中心议题:
- 利用单相接地故障数据估计小电流系统对地电容电流的方法
解决方案:
- 用两组发生在不同线路上的故障数据求该系统各线路的对地电容
系统电容电流是调度和运行单位要了解的系统参数之一,是设计单位选择补偿设备的依据,故研究该项工作具有重要意义。目前,电容电流的测量方法主要有单相金属接地法、相对地附加电容法及中性点附加电容法。
采用单相金属接地法,易造成两相对地短路及铁磁谐振过电压,危险性较大。采用相对地附加电容法,其安全隐患主要发生在附加电容本身上,例如测量电缆线路时,附加电容一般放置在开关柜附近,在测量过程中附加电容如存在缺陷发生爆炸,可能危及其它配电柜,造成重大事故;另外在测量35kV系统电容电流时,因系统电压较高,附加电容容量较大,有的试验单位可能并不具备合适的电容器。采用中性点附加电容法,如在测量过程中系统出现单相接地,中性点电压上升到相电压,将危及运行人员及表的安全,而且测量误差大。
在实际运行中,对于出线数较多、线路较长或包含大量电缆线路的配电系统,当其发生单相接地故障时,对地电容电流会相当大,接地电弧如果不能自熄灭,极易产生间隙性弧光接地过电压或激发铁磁谐振,持续时间长,影响面大,线路绝缘薄弱点往往还会发展成两相短路事故。因此,DL/T620-1997《交流电气装置的过电压?;ず途蹬浜稀饭娑ǎ?~10KV钢筋混凝土或金属杆塔的架空线路构成的系统和所有35KV、66KV系统,当单相接地故障电流大于10A时应装设消弧线圈;3~10KV电缆线路构成的系统,当单相接地故障电流大于30A,又需在接地故障条件下运行时,应采用消弧线圈接地方式。
消弧线圈一般为过补偿运行(即流过消弧线圈的电感电流大于电容电流),这也就是说装设的消弧线圈的电感必需根据对地电容电流的大小来确定,以防止中性点不接地系统发生单相接地而引起弧光过电压。而实际情况是,现场运行人员对系统的接地电容电流值究竟有多大了解的并不详实,或者是掌握的数据仅凭经验而得,或者是数据过于陈旧,不足为凭。
所以,针对研究该问题的重要性以及以往方法的种种不利之处,本文提出一种利用单相接地故障数据估计小电流系统对地电容电流的新方法。
方法介绍
对于一个中性点绝缘系统,发生单相接地故障时的等值电路如图1所示,由于配电网线路中各相对地的泄漏电导比线路对地电容的导纳小得多,所以分析时忽略了泄漏电导,并认为三相对地电容相等。

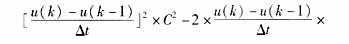
接下来利用单相接地故障的零序电压和零序电流数据来估计系统对地电容值,由于电流波形比较杂乱,利用公式
求电容不可避免的造成较大误差,所以,本方法利用零序电压和零序电流的瞬时值来求电容。由公式
,将其写成离散化形式,为:


[page]
由于F的每一项[i*(k)-i(k)]2都可以展开成电容C的多项式:


这样,当系统的某一条出线i(i=1,2,...,n)发生单相接地故障时,利用系统零序电压与故障线路零序电流可求出该系统除了故障线路以外的其它线路对地电容值之和
;利用零序电压与任一条非故障线路的零序电流可求出该非故障线路的对地电容值;并且,对同一次故障在数值上有
。对于长线路计算结果可认为准确,对于短线路,计算误差稍大,可通过一些具体途径改进,本文不作详细叙述。
这样,利用两组发生在不同线路上的故障数据就可求出该系统中各线路的对地电容,且随着故障次数的增多,还可利用多次的故障数据对系统对地电容进行修正。系统对地电容值求出后,由公式I=jωCU可以很容易就估计出系统电容电流的有效值,以此可以决定系统是否需要安装消弧线圈以及消弧线圈电感值的大小。
EMTP仿真验证
接下来对一个系统进行EMTP仿真,验证该方法。系统为一个有五条出线的变电所, 基波频率f=50Hz,采样频率fs=5000 Hz。仿真采用三相分布参数集中电阻线路模型,已知各出线长度分别为l1=l4=l5=10 km,l2=30 km,l3=6 km;线路参数分别为:R0=0.23 Ω/km,ωL0=1.72Ω/km,ωC0=4.175 μΩ/km;R1=0.17Ω/km,ωL1=0.28Ω/km,ωC1=5.715μΩ/km,当t=0.0075s时在第一条出线的A相线路中间发生单相金属接地故障(见图2)。取0~0.04秒的2个周波200个点的数据进行分析。

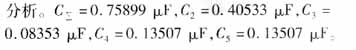
对上述方法用Matlab编程,对仿真数据进行分析,求解系统对地电容值??悸堑皆肷廴疽约案髦炙婊扇诺拇嬖冢榷怨收鲜萁惺致瞬?,将17次以上的谐波去除后再对仿真或实测数据进行运算。本例所得由电容所计算电流与滤波后电流拟合波形如图3所示(本文对数据滤波时采用的是巴特沃思滤波器,除去9次谐波以上的高次谐波)。



[page]

由零序电压和故障线路零序电流求得的对地电容为:C∑=-0.75462μF,由零序电压和非故障线路2、3、4、5的零序电流求得的电容分别为:

其中,C∑为负是因为故障线路零序电流和非故障线路零序电流反相的缘故。
由此可得:C2+C3+C4+C5=0.75462μF,可见其数值上与C∑相等。并且,由系统参数ωC0=4.175μS/km可推出C0=4.175/314=0.013296μF,则由Ci=C0*li可得:C2=0.39888μF,C3=0.07978μF,C4=0.13296μF,C5=0.13296μF,可见,这些值和利用本方法估计出的各线路对地电容值差甚微。
利用该方法对同一系统进行EMTP仿真,进一步验正该方法。t=0.0075s时在第一条出线的A相线路中间发生单相电阻性接地,接地电阻100Ω,同样取0-0.04s的2个周波200个点的数据进行。

结论
传统测量电容电流的方法可分为直接法和间接法两种:直接法是使线路接地,直接测量接地电容电流,此方法操作及接线复杂,而且有可能危及非接地相绝缘薄弱处的绝缘造成两相异地短路,对操作人员与配电系统都不安全,因而一般很少采用。目前广泛采用的是间接法,即,在线路上外加一个电容,测量电压的变化,从而间接计算出电容电流值。这种方法虽能较准确地测量电容电流值,但测量时仍需与一次侧打交道,人员与设备安全仍得不到保证。另外,由于要涉及一次设备,因此操作繁琐,准备工作时间长,工作效率低,通常大部分时间耗费在等待调度命令、开工作票、倒闸操作及安全措施准备上,工作效率非常低。
本文介绍的方法,简单易行,仅仅利用系统单相接地时的故障数据进行计算,不必利用仪器进行现场实地测量,不影响电网正常运行,免除了麻烦且避免了危险。该方法适用于对误差要求不很严格并且工作量较大的场合,经过仿真表明,结果较为准确。




