桃花源qm花论坛(品茶),凤楼阁论坛官网入口网址,一品楼品凤楼论坛最新动态,风楼阁全国信息2024登录入口

你的位置:首页 > 互连技术 > 正文

连接器设计和选择之并发开关噪声

发布时间:2011-03-14 来源:GigaTest实验室

中心议题:

  • 并发开关噪声
  • 互感的计算
  • 提取连接器的环路互感
  • 减小互感
  • 对连接器厂商提供参数的评估


在高速电路设计中,中国设计工程师通常不是特别了解连接器的互感特性在改进信号完整性设计中的作用,本文将探讨连接器设计和选择中最难解决的问题:并发开关噪声,并且揭示并发开关噪声对高性能系统中使用的连接器和封装规格指标的影响。

人们总是认为系统中所有的工作都是由IC来完成的,当然也包括相应的软件。而类似于IC封装、电路板、连接器、电缆以及其它的离散元器件等无源器件只会降低系统性能,扩大系统尺寸和增加系统成本。所以,系统中互连以及元器件的选择和设计实际上就是将这些成分对系统造成的影响降到最低。因此大多数的IC设计师通常将系统中不连接的所有部分(这通常是PCB设计师所涉及的内容)归结为寄生成分这样一个笼统的范畴

                                                       四种最主要的高速电路问题
                                                             图1:四种最主要的高速电路问题

选择IC器件时,除了选择合适的元器件以外,后续的电路板布局布线工作还要符合下列设计规则:

1. 受控阻抗的PCB线;
2.分支线上的信号延时小于最快信号上升时间的20%;
3. 不连续性时间延时小于最快信号上升时间的20%;
4.相邻PCB线具有足够的间距,确保信号串扰控制在可以接受的电平上;
5. 合理的PCB分层设计确保相邻的电源和地平面层之间的介质很??;
6.每一个信号线下面都有连续的信号返回路径。

即便PCB的布局布线做得非常好,事情仍然没有那么简单。高性能系统中的每一个成分都需要优化,确保符合整个系统在成本、性能和开发进度等方面的要求。高性能的系统设计是一个环环相扣的链,每一个环节都必须符合要求,方能保证整个系统符合产品性能规范。

系统中的其它因素将如何影响系统性能?可能的问题通??梢怨榻嵛街掷嘈停菏毙蛭侍夂驮肷侍?。信号完整性既包括时序问题也包括噪声问题,然而噪声问题更显突出。

图1所示为互连和元器件导致的信号完整性问题的四种类型:

1. 单根网络的信号质量;
2. 两根或者更多网络之间的信号串扰;
3. 电源分布系统中的噪声;
4. 系统中元器件对外的电磁辐射。

除非特别关注,并且项目一开始就着手考虑了这些问题,否则上述四种类型的问题就会出现在高速产品中。本文将探讨连接器(也包括IC封装)的设计和选择中最难解决的问题:并发开关噪声(simultaneously switchingnoise),并且揭示并发开关噪声对高性能系统中使用的连接器和封装规格指标的影响。

并发开关噪声

对连接器和IC封装来说,开关噪声方面的高速性能要求是最难满足的??卦肷粲谛藕糯?,主要是由于连接器和IC封装中相邻环路(由信号与返回路径构成)之间的互感导致的。要使开关噪声幅度最小,必须确保相邻的信号路径环路之间的互感小于一个允许的最大值。

                                                             测量BGA封装中的并发开关噪声。
                                                                     图2:测量BGA封装中的并发开关噪声。
[page]
当信号通过连接器或者IC封装传播时,信号的波前(信号波形中跳变的成分)通过信号管脚构成一个电流环路,就会耦合并且返回到信号的返回管脚上。每一个信号和对应的返回路径都可以构成一个相似的环路。在任何两个信号及其返回路径构成的环路之间都存在一个环路互感。

一个环路中的电流发生变化时,就会在另外一个静止(信号电流没有变化)的环路中感应出信号噪声。而当多个变化的信号线并发开关时,通过互感耦合到静止环路的噪声就会互相累计,因此称为“并发开关噪声”。图2所示为五个数据线并发开关时测量到的一个静止信号线上的并发开关噪声。在这个实例里,静止信号线上的噪声是由该静止环路与所有五个变化的环路之间的互感而造成的。

互感的计算

采用简单的模型可以很方便地估算出两个信号环路之间允许的最大互感值。进一步讨论如何计算实际连接器中相邻环路之间的互感。

当信号通过连接器的一个管脚对时,在变化的信号通路上,信号的波前处会出现信号电流的突然变化。变化的电流会导致电压噪声并且感应到相邻的静止信号环路上,这种感应是由于两个环路之间存在的互感引起的。这种静止信号线上感应出来的噪声称之为开关噪声,这是由于这种噪声只有当电压或者电流处于开关状态时才会出现。

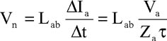
在静止环路中感应出的电压噪声可以近似为:

                                                                     在静止环路中感应出的电压噪声可以近似为
表达式各项的意义为:Vn,静止环路中的噪声;Lab,变化环路和静止环路之间的互感;△Ia,变化环路中的电流变化;Za,在变化环路与静止环路的视在阻抗;Va,变化环路中的信号电压;△t是信号的上升时间,表明电流开关的快慢。

选择连接器或者IC封装唯一可以影响的就是环路之间的互感,而环路中信号视在阻抗通常都在50欧姆左右,该阻抗值与上升时间及信号电压一样都是系统规范的一部分。

允许的开关噪声幅度取决于噪声分配??卦肷ǔSΩ眯∮谛藕虐诜?%到10%,当然噪声的分配也取决于工程师的设计技巧,以及由谁来负责选择连接器或者IC封装。优秀的信号完整性工程师的谈判代表非常清楚:要找到一个具有足够低互感的连接器或封装将是多么的困难,所以他会尽可能地争取一个更宽松的互感指标,这样做的结果势必导致系统中其它部分的规格更加严格。

首先可以使用如下的值来开始这种估算:

首先可以使用如下的值来开始这种估算:Vn/Va =5%,Za=50欧姆,t=0.5ns,由上述公式可计算出允许的最大互感值是1.2nH。

                                                                 连接器管脚的三维实体模型
                                                                     图3:连接器管脚的三维实体模型

确定上述应用假设条件后,就相当于对连接器或封装的信号路径之间允许的互感值施加了约束条件。当然,在时间、成本费用以及产品风险之间权衡并且实施资源分配之前,优秀的设计工程师应该运用更加完善而全面的系统级仿真来考察究竟多大的互感可以确保设计成功,并且不会对系统造成过多的负担。因此,上面的估算仅仅是一个最初的预期值

事实上,上述估算过高地估计了允许的互感值,这是因为假设静止信号线上的噪声仅仅是由一根相邻的变化信号路径的信号变化造成的。实际的情况下,通??赡苡卸喔鲂藕怕肪恫⒎⒈浠?,其中每一个开关的信号路径都会对静止信号线产生并发开关噪声。根据连接器的设计,信号管脚之间实际允许的互感值通常只有上面估算值的一半到五分之一左右。

连接器管脚对之间或封装引线对之间的互感值为1.2nH是不是太大?我们来看一个具体的实例,就会发现1.2nH实际上是一个很小的值,而对于实际的连接器或封装需要做许多艰苦的工作才有可能减小该数值。

提取连接器的环路互感

在普通2mm间距的连接器???,这种连接器典型的管脚长度大约是25mm左右。如图3所示,评估互感的值,可以将连接器实际的物理设计转换为保留导体所有几何特性的三维实体模型。

采用三维场提取工具从导体的实体模型中提取出局部的电感矩阵。有关连接器电感特性方面的问题都包含在这一个电感矩阵中。矩阵对角线上的元素是其局部自感,而不在对角线上的元素则是每管脚对之间的局部互感。

20个管脚的连接器的完整电感矩阵如图4所示。局部电感的概念在分析连接器和IC封装的电气性能方面非常有效。一个信号与另一个相邻的信号之间共用同一个返回路径的情况很常见。管脚对1和2是变化的环路(信号会发生跳变),而管脚对2和3则是静止的环路(信号不发生变化)。
[page]
这两个路径之间的互感为:LAB=(L31-L32)+(L22- L21)-L22

                                                     连接器中的所有20个管脚的局部互感矩阵。
                                               图4:连接器中的所有20个管脚的局部互感矩阵。

从场提取工具产生的表格中,可以找到该连接器的下述电感值:

L31=7.9nH
L32=10.9nH
L21=10.9nH
L22=19.9nH
L41=6.3nH
L42=7.9nH

根据上述数值可以计算出互感值是6nH。这就是共用同一个返回路径的两个信号路径之间的互感值。与最初估算的1.2nH相比,6nH太大。如果应用在这样的设计环境下,可以肯定该连接器不能正常工作。

当然,如果有足够的理由确实要在设计中运用这种连接器,一种办法是确保每一个信号都有各自独立的返回路径。在这种情况下,一个环路使用管脚1和2,而另一个环路则使用管脚3和4。两个环路之间的互感如下计算:LAB =(L31-L32)+(L42-L41)

这样计算出来的互感值是1.4nH??杉鼋鐾ü恳桓鲂藕盘峁└髯远懒⒌男藕欧祷芈肪?,就可以将开关噪声减少四倍。考虑到其它信号路径信号同时变化的可能性,可以看到即便是1.4nH这么小的值仍然会产生3到5倍这么大的开关噪声。

现在已经非常清楚,对高速设计而言,常规的连接器按照常规的用法显然不能满足要求。任何可能降低管脚对之间互感的可行方法都应该考虑。

减小互感

原则上可以采取两种方法来减少连接器的互感。

1. 要确保尽可能短的路径。Packard-Hughes公司的Gold Dot连接器、Thomas和Betts公司的Metal
Particle Interconnect(MPI)连接器就是采用了这种关键技术。而Tessera公司推出的CSP器件封装的一个重要特征就是具有非常短的引线长度。

在这些技术中总的引线长度可以缩短到1mm。仅仅引线长度一项就可以将上面实例中相邻信号和返回路径环路之间的互感减小为上述电感数值的二十分之一。

2. 要降低每一个信号与对应的返回路径的特征阻抗?;仿分涞幕ジ杏胱钚』仿返淖愿谐杀壤?,减小一个管脚对的环路自感就等于是降低信号通路的特征阻抗。

SamTec公司的连接器就采用了这样的技术,这种连接器采用又宽又短的引线作为返回路径。因此,器件封装向采用内部返回路径层的BGA封装转移,或者从单层金属的TBGA向双层金属的TBGA封装转移。

从上面的实例中可以看出,信号和返回路径管脚的分配同样也能影响最终的信号路径之间的互感。对于一个确定的连接器来说,管脚的选择可以用来优化系统的性能。然而如果具备足够的管脚做更加灵活的信号和返回路径分配,那么系统设计工程师通常总会选择分配更多的信号管脚。

对连接器厂商提供参数的评估

假定已经对电路板设计进行了优化,并且已经估算出相邻信号环路之间允许的最大互感值,那么,要告诉元器件厂商:所需要的连接器必须保证相邻信号环路之间的互感值小于1nH。

连接器厂商和IC封装厂商通常都在机械工程和生产制造方面非常精深,但不是特别了解有关的电气特性,甚至可能并不知道他们应该提供连接器的互感特征。有的时候,这些器件厂商也提供管脚对之间的串扰电压信息。正如前面所看到的那样,这些值跟信号的上升时间、阻抗以及信号和返回路径对的分配都有很大关系。如果厂商给出特殊情况下的值与你的具体应用要求不一样的话,该如何评估这些值?

用户总是主动去获取所需要的精确信息,即信号与返回路径环路之间的互感。而且应该向元器件厂商明确提出这是非常重要的一个设计指标,如果元器件厂商不提供这些信息的话,你就不能够评估厂商提供的元器件能否在你的设计应用中正常工作?

如果厂商提供了这些指标,也可以进一步地查明厂商是如何获得这些参数的:是通过测量还是通过计算?如果是通过测量方法获得的话,厂商是否采用了业界标准的测量流程?如果是通过计算获得的,这些值的获得是否是一种近似(就如同所有的计算公式一样)?它是否通过场提取方法获得?厂商是否提供任何的支持文档资料来证实他们的建模过程符合实际的情况并且同生产制造的元器件性能相吻合?如果厂商不能提供这些信息,应该建议该厂商采用独立的实验室服务或者是顾问服务来帮助他们提供这些信息。

在最后的分析中,要选择那些不仅能够提供符合你设计系统要求的性能指标,同时也能够给你信心保证在你的系统中可以一次性成功的连接器厂商。产品合格与资料齐全、准确详实同样重要。

要采购连接器么,点这里了解一下价格!
特别推荐
技术文章更多>>
技术白皮书下载更多>>
热门搜索

关闭

?

关闭