【导读】锁相的意义是相位同步的自动控制,能够完成两个电信号相位同步的自动控制闭环系统叫做锁相环,简称PLL。它广泛应用于广播通信、频率合成、自动控制及时钟同步等技术领域。
一个典型的锁相环(PLL)系统,是由鉴相器(PD),压控荡器(VCO)和低通滤波器(LPF)三个基本电路组成,如图1,

一、鉴相器(PD)构成鉴相器的电路形式很多,这里仅介绍实验中用到的两种鉴相器。1.异或门鉴相器 异或门的逻辑真值表示于表1,图2是逻辑符号图。

从表1可知,如果输入端A和B分别送入占空比为50%的信号波形, 则当两者存在相位差Dθ时,输出端F的波形的占空比与Δθ有关,见图3。将F输出波形通过积分器平滑,则积分器输出波形的平均值,它同样与Δθ有关,这样,我们就可以利用异或门来进行相位到电压的转换,构成相位检出电路。于是经积分器积分后的平均值(直流分量)为:U = Vdd * Δ θ/π (1)
不同的Δθ,有不同的直流分量Vd。Δθ与V的关系可用图4来描述。从图中可知,两者呈简单线形关系:Ud = Kd *Δθ (2)Kd 为鉴相灵敏度

图3

图4
2.边沿触发鉴相器 前已述及,异或门相位比较器在使用时要求两个作比较的信号必须是占空比为50%的波形,这就给应用带来了一些不便。而边沿触发鉴相器是通过比较两输入信号的上跳边沿(或下跳边沿)来对信号进行鉴相,对输入信号的占空比不作要求。
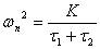
二、压控振荡器(VCO)压控振荡器是振荡频率ω0受控制电压UF(t)控制的振荡器,即是一种电压——频率变换器。VCO的特性可以用瞬时频率ω0(t)与控制电压UF(t)之间的关系曲线来表示。未加控制电压时(但不能认为就是控制直流电压为0,因控制端电压应是直流电压和控制电压的叠加),VCO的振荡频率,称为自由振荡频率ωom,或中心频率,在VCO线性控制范围内,其瞬时角频率可表示为:ωo(t)= ωom + K0 UF(t)式中,K0——VCO控制特性曲线的斜率,常称为VCO的控制灵敏度,或称压控灵敏度。
三、环路滤波器
这里仅讨论无源比例积分滤波器如图5。其传递函数为:
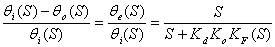
四、锁相环的相位模型及传输函数




五、锁相环的同步与捕捉
锁相环的输出频率(或VCO的频率)ωo能跟踪输入频率ωi的工作状态,称为同步状态,在同步状态下,始终有ωo = ωi。在锁相环保持同步的条件下,输入频率ωi的最大变化范围,称为同步带宽,用DωH 表示。超出此范围,环路则失锁。失锁时,ωo≠ωi,如果从两个方向设法改变ωi,使ωi向ωo靠拢,进而使Δωo =(ωi-ωo)↓,当Δωo小到某一数值时,环路则从失锁进入锁定状态。这个使PLL经过频率牵引最终导致入锁的频率范围称为捕捉带Δωp。同步带ΔωH,捕捉带Δωp 和VCO 中心频率ωo的 关系如图7。




