【导读】任何散热解决方案的目标都是确保设备的工作温度不超过其制造商规定的安全限值。在电子工业中,这个工作温度被称为器件的“结温”。例如,在处理器中,这个术语字面上指的是电能转换为热量的半导体结。
任何散热解决方案的目标都是确保设备的工作温度不超过其制造商规定的安全限值。在电子工业中,这个工作温度被称为器件的“结温”。例如,在处理器中,这个术语字面上指的是电能转换为热量的半导体结。
为了保持工作,热量必须以确保可接受的结温的速率流出半导体。当热流从整个器件封装的结处移动时,这种热流遇到阻力,就像电子在流过导线时面对电阻一样。在热力学方面,这种电阻称为导电电阻,由几个部分组成。从结点开始,热量可以流向元件的壳体,可以放置散热器。这被称为ΘJC,或结至壳体的热阻。热量也可以从组件的顶部表面流出并流入板中。这被称为结到电路板电阻,或ΘJB
ΘJB定义为当热路径仅从结点到电路板时,结点和电路板之间的温差除以功率。为了测量ΘJB,器件的顶部是绝缘的,冷板连接到电路板边缘(图1)。这是真正的热阻,这是器件的特性。唯一的问题是,在实际应用中,人们不知道从不同路径传输了多少功率。

图1:横截面图环形冷板RΘJB 2 。
ΨJB是使用多个传热路径时的温差的度量,例如组件的侧面和顶部董事会。这些多路径是实际系统中固有的,必须谨慎使用测量。
由于组件内有多个传热路径,单个电阻不能用于精确计算结温。从结到环境的热阻必须进一步细分为电阻网络,以提高结温预测的精度。简化的电阻网络如图2所示。

图2:结至环境电阻网络。
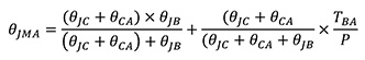
Joiner等人 1 完成的先前工作将ΘJMA与电路板温度相关联(见公式1)。 ΘJMA是在评估所有传热路径时从结到环境的总热阻。在这种情况下,ΘCA由散热器热阻以及器件和接收器之间的界面电阻表示。
表1列出了典型BGA组件的JEDEC参数。这些用于以下示例计算中:
ΘJMA=移动空气热阻的结点
ΘJB=结至电路板的热阻
ΘJC=结至壳体的热阻
ΘCA= Case环境热阻
TBA =电路板温升

参数说明值单位ΘJC热电阻 -
结到外壳0.45°C/WΘJB热阻 -
结至电路板2.6°C/W TDP热设计功率20 W Tj最高结温105°C
表1:典型热封装规格
随着电路板布局变得越来越密集,需要设计出使用尽可能少空间的优化散热解决方案。简而言之,没有余量允许过度设计的散热器具有紧密的元件间距??悸前羼詈系挠跋焓钦庵钟呕闹匾糠?。只有在考虑结壳到壳体的传热路径时才存在使用超大尺寸散热器的可能性。
为确保在55°C环境温度下的105°C结温,典型元件(见表1)需要2.05°C/W的散热器电阻(如果忽略电路板导通)。当考虑电路板导通时,假设电路板温度与空气温度相同,实际结温可能低至74°C。这表示散热片大于必要的温度。
从这个例子可以看出,必须考虑来自元件连接点的所有传热路径。仅使用ΘJC和ΘCA值可能导致大于最佳的散热器,并且可能无法准确预测工作结温。使用建议的相关性也可以预测从实验中得知电路板温度时的结温,如图3所示。

图3:电路板温度升高对结温的影响。
当存在多个元件时,情况变得比仅使用电路板上的单个元件复杂得多。通过PCB的组件之间存在传导耦合,以及组件和相邻卡之间的辐射和对流耦合。图4显示了一个带有两个元件的简单PCB。两个元件的功耗假定为P1和P2,并且假设我们可以忽略辐射传热。每个器件下的电路板温度分别为Tb1和Tb2。我们还假设电路板上两个元件之间的横向电阻为θb1b2。

图4:具有两个元件的PCB的简单原理图。

图5:具有两个组件的PCB的简单电阻网络。
在节点J1,J2处应用能量平衡,b1和b2:

有四个方程和四个未知数:Tj1,Tj2。 Tb1和Tb2。未知数可以通过求解联立方程来确定。这个简单的例子表明,通过传导路径耦合两个元件,找到结温会变得复杂得多。在实际应用中,当遇到具有不同导电平面的多个组件和多个PCB时,情况比上述示例复杂得多,所有导电平面都通过传导,对流和辐射相互作用。
为了获得合理的答案,设计师必须使用合理的工程判断来近似不同组件之间的耦合。这可以通过以下方法实现:
方法1 - 使用控制体积法或电阻网络模型的分析模型。这种方法需要过度简化问题;否则解决方案变得非常复杂和不切实际。
方法2 - 在简化几何上使用CFD,如Guenin [4] 所述。该方法表明组件的等效表面积为:
其中An是组件的等效占位面积,Pn是组件的功耗,PTotal是总功耗,ATotal是PCB的总表面积。在计算等效占位面积之后,可以使用CFD模拟具有占位面积An和功耗为1瓦的单个元件的简单PCB。此过程可有效计算电路板温度与环境温度(θBA)之间的差值,功耗为1瓦。图6显示了一个这样的元件的CFD模拟,图7显示了θBA作为PCB尺寸的函数。图7可用于通过简单计算其有效占地面积来确定其他组件的θBA。假设所有组件具有相同的占位面积。

图6:PCB上单个组件的CFD模拟

图7:作为PCB尺寸 4 的函数的ΘBA分布。
电路板温度可以计算如下:
结温可以计算为:
其中ψJB是特征参数。
方法3 - 如果PCB可用,通过实验测量电路板温度TB,并使用公式8来查找结温。同样,这是近似值,因为器件耦合到PCB的条件可能与JEDEC测试板使用的条件完全不同。





