桃花源qm花论坛(品茶),凤楼阁论坛官网入口网址,一品楼品凤楼论坛最新动态,风楼阁全国信息2024登录入口

你的位置:首页 > 互连技术 > 正文

针对DC-DC变换器,功率开关元件损耗及续流二极管损耗如何计算?

发布时间:2015-09-15 责任编辑:sherry

【导读】工程师需要在系统设计过程中,精确的计算出不同的数值,并采取相应措施减少无功损耗。这里将会通过双向型DC-DC变换器的功率开关元件损耗计算及对续流二极管的损耗产生原因分析,为工程师详细介绍其损耗数值的计算方式。
 
DC-DC变换器功率开关元件损耗值计算
 
在双向型的DC-DC变换器运行工作过程中,功率开关元件IGBT是变换器内部的主要损耗源之一,而功率开关元件的损耗基本上可以按照其运行状态分为两个部分:导通损耗和开关损耗。导通损耗是指当开关元件已经开通后,并且驱动和开关波形已经稳定以后,功率开关元件处于导通状态时的损耗。这里将会针对双向DC-DC转换器的功率开关元件IGBT的损耗计算,进行简要分析介绍。
 
在DC-DC转换器正常运行的过程中,功率元件的开关损耗是出现在IGBT从一个工作状态进入另一个新的工作状态,驱动和开关波形处于过渡过程中的损耗。在开关工作的过程中,元件的电压、电流波形如下图所示:
IGBT的电压、电流波形图IGBT的电压、电流波形图
IGBT的电压、电流波形图
 
在了解了功率开关元件的电压、电流波形图后,下面我们分别了解一下如何计算其导通损耗和开关损耗。在功率元件正常工作状态下,功率开关元件的导通损耗可以通过IGBT两端电压和电流波形的乘积得出。电压、电流波形都是近似线性,其在导通期间的功率损耗可以由下式给出:
导通损耗过高很容易造成转换器的有效功率降低,对整体系统的运行稳定也会有一定的影响。想要降低导通损耗,最典型方法是使IGBT导通期间的电压降最小。要达到这个目的,必须使功率开关工作在饱和状态。因此,可以通过对IGBT基极的过电流驱动,从而确保功率器件工作在饱和状态。
 
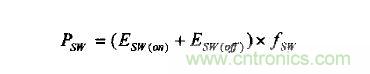
在了解了导通损耗的计算方法后,接下来我们再来看一下开关损耗的计算方式。IGBT的开关损耗计算过程,相比较导通损耗来说就比较复杂了。这一部分的损耗既有功率器件本身的因素,也有相关元器件的影响。功率开关元件的开关损耗的计算,一方面可以通过示波器观察得到开关过程中的电压、电流波形,然后粗略的计算出两条曲线所包围的面积,从而求得IGBT的开关损耗。另一方面,如果功率开关元件的使用手册中给出了开关损耗的曲线,那么也可以直接从开关损耗的曲线上读出开通损耗和关断损耗的数值,然后根据下式计算得出功率开关元件的开关损耗值,式中fsw为变换器的开关频率:
IGBT的电压、电流波形图
以上就是针对双向型DC-DC变换器的功率开关元件损耗计算所进行的简要分析和介绍,希望能够对工程师的新产品研发和设计工作有所帮助。
[page]
DC-DC变换器功率续流二极管损耗计算
 
在电源系统设计的过程中,工程师常常需要用到DC-DC变换器进行能量转换,这种电子器件目前已经被广泛的应用在不同的工业领域中。然而在工作运行过程中,即便是转换器本身也是会出现一部分损耗的,这部分通常是由续流二极管、功率器件等产生的。工程师需要在系统设计过程中,精确的计算出不同的数值,并采取相应措施减少无功损耗。这里将会通过对续流二极管的损耗产生原因分析,为工程师详细介绍其损耗数值的计算方式。
 
此前我们曾经就功率器件的损耗计算展开过详细介绍,与DC-DC转换器中功率器件的损耗产生方式相同,续流二极管的损耗同样也可以分成开关损耗和导通损耗。在变换器的工作过程中,续流二极管的电压、电流波形如下图所示。
二极管的电压、电流波形
图为二极管的电压、电流波形
 
所谓的导通损耗,指的是在二极管正向导通并且当电流、电压波形稳定时的损耗。工程师如果想要采取相应措施降低导通损耗数值,可以通过选择流过一定电流时正向压降较小的二极管来实现。目前转换器中应用比较多的是普通续流二极管和肖特基二极管两种。普通的二极管具有比较平坦的正向电压一电流特性,然而它的电压降却比较高,肖特基二极管的电压降比较低,但是它的正向电压—电流特性却比普通二极管的要陡一些,因此,随着电流的增大,肖特基二极管的正向电压的增加要比普通二极管更大些。这是工程师在进行损耗降低设计时需要注意的。
 
与功率器件的开关损耗值计算相同的是,双向DC-DC转换器中续流二极管的开关损耗计算也是比较复杂。所谓的开通损耗,是指二极管两端加上正向电压到二极管电流达到稳定值,在这一过程中二极管的损耗。一般情况下二极管的开通损耗不是很大,可以进行忽略。二极管的关断损耗主要是由于二极管的反向恢复电流造成的损耗。当反向电压加在二极管的两端时,二极管的反向恢复特性由PN结内的载流子决定,这些迁移率受限的载流子需要从原来进入PN结的反方向出去,从而形成了流过二极管的反向电流。反向电流同时还会增加功率开关的损耗,从上图中我们可以明显地看到IGBT开通期间的电流峰值。因此,根据二极管的电压、电流波形,通过近似处理,则续流二极管的关断损耗的一般计算公式为:
二极管的电压、电流波形
在这里需要就该公式中出现的一些参数进行简要说明,以方便工程师进行计算和理解。在该计算公式中,参数ID(RM)为续流二极管的反向恢复电流的最大值,参数Kf为续流二极管反向恢复电流ID(RM)的温度系数,需要说明的一点是,当DC-DC变换器续流二极管的结温为100摄氏度时则参数Kf=1.1。参数trr为二极管的反向恢复时间。
 
要采购开关么,点这里了解一下价格!
特别推荐
技术文章更多>>
技术白皮书下载更多>>
热门搜索
?

关闭

?

关闭