桃花源qm花论坛(品茶),凤楼阁论坛官网入口网址,一品楼品凤楼论坛最新动态,风楼阁全国信息2024登录入口

你的位置:首页 > 互连技术 > 正文

如何用二极管设计来?;っ舾性??

发布时间:2019-03-21 责任编辑:lina

【导读】在雷达或无线电接收器中,敏感型低噪声放大器 (LNA) 在承受较大的输入信号时必定会发生损坏。那么,需要怎样的解决方案?
  
在雷达或无线电接收器中,敏感型低噪声放大器 (LNA) 在承受较大的输入信号时必定会发生损坏。那么,需要怎样的解决方案?
 
我们可以利用接收器?;ぷ爸孟薹?(RPL) 电路来保护敏感元件。RPL电路的“心脏”通常由PIN二极管组成,能够?;ぴ馐艽笫淙胄藕诺挠跋?,同时不会对小信号操作造成不利影响。
 
RPL电路的运行无需外部控制信号。此类电路包含至少一个与信号路径并联的PIN二极管,以及一个或多个无源元件,例如RF扼流圈电感和直流隔离电容。以下是一个简单的(但可能是完整的)RPL电路。
 
如何用二极管设计来?;っ舾性??
 
当没有RF输入信号或仅存在有RF小信号时,限幅器PIN二极管的阻抗特性会达到最大值,通常为几百欧姆或以上。因此,二极管产生非常小的阻抗失配,相应地,可带来低插入损耗。
 
当出现大输入信号时,RF电压迫使电荷载流子(P层的空穴和N层的电子)进入PIN二极管的I层。进入I层后,自由电荷载流子会降低其RF电阻,从RPL电路的RF端口角度来看,这产生了阻抗失配。
 
这种失配会导致来自输入信号的能量被反射至对应的信号源。反射信号与入射信号配合,在PIN二极管产生一个电压最小的驻波,因为反射信号在传输线上暂时呈现最低阻抗。传输线上的每个最小电压都有一个对应的最大电流。最大电流流经PIN二极管,导致二极管I层中的自由电荷载流子量增加,从而产生更低串联电阻、更大阻抗失配以及“更小”的最小电压。最后,二极管的电阻将达到最小值——该值取决于PIN二极管的设计和RF信号的幅值。RF信号幅值增大时,迫使二极管达到充分导通状态,从而进一步降低二极管的电阻,直到二极管饱和并产生尽可能的最小电阻。由此得到输出功率与输入功率的对比曲线,如下所示。
 
如何用二极管设计来?;っ舾性??
 
当RF大信号不再出现,如果I层中的自由电荷载流子量较大,二极管的电阻则会保持在较低水平(此时插入损耗仍然较大)。在RF大信号中断后,可以通过两种机制来减少自由电荷载流子量: (1) 在I层外进行电荷传导 (2) 在I层内进行电荷重组。
 
电荷传导的幅值主要由二极管外部电流通路中的直流电阻决定。
 
电荷重组的速率则由多个因素决定,包括I层中自由电荷载流子的密度、I层中掺杂原子的浓度和其他电荷俘获点,等等??悸堑蕉艿谋匾问?,PIN二极管可安全处理的RF信号越大,其恢复到低插入损耗所需的时间就越长。
 
因此,PIN二极管I层的特性决定了RPL电路的性能。I层的厚度(有时称为宽度)则决定了二极管达到极限时的输入功率:I层越厚,输入参照1dB压缩级别(也称为阈值级别)就越高。I层的厚度、二极管结的面积和二极管的制造材料决定了二极管的电阻、电容以及热阻。
 
只需一个PIN二极管、一个RF扼流圈电感器和一对直流隔离电容,即可实现最简单的PIN RPL电路。RF扼流圈电感器对RPL电路的性能至关重要,其主要功能是使PIN二极管的直流电流通路变得完整。当大信号迫使电荷载流子进入二极管的I层时,会在二极管中产生直流电流。如果没有为直流电流提供完整路径,则不能降低二极管的电阻,二极管也不会达到极限。直流电流将沿着整流电流的方向流动,但这不是由整流产生的。
 
在RPL电路中安装扼流圈电感是一件极具挑战性的事,因为电感是RPL电路中最不理想的元件?;诘绺兄岛图纳谱榧涞缛莸脑?,所有电感都具有串联和并联谐振。因此必须十分小心,确保在工作频带内不发生串联谐振。此外,必须尽量把扼流圈的直流电阻降到最低,以缩短RPL电路的恢复时间。
 
注:直流隔离电容是可选的。只有当输入或输出传输线上出现可能使PIN二极管偏置的直流电压或电流时,才需要使用直流隔离电容。
 
实例
 
假设低噪声放大器 (LNA) 可以承受的最大输入功率为15dBm,则要求RPL电路中PIN二极管的I层厚度约为2微米。设计人员可根据RF信号频率和小信号插入损耗的可接受最大值来确定PIN二极管的可接受电容。如果设计师假设RPL电路在X波段工作,并且可接受的最大插入损耗为0.5dB,则可以计算出二极管的最大电容。
 
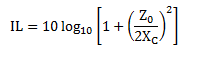
可根据以下公式得出并联电容的插入损耗 (IL)(以分贝为单位):
 
如何用二极管设计来?;っ舾性??
 
我们可根据公式求解C值:
 
如何用二极管设计来保护敏感元件?
 
当f = 12GHz、IL = 0.5dB且Z0 = 50?时,C = 0.185pF。
 
得出的电容值与I层厚度共同决定了二极管结的面积。
 
如果I层较薄并且结面积较小,二极管就会具有相对较高的热阻,这样一来,只好迫使结温超过其最大额定值175°C,才能耗散更多能量。通常来说,电容为0.185pF的2微米二极管可以安全处理约为30-33dBm的大CW输入信号。由于电流流经二极管电阻时会产生焦耳热,大信号可能会损坏或即时烧毁二极管。
 
PIN二极管RPL电路能够为雷达或无线电接收器中的LNA等敏感元件提供可靠的?;?,?;て洳皇芙洗笕肷湫藕诺挠跋臁5盧PL应用需要极低的稳态泄漏输出功率和较高的输入功率处理能力时,可以在RPL电路的输入侧增加额外的二极管级和其他电路增强元件。
 
如果你正在为RPL应用选择最合适的二极管和电路拓扑,MACOM应用工程团队在这里随时为你提供帮助和意见。
 
 
 
 
 
推荐阅读:
如何区分电解电容与无极性电容?
一文看破开关电源电路,不明白的看这里!
2019慕尼黑上海电子生产设备展,仙知机器人赋能电子制造物流智能化!
TVS瞬态电压抑制二极管原理参数详解
分析简单的升压电路,看电阻、电容等元件是如何工作?
要采购电感器么,点这里了解一下价格!
特别推荐
技术文章更多>>
技术白皮书下载更多>>
热门搜索

关闭

?

关闭