :RSM485PCHT 64个节点等效示意图
以RSM485PCHT为例说明增加上下拉电阻的情况,如图6所示,总线A或B的共模负载为:

实际测试上述情况,驱动输出的最小差分电压3.02V,这个电压远大于RS-485标准规定的最小差分输出电压1.5V。

图7 :RSM485PCHT 64个节点增加终端电阻示意图
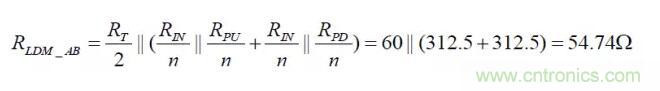
当在485总线上增加终端电阻时,可以看出总线A或B的共模负载并没有发生变化,而差分阻抗有了较大的变化,此时差模负载为:

计算出的差模负载要略大于RS-485标准规定的最大负载为54Ω,我们对RSM485PCHT进行实际测试,其输出差分电压1.58V,略大于标准规定的最小电压。
当差模负载为54Ω(485总线接两个120Ω终端电阻并且上拉电阻(下拉电阻)与收发器内阻的并联值为270Ω)时,RSM485PCHT的差分输出电压为1.52V(实测值),基本和RS-485标准相同。当差模负载为41.54Ω(485总线接两个120Ω终端电阻并且上拉电阻(下拉电阻)与收发器内阻的并联值为135Ω)时,RSM485PCHT的差分输出电压在1.17V左右(实测值),在这种情况下可以通信。但485收发芯片手册中规定的最大差模负载通常为54Ω,即在485总线上增加两个120Ω后,上拉电阻(下拉电阻)与收发器输入阻抗的并联值应大于270Ω。同时为了保证稳定可靠通信,一般485总线的上拉电阻(下拉电阻)与收发器输入阻抗的并联值应大于375Ω。
五、总结
1.通信线应选用屏蔽双绞线,屏蔽层应单点接大地;
2.当我们没有遇到信号反射问题时,尽量不要使用终端电阻;
3.如果使用终端电阻,我们可以通过上下拉电阻调节485总线在空闲状态的电压值,保证不处于门限电平(-200mV~+200mV或-200mV~-40mV)范围内;
4.当我们增加上下拉电阻时,上拉电阻(下拉电阻)与收发器输入阻抗的并联值应大于375Ω。
特别推荐
- ROHM新型接近传感器面世:VCSEL技术赋能工业自动化精准感知
- 为智能电动汽车赋能!纳芯微NSR2260x-Q1系列攻克复杂电源挑战
- 射频性能再升级,大联大品佳推出基于达发AB1585AM的头戴式蓝牙耳机方案
- 从零售到医疗:安勤四尺寸触控电脑满足多元自助服务场景
- 覆盖全球导航系统:Abracon新品天线兼容GPS/北斗/Galileo/GLONASS四大星座
技术文章更多>>
- 意法半导体CEO将重磅亮相摩根士丹利TMT大会,释放战略信号
- 采购无忧:贸泽电子备货瑞萨新品,覆盖全系列嵌入式应用
- 创新强基,智造赋能:超600家企业齐聚!第106届中国电子展打造行业盛宴
- 安森美获Aura半导体授权,强化AI数据中心电源生态
- 东芝携150年创新积淀八赴进博,以科技赋能可持续未来
技术白皮书下载更多>>
- 车规与基于V2X的车辆协同主动避撞技术展望
- 数字隔离助力新能源汽车安全隔离的新挑战
- 车用连接器的安全创新应用
- Melexis Actuators Business Unit
- Position / Current Sensors - Triaxis Hall
热门搜索






